Key Points
- Prior exposure to CPIs is associated with increased progression-free survival due to decreased relapse after HCT, suggesting increased graft-versus-lymphoma. 
- PTCy–based GVHD prophylaxis resulted in improved OS, lower grade 2 to 4 aGVHD, and cGVHD in patients with prior CPI exposure. 
Visual Abstract
Checkpoint inhibitors (CPIs) have shown remarkable efficacy in Hodgkin lymphoma (HL), and are now used routinely. While allogeneic hematopoietic cell transplantation (allo-HCT) remains a curative option for HL, there are concerns prior CPIs may exacerbate post–allo-HCT complications, particularly graft-versus-host disease (GVHD), and lead to worse outcomes. Given the relative paucity of data, we performed a Center for International Blood and Marrow Transplant Research/European Society for Blood and Marrow Transplantation study to examine the impact of prior CPIs in allo-HCT. We included 2186 adult patients aged >18 years who received a first allo-HCT using a matched related, unrelated, or haploidentical donor from 2008 to 2023. Twenty-seven percent of patients received prior CPIs. GVHD prophylaxis was posttransplant cyclophosphamide (PTCy) in 55.8% of patients in the CPI cohort, and 35% in the non-CPI cohort. Median follow-up among survivors was longer for the non-CPI (39 months) than CPI cohort (16.5 months). In multivariate analysis, prior CPI exposure did not affect overall survival (OS) or nonrelapse mortality, but resulted in improved progression-free survival (non-CPI vs CPI hazard ratio [HR], 0.81; 0.67-0.98; P = .03) and lower relapse incidence (HR, 0.58; 0.45-0.76; P < 001). While grade 2 to 4 (HR, 1.26; 1.04-1.53; P = .02) and 3 to 4 (HR, 1.41; 1.04-1.92; P = .03) acute GVHD (aGVHD) were increased, differences in chronic GVHD (cGVHD) were not significant. PTCy–based GVHD prophylaxis resulted in improved OS, lower grade 2 to 4 aGVHD, and cGVHD in patients with prior CPI exposure. In summary, allo-HCT should still be considered a curative option for patients with HL in the era of CPIs.
Medscape Continuing Medical Education online

In support of improving patient care, this activity has been planned and implemented by Medscape, LLC and the American Society of Hematology. Medscape, LLC is jointly accredited with commendation by the Accreditation Council for Continuing Medical Education (ACCME), the Accreditation Council for Pharmacy Education (ACPE), and the American Nurses Credentialing Center (ANCC), to provide continuing education for the healthcare team.
Medscape, LLC designates this Journal-based CME activity for a maximum of 1.0 AMA PRA Category 1 Credit(s)™. Physicians should claim only the credit commensurate with the extent of their participation in the activity.
Successful completion of this CME activity, which includes participation in the evaluation component, enables the participant to earn up to 1.0 MOC points in the American Board of Internal Medicine's (ABIM) Maintenance of Certification (MOC) program. Participants will earn MOC points equivalent to the amount of CME credits claimed for the activity. It is the CME activity provider's responsibility to submit participant completion information to ACCME for the purpose of granting ABIM MOC credit.
All other clinicians completing this activity will be issued a certificate of participation. To participate in this journal CME activity: (1) review the learning objectives; (2) study the education content; (3) take the post-test with a 75% minimum passing score and complete the evaluation at https://www.medscape.org/journal/blood; and (4) view/print the certificate. For CME questions, see page 1030.
Disclosures
CME questions author Laurie Barclay, freelance writer and reviewer, Medscape, LLC, declares no competing financial interests.
