Skip Nav Destination
Characteristics and predictors of early hospital deaths in newly diagnosed APL: a 13-year population-wide study
HIV-associated Burkitt lymphoma: outcomes from a US-UK collaborative analysis
Reduced-intensity conditioning hematopoietic stem cell transplantation for chronic lymphocytic leukemia and Richter’s transformation
Response to upfront azacitidine in juvenile myelomonocytic leukemia in the AZA-JMML-001 trial
A phase 2 study of nilotinib in pediatric patients with CML: long-term update on growth retardation and safety
CRP and ferritin in addition to the EASIX score predict CAR-T–related toxicity
Genomic and clinical characterization of early T-cell precursor lymphoblastic lymphoma
A polygenic score for acute vaso-occlusive pain in pediatric sickle cell disease
Risk of pulmonary emboli after removal of an upper extremity central catheter associated with a deep vein thrombosis
A targeted proteomics investigation of the obesity paradox in venous thromboembolism
Issue Archive
Table of Contents
EXCEPTIONAL CASE REPORT
CLINICAL TRIALS AND OBSERVATIONS
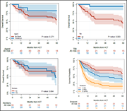
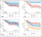
Characteristics and predictors of early hospital deaths in newly diagnosed APL: a 13-year population-wide study
Clinical Trials & Observations
Harinder Gill,Yammy Yung,Hiu-Tung Chu,Wing-Yan Au,Pui-Kwan Yip,Emily Lee,Rita Yim,Paul Lee,Daniel Cheuk,Shau-Yin Ha,Rock Y. Y. Leung,Edmond S. K. Ma,Cyrus R. Kumana,Yok-Lam Kwong
HIV-associated Burkitt lymphoma: outcomes from a US-UK collaborative analysis
Clinical Trials & Observations
Juan Pablo Alderuccio,Adam J. Olszewski,Andrew M. Evens,Graham P. Collins,Alexey V. Danilov,Mark Bower,Deepa Jagadeesh,Catherine Zhu,Amy Sperling,Seo-Hyun Kim,Ryan Vaca,Catherine Wei,Suchitra Sundaram,Nishitha Reddy,Alessia Dalla Pria,Christopher D’Angelo,Umar Farooq,David A. Bond,Stephanie Berg,Michael C. Churnetski,Amandeep Godara,Nadia Khan,Yun Kyong Choi,Shireen Kassam,Maryam Yazdy,Emma Rabinovich,Frank A. Post,Gaurav Varma,Reem Karmali,Madelyn Burkart,Peter Martin,Albert Ren,Ayushi Chauhan,Catherine Diefenbach,Allandria Straker-Edwards,Andreas Klein,Kristie A. Blum,Kirsten Marie Boughan,Agrima Mian,Bradley M. Haverkos,Victor M. Orellana-Noia,Vaishalee P. Kenkre,Adam Zayac,Seth M. Maliske,Narendranath Epperla,Paolo Caimi,Scott E. Smith,Manali Kamdar,Parameswaran Venugopal,Tatyana A. Feldman,Daniel Rector,Stephen D. Smith,Andrzej Stadnik,Craig A. Portell,Yong Lin,Seema Naik,Silvia Montoto,Izidore S. Lossos,Kate Cwynarski
Reduced-intensity conditioning hematopoietic stem cell transplantation for chronic lymphocytic leukemia and Richter’s transformation
Clinical Trials & Observations
Oscar B. Lahoud,Sean M. Devlin,Molly A. Maloy,Lindsey E. Roeker,Parastoo B. Dahi,Doris M. Ponce,Boglarka Gyurkocza,Guenther Koehne,James W. Young,Hugo R. Castro-Malaspina,Juliet N. Barker,Esperanza B. Papadopoulos,Ann A. Jakubowski,Andrew D. Zelenetz,Anthony R. Mato,Sergio A. Giralt,Miguel A. Perales,Craig S. Sauter
Response to upfront azacitidine in juvenile myelomonocytic leukemia in the AZA-JMML-001 trial
Clinical Trials & Observations
Charlotte M. Niemeyer,Christian Flotho,Daniel B. Lipka,Jan Starý,Claudia Rössig,André Baruchel,Thomas Klingebiel,Concetta Micalizzi,Gérard Michel,Karsten Nysom,Susana Rives,Markus Schmugge Liner,Marco Zecca,Maximilian Schönung,Irith Baumann,Peter Nöllke,Bouchra Benettaib,Noha Biserna,Jennifer Poon,Mathew Simcock,Meera Patturajan,Daniel Menezes,Allison Gaudy,Marry M. van den Heuvel-Eibrink,Franco Locatelli
A phase 2 study of nilotinib in pediatric patients with CML: long-term update on growth retardation and safety
