Background: Outcomes for pediatric acute myeloid leukemia (AML) remain disappointing, particularly for patients with poor risk cytogenetic/molecular genetic abnormalities and those who fail to achieve complete remission following course 1 of induction chemotherapy. Despite upfront allogeneic hematopoietic stem cell transplantation (HSCT) for these patients, high rates of relapse persist. The optimal approach to chemotherapy intensification and timing of HSCT for high risk (HR) patients remains unknown, with variable approaches employed by cooperative trial groups.
Methods: The MyeChild 01 international phase III trial (NCT02724163) in children with de novo AML allocated patients up to 3 doses of gemtuzumab ozogamicin (GO 3mg/m 2/dose) during the first course of induction chemotherapy (mitoxantrone 12 mg/m2/dose x4; cytarabine 100 mg/m2/dose x20). Patients classified as HR after course 1 received FLA-Ida for course 2 followed by allogeneic HSCT. If required, a third course of bridging therapy (FLA) was given prior to HSCT.
HR patients in MyeChild 01 included those with NUP98 fusions, selected KMT2A fusions ( KMT2A::MLLT10, KMT2A::MLLT4, KMT2A::AFF1, KMT2A::ABI1), CBFA2T3::GLIS2, DEK::NUP214, MECOM ( EVI1) rearrangements and all 12p abnormalities including MNX1::ETV6, in addition to the traditional HR abnormalities -7, -5/del(5q) and FLT3-ITD (without concurrent good risk abnormalities, including NPM1 mutations). Patients with induction failure after course 1 (≥ 5% blasts confirmed by flow) and those with non-HR cytogenetics/molecular genetics who remained MRD positive after course 2 (intermediate risk cytogenetics) or 3 (good risk cytogenetics) were also classified as HR. Here, we report the estimated 2-year outcomes for patients assigned HR post course 1 who received mitoxantrone and cytarabine and at least 1 dose of GO during course 1 (MA-GO). Outcomes of trial randomisations (1 vs 2 or 3 GO doses; consolidation for standard risk patients; HSCT conditioning) will be reported separately.
Results: Of 749 patients enrolled at initial diagnosis, 183 received MA-GO during course 1 and were assigned HR post course 1. Of these, 172 (94%) patients had poor risk cytogenetic/molecular genetics, of which 32 also failed to achieve CR. Additionally, 11 (6%) patients did not have poor risk cytogenetic/molecular genetics but failed to achieve CR with MA-GO and thus were assigned to the HR group.
Post course 1, 140 (77%) of these HR patients achieved CR/CRi, with 102/155 (66%) patients with evaluable samples achieving MRD negativity post course 1. Following course 1, 174 (95%) remained on trial and received FLA-Ida as course 2 and 163 patients (89%) proceeded to HSCT, 55 on trial and 108 following discontinuation from the trial.
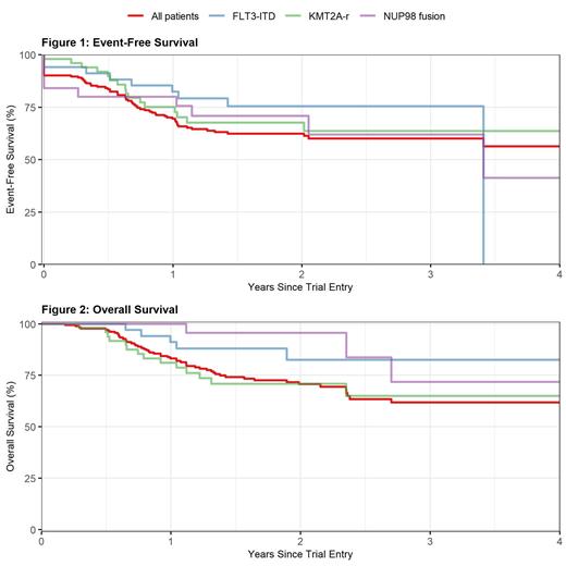
Estimated event-free survival (EFS) and overall survival (OS) at 2 years was 62% (95% CI: 56-70%) and 71% (64-78%) respectively (Figure 1 & 2). Estimated cumulative incidence of relapse (CIR) and death in remission at 2 years was 26% (19-33%) and 7% (3-11%) respectively. For HR patients who received MA-GO in course 1, on trial FLA-Ida as course 2 and on or off trial HSCT (n = 156), 2 year estimated outcomes were EFS 69% (62-77%), OS 77% (70-85%) and CIR 24% (17-32%).
The most common cytogenetic/molecular genetic abnormalities were rearrangements of KMT2A (50/183, 27%), with KMT2A::MLLT10 predominating (70%). FLT3-ITD (19%), NUP98 fusions (14%), -7 (13%), abn(12p) (11%), del(5q) (8%) and CBFA2T3::GLIS2 (6%) accounted for the majority of other abnormalities with outcomes varying by subtype. Collectively, KMT2A-rearranged patients had EFS and OS of 68% (55-83%) and 71% (59-86%) respectively and CIR of 26% (12-40%). For FLT3-ITD, the EFS and OS was 75% (62-92%) and 83% (69-99%) respectively with a CIR of 14% (1-26%). Of the 25 patients with a NUP98 fusion, 17 (68%) were NUP98::NSD1. The EFS and OS for patients with NUP98 fusions was 71% (55-92%) and 96% (88-100%) respectively with CIR 25% (1-48%).
Conclusions: Two intensive courses of induction chemotherapy, including GO and mitoxantrone in course 1 and FLA-Ida in course 2, consolidated with allogeneic HSCT, appears to be an effective approach for most HR patients. 2 year estimated outcomes for HR patients compare favourably to recent trials of GO in pediatric AML, with particularly encouraging data for patients with KMT2A-r and FLT3-ITD.
OffLabel Disclosure:
Baruchel:Servier: Honoraria, Research Funding; AstraZeneca: Other: honoraria for advisory board participation but given to my institution; Clinigen: Honoraria; Serb: Other: honoraria for advisory board participation; Jazz: Other: honoraria for advisory board participation. Amrolia:Autolus PLC: Patents & Royalties: via UCL Business. Dalle:Jazz Pharmaceuticals: Honoraria. Ansari:NovoNordisk: Other: traveling grant; Jazz Pharmaceutical: Other: traveling grant and presentation inside the company on HSCT. Dillon:Amgen: Research Funding; Astellas: Consultancy, Honoraria, Speakers Bureau; AvenCell: Consultancy, Honoraria, Membership on an entity's Board of Directors or advisory committees; Jazz: Consultancy, Honoraria, Membership on an entity's Board of Directors or advisory committees, Research Funding, Speakers Bureau; Novartis: Consultancy, Honoraria, Speakers Bureau; Pfizer: Consultancy, Honoraria, Membership on an entity's Board of Directors or advisory committees, Research Funding; Shattuck labs: Consultancy, Honoraria, Membership on an entity's Board of Directors or advisory committees; Abbvie: Consultancy, Honoraria, Membership on an entity's Board of Directors or advisory committees, Research Funding, Speakers Bureau. Vyas:Auron Therapeutics: Current holder of stock options in a privately-held company; BMS: Research Funding; Gilead: Honoraria; Pfizer: Honoraria; Jazz: Honoraria; Abbvie: Consultancy, Honoraria; Astellas: Honoraria. Hirsch:Novartis: Consultancy. Kearns:AstraZeneca: Consultancy.
Mitoxantrone and gemtuzumab ozogamicin are both licensed for use in this condition in the adult population but their use is off label for the paediatric population.

This feature is available to Subscribers Only
Sign In or Create an Account Close Modal