Learning objectives
Upon completion of this activity, participants will:
- Describe the impact of prior checkpoint inhibitor (CPI) treatment on allogeneic hematopoietic cell transplantation (alloHCT) outcomes among 2186 adult patients aged >18 years with Hodgkin lymphoma (HL) who received a first alloHCT using a matched related, unrelated, or haploidentical donor from 2008 to 2023, based on findings from the CIBMTR/EBMT study 
- Determine the impact of posttransplant cyclophosphamide (PTCy)–based graft-versus-host disease (GVHD) prophylaxis and other factors on outcomes in patients with HL and prior CPI exposure who received a first alloHCT using a matched related, unrelated, or haploidentical donor from 2008 to 2023, based on findings from the CIBMTR/EBMT study 
- Identify clinical implications of the impact of prior CPI treatment, PTCy-based GVHD prophylaxis, and other factors on alloHCT outcomes among adult patients with HL who received a first alloHCT using a matched related, unrelated, or haploidentical donor from 2008 to 2023, based on findings from the CIBMTR/EBMT study 
Release date: August 21, 2025; Expiration date: August 21, 2026
Introduction
Hodgkin lymphoma (HL) is a rare malignancy with a bimodal distribution of incidence, with most patients diagnosed between 15 and 30 years of age, and another peak in those aged >55 years. It is estimated that, in 2023, ∼8830 people were diagnosed with HL in the United States. The past decade has been notable for the approval of highly effective novel therapies in patients with HL, including brentuximab vedotin (BV), and the checkpoint inhibitors (CPIs), nivolumab and pembrolizumab.1-9
The increasing use of BV and CPIs in patients with HL has resulted in decreased utilization of allogeneic hematopoietic cell transplantation (allo-HCT), which has long been considered the standard treatment in patients who relapse after autologous HCT (auto-HCT).10-15 Prior studies have shown improved outcomes of allo-HCT in HL in the BV era,16 although a European Society for Blood and Marrow Transplantation (EBMT) report showed that prior BV did not directly affect overall survival (OS) after HCT.17
CPIs have shown remarkable efficacy in patients with HL, and are now used routinely for this disease. Interestingly, recent preliminary data suggest that outcomes after allo-HCT in patients with HL who were treated with CPIs are improved compared with historical controls.6 While allo-HCT remains a curative option for HL, there are concerns that prior CPIs may exacerbate allo-HCT complications, particularly graft-versus-host disease (GVHD), and lead to worse outcomes.18-20 Given the relative paucity of data, we performed a Center for International Blood and Marrow Transplant Research (CIBMTR)/EBMT study to examine the impact of prior CPIs in allo-HCT outcomes.
Methods
Data sources and study design
Data were obtained from the CIBMTR and the EBMT registries. This is a retrospective registry-based analysis on behalf of the CIBMTR Lymphoma Working Committee and Lymphoma Working Party of the EBMT. Participating centers reported consecutive transplants, and patients were followed longitudinally. Data were collected on standardized reporting forms.
Adult patients (aged ≥18 years) with HL receiving their first allo-HCT between 2008 and 2023 were included in the study. Patients received grafts from matched sibling donors (MSDs), 8 of 8 HLA-matched (allele-level match at HLA-A, HLA-B, HLA-C, and HLA-DRB1) unrelated donors (MUDs), or haploidentical related donors (haplo). Recipients of cord blood grafts or ex vivo graft manipulation were excluded.
Definitions
Outcomes
OS was the primary end point. Death from any cause was an event, and surviving patients were censored at last follow-up. Secondary end points included additional transplant outcomes. Progression-free survival (PFS) was defined as survival without relapse or progression and death. Progression or relapse was defined as progressive disease or recurrence after a complete remission; death without relapse or progression was the competing risk. Nonrelapse mortality (NRM) was defined as death from any cause without relapse or progression; relapse or progression was the competing risk. Acute grade 2 to 4 GVHD (aGVHD) and chronic GVHD (cGVHD) were graded using standard criteria.23,24
Statistical analysis
The cohort of patients treated with CPI (CPI group) was compared with the cohort of patients not treated with CPI (non-CPI group). Patient-, disease-, and transplant-related characteristics were compared among the 2 cohorts using χ2 test or Fisher’s exact test as appropriate for categorical variables, and the Mann-Whitney U test for continuous variables. Kaplan-Meier curves along with 95% confidence intervals (CIs) were constructed to estimate OS and PFS probabilities, and compared between groups using the log-rank test. Cumulative incidences of hematopoietic recovery, aGVHD and cGVHD, relapse, and NRM were calculated to accommodate for competing risks, and compared between groups using Gray’s test.
Associations among patient-, disease-, and transplant-related variables, and outcomes of interest were evaluated using Cox proportional-hazards regression for aGVHD, cGVHD, relapse, NRM, PFS, and OS. All potential prognostic factors for outcomes and characteristics that differed among the groups were included in multivariate models (stratified on data source [CIBMTR vs EBMT]): donor source, disease status at HCT, patient age, patient sex, conditioning regimen intensity, prior auto-HCT, Karnofsky performance status (KPS), HCT-comorbidity index (HCT-CI), GVHD prevention, and year of transplant. The proportional hazards assumption for Cox regression was tested by adding a time-dependent covariate for each risk factor and each outcome. Cox models were stratified on covariates violating the proportional hazards assumption. Interactions between the main effect and significant covariates were examined. All tests were 2 sided. The type I error rate was fixed at 0.05. Statistical analyses were performed with R 3.6.1 (R Development Core Team, Vienna, Austria).
Patients provided written informed consent for research. The Institutional Review Board of the Medical College of Wisconsin approved the study (IRB-2002-0063).