Clinical Trials & Observations
Nobuko Hijiya,Alexey Maschan,Carmelo Rizzari,Hiroyuki Shimada,Carlo Dufour,Hiroaki Goto,Hyoung Jin Kang,Terri Guinipero,Zeynep Karakas,Francisco Bautista,Stéphane Ducassou,Keon Hee Yoo,Christian Michel Zwaan,Frédéric Millot,Briana Patterson,Jill Samis,Paola Aimone,Alex Allepuz,Ksenia Titorenko,Darintr Sosothikul
HEALTH SERVICES AND OUTCOMES
IMMUNOBIOLOGY AND IMMUNOTHERAPY
CRP and ferritin in addition to the EASIX score predict CAR-T–related toxicity
Clinical Trials & Observations
Uri Greenbaum,Paolo Strati,Rima M. Saliba,Janet Torres,Gabriela Rondon,Yago Nieto,Chitra Hosing,Samer A. Srour,Jason Westin,Luis E. Fayad,Hun J. Lee,Swaminathan P. Iyer,Ranjit Nair,Loretta J. Nastoupil,Simrit Parmar,Maria A. Rodriguez,Felipe Samaniego,Raphael E. Steiner,Michael Wang,Chelsea C. Pinnix,Christopher R. Flowers,Sudhakar Tummala,Jeremy L. Ramdial,Fevzi F. Yalniz,Misha Hawkins,Katayoun Rezvani,Richard E. Champlin,Elizabeth J. Shpall,Sattva S. Neelapu,Partow Kebriaei,Sairah Ahmed
CD4+ T cells sustain aggressive chronic lymphocytic leukemia in Eμ-TCL1 mice through a CD40L-independent mechanism
Matteo Grioni,Arianna Brevi,Elena Cattaneo,Alessandra Rovida,Jessica Bordini,Maria Teresa Sabrina Bertilaccio,Maurilio Ponzoni,Giulia Casorati,Paolo Dellabona,Paolo Ghia,Matteo Bellone,Arianna Calcinotto
LYMPHOID NEOPLASIA
Genomic and clinical characterization of early T-cell precursor lymphoblastic lymphoma
Clinical Trials & Observations
Xinjie Xu,Christian N. Paxton,Robert J. Hayashi,Kimberly P. Dunsmore,Stuart S. Winter,Stephen P. Hunger,Naomi J. Winick,William L. Carroll,Mignon L. Loh,Meenakshi Devidas,Thomas G. Gross,Catherine M. Bollard,Sherrie L. Perkins,Rodney R. Miles
RED CELLS, IRON, AND ERYTHROPOIESIS
A polygenic score for acute vaso-occlusive pain in pediatric sickle cell disease
Clinical Trials & Observations
Evadnie Rampersaud,Guolian Kang,Lance E. Palmer,Sara R. Rashkin,Shuoguo Wang,Wenjian Bi,Nicole M. Alberts,Doralina Anghelescu,Martha Barton,Kirby Birch,Nidal Boulos,Amanda M. Brandow,Russell John Brooke,Ti-Cheng Chang,Wenan Chen,Yong Cheng,Juan Ding,John Easton,Jason R. Hodges,Celeste K. Kanne,Shawn Levy,Heather Mulder,Ashwin P. Patel,Latika Puri,Celeste Rosencrance,Michael Rusch,Yadav Sapkota,Edgar Sioson,Akshay Sharma,Xing Tang,Andrew Thrasher,Winfred Wang,Yu Yao,Yutaka Yasui,Donald Yergeau,Jane S. Hankins,Vivien A. Sheehan,James R. Downing,Jeremie H. Estepp,Jinghui Zhang,Michael DeBaun,Gang Wu,Mitchell J. Weiss
THROMBOSIS AND HEMOSTASIS
Risk of pulmonary emboli after removal of an upper extremity central catheter associated with a deep vein thrombosis
Clinical Trials & Observations
Damon E. Houghton,Henny Heisler Billett,Manila Gaddh,Oluwatomiloba Onadeko,Gemlyn George,Tzu-Fei Wang,Thein H. Oo,Mingen Feng,Mahua Dasgupta,Michael Jaglal,Michael B. Streiff,Pippa Simpson,Radhika Gali,Lisa Baumann Kreuziger
A targeted proteomics investigation of the obesity paradox in venous thromboembolism
Clinical Trials & Observations
Vincent Ten Cate,Thomas Koeck,Jürgen Prochaska,Andreas Schulz,Marina Panova-Noeva,Steffen Rapp,Lisa Eggebrecht,Michael Lenz,Julia Glunz,Madeleine Sauer,Raff Ewert,Michael Halank,Thomas Münzel,Stefan Heitmeier,Miguel A. Andrade-Navarro,Karl J. Lackner,Stavros V. Konstantinides,Kirsten Leineweber,Philipp S. Wild
-
Cover Image
Cover Image
Cytotoxic T cells search for and destroy mutated cancer cells. Image 168610096 © Burgstedt | Dreamstime.com.
- PDF Icon Front MatterFront Matter
- PDF Icon Editorial BoardEditorial Board
Advertisement intended for health care professionals
Advertisement intended for health care professionals












