Issue Archive
Table of Contents
CLINICAL GUIDELINES
        
        American Society of Hematology 2021 guidelines for management of venous thromboembolism: prevention and treatment in patients with cancer
        
        
            
        
                    
                        Clinical Trials & Observations
                    
        
            
    
        STIMULUS REPORTS
        
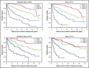
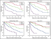
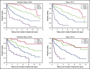
        Prognostic restaging after treatment initiation in patients with AL amyloidosis
        
        
            
        
                    
                        Clinical Trials & Observations
                    
        
            
    
        
        
        Daratumumab plus RVd for newly diagnosed multiple myeloma: final analysis of the safety run-in cohort of GRIFFIN
        
        
            
        
                    
                        Clinical Trials & Observations
                    
        
            
    
        CLINICAL TRIALS AND OBSERVATIONS
        
        A randomized phase 2/3 study of R-CHOP vs CHOP combined with dose-dense rituximab for DLBCL: the JCOG0601 trial
        
        
            
        
                    
                        Clinical Trials & Observations
                    
        
            
    
        
        
        Additional chromosomal abnormalities at chronic myeloid leukemia diagnosis predict an increased risk of progression
        
        
            
        
                    
                        Clinical Trials & Observations
                    
        
            
    
        
    
            
        
        Addition of lenalidomide to intensive treatment in younger and middle-aged adults with newly diagnosed AML: the HOVON-SAKK-132 trial
        
        
            
        
                    
                        Clinical Trials & Observations
                    
        
            
    
        GENE THERAPY
HEALTH SERVICES AND OUTCOMES
IMMUNOBIOLOGY AND IMMUNOTHERAPY
LYMPHOID NEOPLASIA
MYELOID NEOPLASIA
Challenging conventional karyotyping by next-generation karyotyping in 281 intensively treated patients with AML
        
        Baseline and serial molecular profiling predicts outcomes with hypomethylating agents in myelodysplastic syndromes
        
        
            
        
                    
                        Clinical Trials & Observations
                    
        
            
    
        PLATELETS AND THROMBOPOIESIS
Patients with triple-negative, JAK2V617F- and CALR-mutated essential thrombocythemia share a unique gene expression signature
THROMBOSIS AND HEMOSTASIS
        
        Bleeding and related mortality with NOACs and VKAs in newly diagnosed atrial fibrillation: results from the GARFIELD-AF registry
        
        
            
        
                    
                        Clinical Trials & Observations
                    
        
            
    
        TRANSPLANTATION
Alternative donor transplantation for myelodysplastic syndromes: haploidentical relative and matched unrelated donors
COMMENTARY
ERRATUM
- 
        
            Cover Image
        
        Cover Image![issue cover]()  COVER FIGURE 
 Fluorescence in situ hybridization (FISH) analysis in a representative case of pseudomonosomy 7. Whole-chromosome painting (WCP) was done in a case in which conventional karyotyping but not shallow whole genome sequencing (sWGS) reported a monosomy 7. The image shows WCP for chromosome (chr) 7 (green) and chromosome 4 (red) and a probe targeting the centromere of chromosome 7 (blue). Wild-type (WT) chromosomes 4 and 7 can be identified, as well as 2 derivative chromosomes (der) harboring additional chromosome 7 material including 2 chromosome 7 centromeres. sWGS of this case did not show complete loss of a second chromosome 7 but presence of 2 copies or amplification of some parts of the chromosome. See the article by Mareschal et al.
- PDF Icon Front MatterFront Matter
- PDF Icon Editorial BoardEditorial Board
Advertisement intended for health care professionals
Advertisement intended for health care professionals
 
                    