Results
Patient and transplant characteristics
The study included 2186 adults aged >18 years who received a first allo-HCT using an MSD (n = 730), MUD (n = 653), or haplo donor (n = 803). Most received nonmyeloablative/RIC (n = 1773; 81%). Twenty-seven percent (n = 600) had prior CPI exposure. Patients with prior CPI exposure were more likely to be male (66% vs 59%; P = .006), have sensitive disease (complete response [CR] + partial remission [PR] = 82% vs 75%; P = .003), and lower HCT-CI (P < .0001) compared with the non-CPI cohort. More patients in the CPI cohort had a haplo donor (47% vs 33%; P < .0001), and GVHD prophylaxis consisted of posttransplant cyclophosphamide (PTCy) with a calcineurin inhibitor and mycophenolate mofetil in 56% of patients in the CPI cohort compared with 35% in the non-CPI cohort (P < .0001). There were no differences in median age, KPS, or conditioning intensity between the 2 cohorts. Details of patient characteristics of the 2 cohorts are given in Table 1. Median follow-up among survivors was longer for the non-CPI (39 months) than CPI cohort (17 months; P < .0001).
OS and PFS
Twelve-month estimated OS rates were 78% (95% CI, 76-80), 76% (95% CI, 73-80), and 79% (95% CI, 77-81) in the full, CPI, and non-CPI cohorts, respectively (P = .439). In contrast, 12-month PFS was 61% (95% CI, 58-63), 69% (95% CI, 65-74), and 58% (95% CI, 55-60) in the full, CPI, and non-CPI cohorts, respectively (P < .001; Figure 1; Table 2). When further separating patients into pretransplant treatment-sensitive and treatment-refractory subgroups, OS and PFS were higher in patients with sensitive disease, regardless of prior CPI exposure (Figure 2). However, patients with refractory disease in the CPI cohort had a PFS close to that of patients with sensitive disease in the non-CPI cohort. Patients with refractory disease and no prior CPI had the worst PFS.
Survival outcomes after allo-HCT in patients with HL. OS (A) and PFS (B) in the CPI and non-CPI cohorts.
Survival outcomes after allo-HCT in patients with HL. OS (A) and PFS (B) in the CPI and non-CPI cohorts.
Survival outcomes after allo-HCT based on pre-HCT treatment sensitivity. OS (A) and PFS (B) in the CPI and non-CPI cohorts.
Survival outcomes after allo-HCT based on pre-HCT treatment sensitivity. OS (A) and PFS (B) in the CPI and non-CPI cohorts.
Relapse and NRM
The difference in PFS observed between the 2 cohorts was driven primarily by differences in relapse (Figure 3; Table 2). Twelve-month cumulative incidence of relapse was 25% (95% CI, 23-27), 13% (95% CI, 10-16), and 29% (95% CI, 27-32) in the full, CPI, and non-CPI cohorts, respectively (P < .001). Twelve-month cumulative incidence of NRM was 15% (95% CI, 13-16), 18% (95% CI, 14-21), and 13% (95% CI, 12-15) in the full, CPI, and non-CPI cohorts, respectively (P = .028). At the time of analysis, 714 patients had died (571/1586 in the non-CPI cohort, 143/600 in the CPI cohort), with the most common causes of death in the whole-study cohort being relapse/progression of the primary disease (28.6%), infection (16.1%), GVHD (9.9%), and toxicity (18.8%; supplemental Table 1, available on the Blood website). In the non-CPI cohort, primary disease was the main cause of death (33.3%), followed by infection (16.8%), toxicity (16.4%), and GVHD (9.1%). In contrast, in patients with prior CPI exposure, GVHD (13.3%) was the most common cause of death after toxicity (28.0%), followed by infection (13.3%), and primary disease (9.8%). When comparing cohorts without adjusting for differences in follow-up, in the CPI cohort, 2.3% of patients died of disease, and 3.2% of GVHD, whereas disease accounted for 12.0% of deaths and GVHD 3.3% of deaths in the non-CPI cohort.
Relapse and nonrelapse mortality after allo-HCT. Cumulative incidence of relapse (A) and NRM (B) in the CPI and non-CPI cohorts.
Relapse and nonrelapse mortality after allo-HCT. Cumulative incidence of relapse (A) and NRM (B) in the CPI and non-CPI cohorts.
Engraftment and GVHD
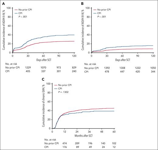
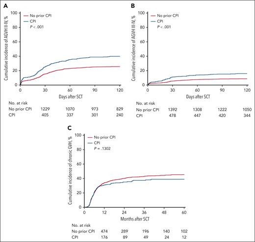
The cumulative incidence of neutrophil or platelet engraftment was 97% at 30 days (Table 2). There were no differences in cumulative incidence of engraftment between the 2 cohorts. Considering relapse and death as competing risks, the cumulative incidence at 100 days of grade 2 to 4 and 3 to 4 aGVHD was 31% (95% CI, 29-33) and 11% (95% CI, 10-13), respectively, for the whole-study population (Figure 4). There was a significant increase in grade 2 to 4 and 3 to 4 aGVHD at 100 days in the CPI cohort (40% and 16%, respectively) compared with the non-CPI cohort (27% and 9%, respectively; P < .001). The cumulative incidence of cGVHD at 12 months was 33% (95% CI, 31-35), with no significant difference between the 2 cohorts.
Graft-versus-host disease after allo-HCT. Cumulative incidence of grade 2 to 4 (A) and grade 3 to 4 (B) aGVHD and cGVHD (C) in the CPI and non-CPI cohorts.
Graft-versus-host disease after allo-HCT. Cumulative incidence of grade 2 to 4 (A) and grade 3 to 4 (B) aGVHD and cGVHD (C) in the CPI and non-CPI cohorts.
Impact of CPIs on outcomes
We next performed a multivariate analysis (MVA) to assess the impact of prior CPI on HCT outcomes (Table 3). Prior CPI exposure did not affect OS (hazard ratio [HR], 1.03; 95% CI, 0.83-1.28; P = .81 vs non-CPI) or NRM risk (HR, 1.18; 95% CI, 0.89-1.56; P = .25), but resulted in improved PFS (HR, 0.81; 95% CI, 0.67-0.98; P = .03) and lower incidence of relapse (HR, 0.58; 95% CI, 0.45-0.76; P < .0001). Grade 2 to 4 aGVHD (HR, 1.26; 95% CI, 1.04-1.53; P = .02) and grade 3 to 4 aGVHD (HR, 1.41; 95% CI, 1.04-1.92; P = .03) risk were increased, but there was no difference in cGVHD (HR, 1.02; 95% CI, 0.83-1.25; P = .86).
While prior CPI exposure did not affect OS, other factors affecting OS included age (for 1 year increase: HR, 1.02; 95% CI, 1.02-1.03; P < .0001), sex (female vs male: HR, 0.76; 95% CI, 0.64-0.89; P = .0006), PR (HR, 1.48; 95% CI, 1.22-1.8; P < .0001), and refractory disease (HR, 2.3; 95% CI, 1.9-2.79; P < .0001) vs CR, and KPS <90 (HR, 1.45; 95% CI, 1.23-1.72; P < .0001; Figure 5). Additional factors that did not impact OS included year of HCT, donor type, conditioning intensity, GVHD prophylaxis, and HCT-CI. When analyzing factors that affected PFS, results were similar to those seen with OS, with a few exceptions. Factors associated with PFS but not OS included prior CPI, year of HCT (HR, 1.01; 95% CI, 1.01-1.02; P = .002), and donor selection (MUD vs MSD: HR, 0.77; 95% CI, 0.66-0.9; P = .001).
Multivariate analysis predicting survival after allo-HCT. Forest plot of factors predicting (A) OS and (B) PFS.
Multivariate analysis predicting survival after allo-HCT. Forest plot of factors predicting (A) OS and (B) PFS.
To further clarify these results, we performed a propensity matched subset analysis of 292 patients with prior CPI exposure and 292 patients without. The following variables were used to compute the propensity score: age, year of HCT, sex, donor type, prior auto-HCT, disease status at HCT, conditioning, GVHD prophylaxis, KPS, and HCT-CI. In the CPI cohort, there was a lower risk of relapse (HR, 0.65; 95% CI, 0.45-0.94; P = .02), and higher risk of grade 2 to 4 (HR, 1.48; 95% CI, 1.08-2.04; P = .01) and grade 3 to 4 aGVHD (HR, 1.95; 95% CI, 1.15-3.3; P = .01) compared with the non-CPI cohort. No significant differences were seen in OS, PFS, NRM, cGVHD, or engraftment.
The median time between CPI exposure and HCT was 10.1 months (range 0.7-217.2 months). We performed additional analyses to examine the impact of time between CPI exposure and HCT on outcomes. Specifically, we used 2 time cutoffs, the median of 10 months identified in the study, and a 2-month cutoff (supplemental Figure 1). We did not observe significant differences for NRM, relapse, OS, or PFS, regardless of the cutoff used.
Multivariate analyses using an 18-month cutoff
The median follow-up among survivors was significantly longer for the non-CPI. To address this potential source of bias, we performed an additional multivariate analysis censoring data at 18 months for both cohorts (supplemental Table 2). We no longer observed the impact of CPI on PFS, but still saw a benefit in relapse (HR, 0.6; 95% CI, 045-08; P = .0005). The same factors impacted OS and PFS, and included age (HR, 1.03; 95% CI, 1.02-1.03; P < .0001 and HR, 1.01; 95% CI, 1.01-1.02; P = 6.10E-05, respectively), sex (female vs male: HR, 0.78; 95% CI, 0.64-0.94; P = .01 and HR, 0.84; 95% CI, 0.73-0.97; P = .02, respectively), donor (HLA-MUD vs HLA-Id Sib: HR, 1.27; 95% CI, 1-1.6; P = .046 and HR, 0.78; 95% CI, 0.65-0.93; P = .005, respectively), disease status (ref = CR:PR: HR, 95% CI, 1.59; 95% CI, 1.27-1.99; P < .0001 and HR, 1.87; 95% CI, 1.57-2.24; P < .0001, respectively; refractory: HR, 2.31; 95% CI, 1.84-2.91; P < .0001, and HR, 2.69; 95% CI, 2.25-3.22; P < .0001, respectively), as well as KPS <90 (HR, 1.6; 95% CI, 1.32-1.95; P < .0001 and HR, 1.33; 95% CI, 1.13-1.55; P = .0004, respectively). Interestingly, use of a haplo donor also impacted OS (vs HLA-Id Sib: HR, 1.53; 95% CI, 1.12-2.1; P = .008), but not PFS.
Impact of combined variable CPI/PTCy and ATG on outcomes
Given the higher rates of severe aGVHD in patients with prior CPI, we hypothesized that those patients would benefit from the use of PTCy for GVHD prophylaxis, independent of donor type.25-27 We therefore performed a second MVA of the impact of the combined variable CPI/PTCy on outcomes (Table 4). Using the no-CPI/no-PTCy cohort as a reference, the use of PTCy in patients with prior CPI was associated with improved PFS (HR, 0.67; 95% CI, 0.51-0.86; P = .002) and decreased relapse (HR, 0.46; 95% CI, 0.31-0.67; P < .0001), but no difference in OS or NRM. There was increased grade 2 to 4 aGVHD (HR, 1.33; 95% CI, 1.02-1.73; P = .03), but decreased cGVHD (HR, 0.59; 95% CI, 0.45-0.78; P = .0003).
In contrast, while decreased relapse was also noted in patients with prior CPI who did not receive PTCy (HR, 0.63; 95% CI, 0.45-0.89; P = .009), this did not result in improved PFS. Furthermore, while no difference in OS or NRM was seen when compared with the no-CPI/no-PTCy cohort, there was a significant increase in grade 3 to 4 aGVHD (HR, 1.6; 95% CI, 1.23-2.08; P = .0005), without an effect on grade 3 to 4 aGVHD or cGVHD.
ATG has been shown to decrease GVHD. We therefore performed an analysis of the impact of anti-thymocyte globulin (ATG) restricted to the 1783 patients in the EBMT registry, where these data were available. There was no significant difference in the use of ATG in patients with prior CPI (28.6%) or without (24.5%). The only end point that was close to significance was grade 2 to 4 aGVHD (supplemental Table 2; supplemental Figure 2).
Outcomes of patients in the CPI cohort
Finally, we performed an analysis in the cohort of patients with prior CPI exposure (Table 5). OS was affected by patient age (for 1 year increase: HR, 1.03; 95% CI, 1.02-1.04; P = .0001), disease status (PR vs CR: HR, 1.66; 95% CI, 1.12-2.48; P = .01 and refractory vs CR: HR, 2; 95% CI, 1.25-3.18; P = .003), and GVHD prophylaxis (calcineurin inhibitor vs PTCy: HR, 1.84; 95% CI, 1.09-3.12; P = .02). Age and disease status were also associated with PFS. In addition to OS, non-PTCy-based prophylaxis was also associated with a higher risk of grade 2 to 4 aGVHD (HR, 1.99; 95% CI, 1.36-2.92; P = .0004) and cGVHD (HR, 2.01; 95% CI, 1.45-2.78; P < .0001), but not grade 3 to 4 aGVHD compared with PTCy-based prophylaxis.
Discussion
Given the remarkable efficacy and now common use of CPIs in patients with HL, we examined the impact of prior CPI exposure in patients undergoing allo-HCT in a large cohort of patients from the CIBMTR and EBMT. We showed that the use of CPIs before allo-HCT in patients with HL was associated with improved PFS due to lower relapse risk, but no improvement in OS. Grade 2 to 4 and 3 to 4 aGVHD were increased with the use of CPI, but the incidence of cGVHD was not affected. While we did observe an increase in NRM when comparing CPI and non-CPI cohorts, this was not noted in the MVA. When we examined CPI-only recipients, use of PTCy-based GVHD prophylaxis resulted in improved OS, as well as less grade 2 to 3 aGVHD and cGVHD.
The adoption of CPIs in HL followed the results of large prospective trials of nivolumab or pembrolizumab in patients with relapsed/refractory HL with or without prior BV exposure and/or prior auto-HCT.6,8,28,29 These trials reported objective response rates of almost 70%, ranging from 64% to 74% depending on specific cohorts. The median duration of response was >16 months, and median PFS was ∼14 months. Pembrolizumab has been shown to be effective when combined with chemotherapy as second-line therapy, and studies are ongoing to determine whether this approach can reduce the need for auto-HCT.30-32 Furthermore, nivolumab has been tested in the up-front setting in combination with doxorubicin, vinblastine, and dacarbazine.33 The overall response rate was 84% (71% to 93%), with 67% (52% to 79%) achieving CR. Additional studies are ongoing, and nivolumab has also been combined with BV.34,35
While there are currently limited published data regarding the use of CPI prior to or after allo-HCT, a few preliminary studies have been reported.6,18,20,36 Merryman et al described 39 patients, including 31 with HL, who underwent allo-HCT after prior CPI.18 The 1-year OS and PFS were 89% [95% CI, 74-96] and 76% [95% CI, 56-87], respectively, whereas the 1-year cumulative incidences of relapse and NRM were 14% [95% CI, 4-29] and 11% [95% CI, 3-23], respectively. Armand et al reported outcomes of 44 patients who proceeded to allo-HCT after treatment with nivolumab.6 At the time of publication, the 6-month PFS estimate was 82%, and the 6-month OS estimate was 87%. More recently, Merryman et al reported a larger retrospective cohort of 209 patients with HL who underwent allo-HCT after PD-1 blockade.19 The 2-year PFS and OS rates were 69% and 82%, respectively, while the 2-year cumulative incidences of relapse and NRM were 18% and 14%, respectively. In multivariable analyses, an interval >80 days from CPI to allo-HCT was associated with less frequent severe aGVHD (9% vs 21%; P < .001), and PTCy-based GVHD prophylaxis was associated with significant improvement in PFS. These results are markedly better than previously published CIBMTR data, where Devetten et al reported probabilities of PFS and OS of 30% and 56% at 1 year, and 20% and 37% at 2 years, respectively.37
The present study identifies significant improvements in outcomes of allo-HCT compared with the 2009 CIBMTR publication.37 First, in the non-CPI cohort, PFS and OS were 58% and 79% at 1 year, respectively. The doubling of PFS and OS likely reflects improved survival trends for allo-HCT seen across indications, but also the fact that the current cohort includes patients for whom both BV (approved in the United States in 2011, and in 2012 in Europe) and CPI (approved in the United States and in Europe in 2016) would have been treatment options for relapse after allo-HCT in at least some of the patients. Outcomes are further improved in patients with prior CPI with 1-year PFS and OS of 69% and 76%, respectively, suggesting that prior CPI exposure exerts effects through the donor immune system after transplant, which is supported by higher rates of aGVHD, but also higher rates of GVL. In fact, our finding that patients with refractory disease in the CPI cohort had rates of PFS similar to patients with sensitive disease in the non-CPI cohort suggests that prior exposure to CPI could overcome at least in part the negative effect of refractory disease. Our results in the prior CPI cohort also support the excellent outcomes reported by Armand et al in the clinical trial setting,6 as well as a study that compared prior CPI with no CPI in allo-HCT in HL, but only in the haplo setting.36 While the lower relapse incidence observed with CPI before allo-HCT may be associated with GVL, it may also be related to chemosensitization with the conditioning, which has been observed with auto-HCT and patients who were previously chemorefractory.38 Interestingly, PFS and relapse incidence are improved after CPI/PTCy compared with CPI/no PTCy, raising the possibility that high-dose cyclophosphamide may be participating in a chemosensitization effect.
The approvals of new and highly effective drugs such as BV and CPI have resulted in lower numbers of patients with HL being referred for allo-HCT. However, our results in the modern era suggest a significant improvement in survival outcomes in those patients with HL who undergo allo-HCT, and therefore continue to support allo-HCT as a viable treatment option for these patients. Our study sought to address several key questions regarding allo-HCT after CPI in HL, including the choice of conditioning regimen, donor source, and GVHD prophylaxis.
While historic data have shown increased toxicity with MAC, this toxicity needs to be seen in the context of patients who likely received more toxic chemotherapy regimens for initial treatment as well as more expanded fields of radiotherapy, particularly to the lungs and mediastinum. A recent report from the EBMT now highlights that, in the modern era, survival may in fact be similar with MAC and RIC, but that MAC may provide better disease control.39 However, recent reports from the CIBMTR in patients with non-Hodgkin lymphoma and HL indicate that more intense regimens may in fact be associated with worse outcomes.14,40 In the present study, conditioning intensity did not impact OS or disease control, supporting the fact that, in adult patients at least, RIC remains the preferred conditioning intensity for patients with HL.
Regarding donor selection, the potential benefit of choosing a haploidentical donor over other graft sources remains controversial, with conflicting data in the literature.41,42 Some experts are even advocating the use of haploidentical donors in allo-HCT for HL, based on recent data showing improved OS compared with other graft sources.43 This would be in contrast to comparisons for other diseases, and may therefore reflect a CPI effect rather than a donor source effect. These findings may be due to the fact that haplo donors all receive PTCy and have been transplanted more recently, and are therefore more likely to have received CPI. It is possible that the results of studies recommending a preference for haplo did not correct for prior CPI use, which in part coincides with the increasing use of haploidentical HCT. In this regard, a recent CIBMTR-EBMT study in patients with lymphoma who underwent allo-HCT with PTCy-based GVHD prophylaxis showed decreased OS in recipients of haplo donors compared with MUD.44 In the present study, when we examined the CPI cohort only, graft source did not impact outcomes. However, outcomes, including OS and grade 2 to 4 aGVHD and cGVHD, were improved in recipients of PTCy-based GVHD prophylaxis, independent of donor source.
There are limitations to the present study, including its retrospective nature, the fact that recipients in the CPI cohort were transplanted more recently, and that there were some differences in baseline characteristics between the CPI and non-CPI cohorts. Nevertheless, we were able to adjust for many of these factors in the MVA. Despite these adjustments, there remains potential for bias. Similarly, the relatively high rate of missing HCT-CI data may confound the interpretation of NRM. Furthermore, we did not collect data on prior BV exposure, number of treatment cycles with CPI, or intervening treatments between CPI exposure and HCT, which may impact outcomes. The latter may explain why we were not able to identify a washout period that has been noted in other studies. Data on race were not collected in the EBMT registry, thereby limiting any analysis related to race. One question that remains open is whether patients who achieve a CR after CPI should proceed to allo-HCT, continue CPI maintenance, or be observed closely off treatment. In this context, the long-term follow-up of the KEYNOTE-087 trial reported durable responses in a significant proportion of patients who achieved a CR.9 The decision to proceed to allo-HCT and timing are questions that warrant a detailed assessment of the risk/benefit of allo-HCT with patients in the absence of definitive data. Our results will also need to be seen in the context of increasing use of CPI in earlier lines of therapy and further expected decrease in allo-HCT use.45-50 Finally, data on exposure to CPI after HCT were not collected in this study, and also merit investigation.
Results in the recent era of CPI, including this study, have shown remarkable outcomes of allo-HCT in HL. This is driven by a lower incidence of relapse, suggesting effects of the CPI on the donor immune system and enhancement of GVL effects. In addition, the present study shows that there is no increased NRM. Understanding factors that impact HCT outcomes including prior use of CPI, which has now become standard, will be important in optimal patient selection and choice of transplant approach. Our study also supports the use of PTCy-based GVHD prophylaxis. This may help to mitigate the observed risk of aGVHD in patients with prior CPI, where GVHD is the leading cause of death. RIC is the most common conditioning intensity, observed in over 80% of patients. We were not able to fully address the preferred donor source, but our results do not support the use of haplo donors over other donors. In summary, allo-HCT should still be considered a curative option for patients with HL in the era of CPIs.
Acknowledgments
This work was supported by the Center for International Blood and Marrow Transplant Research (CIBMTR) and the European Society for Blood and Marrow Transplantation. The CIBMTR is supported primarily by Public Health Service grant U24CA076518 from the National Cancer Institute (NCI), National Institutes of Health (NIH), the National Heart, Lung and Blood Institute, NIH, and the National Institute of Allergy and Infectious Diseases, NIH; grant HHSH250201700006C from the Health Resources and Services Administration; and grants N00014-20-1-2705 and N00014-20-1-2832 from the Office of Naval Research. Support is also provided by Be the Match Foundation, the Medical College of Wisconsin, the National Marrow Donor Program, and from the following commercial entities: Actinium Pharmaceuticals, Inc; Adienne SA; Allovir, Inc; Amgen, Inc; Angiocrine Bioscience; Astellas Pharma US; bluebird bio, Inc; Bristol Myers Squibb Co; Celgene Corp; CSL Behring; CytoSen Therapeutics, Inc; Daiichi Sankyo Co, Ltd; ExcellThera; Fate Therapeutics; Gamida-Cell, Ltd; Genentech Inc; Incyte Corporation; Janssen/Johnson & Johnson; Jazz Pharmaceuticals, Inc; Kiadis Pharma; Kite, a Gilead Company; Kyowa Kirin; Legend Biotech; Magenta Therapeutics; Merck Sharp & Dohme Corp; Millennium, the Takeda Oncology Co; Miltenyi Biotec, Inc; Novartis Pharmaceuticals Corporation; Omeros Corporation; Oncoimmune, Inc; Orca Biosystems, Inc; Pfizer, Inc; Pharmacyclics, LLC; Sanofi Genzyme; Stemcyte; Takeda Pharma; Vor Biopharma; and Xenikos BV. M.-A.P. was supported in part by NIH/NCI Cancer Center Support Grant P30 CA008748.
Authorship
Contribution: M.-A.P., F.T.A., A.S., and M.H. conceived and designed the study; A. Bazarbachi, A. Boumendil, H.F., J.P., and K.W.A. collected and assembled data; A. Boumendil provided data analysis; M.-A.P. and A.S. prepared the first draft of the manuscript; and all authors interpreted the data and helped revise the manuscript.
Conflict-of-interest disclosure: N.A. reports honoraria from Bristol Myers Squibb (BMS) and Kite/Gilead and institutional research funding from Kite/Gilead. S.A. reports research support to institution for clinical trials from Nektar, Merck, Xencor, Chimagen, Janssen, Kite/Gilead and Genmab; reports membership on Chimagen scientific advisory committee; serves on the data safety monitoring board (DSMB) for Myeloid Therapeutics; and is a consultant for ADC Therapeutics and Kite/Gilead. A. Bazarbachi reports honoraria from Takeda, Janssen, Amgen, Novartis, and Roche and research support from Takeda, Roche, Janssen, and Pfizer. M.H. reports research support/funding from Takeda Pharmaceutical Company, ADC Therapeutics, Spectrum Pharmaceuticals, and Astellas Pharma; consultancy for ADC Therapeutics, Omeros, Crispr, BMS, Kite, AbbVie, Caribou, Genmab, and Autolus; and speaker’s bureau fees from ADC Therapeutics, AstraZeneca, BeiGene, Kite, DMC Inc, Genentech, Myeloid Therapeutics, and Crispr. R.C.L. reports honoraria from Seagen, Foresight Diagnostics, AbbVie, Janssen, and Merck and research funding from TG Therapeutics, Incyte, Bayer, Cyteir, Genentech, Seagen, Rapt, Merck, and Janssen. M.-A.P. reports honoraria from Adicet, Allogene, Allovir, Caribou Biosciences, Celgene, BMS, Equillium, Exevir, ImmPACT Bio, Incyte, Karyopharm, Kite/Gilead, Merck, Miltenyi Biotec, MorphoSys, Nektar Therapeutics, Novartis, Omeros, OrcaBio, Sanofi, Syncopation, VectivBio AG, and Vor Biopharma; serves on DSMBs for Cidara Therapeutics and Sellas Life Sciences; serves on scientific advisory board of NexImmune; has ownership interests in NexImmune, Omeros, and OrcaBio; and has received institutional research support for clinical trials from Allogene, Incyte, Kite/Gilead, Miltenyi Biotec, Nektar Therapeutics, and Novartis. M.S. reports honoraria from AbbVie, Genentech, AstraZeneca, Genmab, Janssen, BeiGene, BMS, Morphosys/Incyte, Kite Pharma, Eli Lilly, Fate therapeutics, Nurix, and Merck; has received research support from Mustang Bio, Genentech, AbbVie, BeiGene, AstraZeneca, Genmab, Morphosys/Incyte, and Vincerx; and has ownership interests in Koi Biotherapeutics. A.S. reports honoraria from Takeda, BMS/Celgene, MSD, Janssen, Amgen, Novartis, Gilead Kite, Sanofi, Roche, Genmab, AbbVie, and Jazz Pharmaceuticals and research support from Takeda. The remaining authors declare no competing financial interests.
Correspondence: Miguel-Angel Perales, Adult Bone Marrow Transplantation Service, Department of Medicine, Memorial Sloan Kettering Cancer Center, 530 East 74th St, Box 59, New York, NY 10021; email: peralesm@mskcc.org.
References
Author notes
The Center for International Blood and Marrow Transplant Research (CIBMTR) supports accessibility of research in accord with the National Institutes of Health Data Sharing Policy and the National Cancer Institute Cancer Moonshot Public Access and Data Sharing Policy. The CIBMTR only releases deidentified data sets that comply with all relevant global regulations regarding privacy and confidentiality.
The online version of this article contains a data supplement.
There is a Blood Commentary on this article in this issue.
The publication costs of this article were defrayed in part by page charge payment. Therefore, and solely to indicate this fact, this article is hereby marked “advertisement” in accordance with 18 USC section 1734.
 https://orcid.org/0000-0002-5910-4571
  https://orcid.org/0000-0002-5910-4571
        





 
                




