Abstract
CXC ligand 12 (CXCL12; also known as stromal cell–derived factor 1α/SDF-1α) chemoattracts hematopoietic stem and progenitor cells (HSCs/HPCs) and is thought to play a crucial role in the mobilization of HSCs/HPCs from the bone marrow. CD26 (dipeptidylpeptidase IV [DPPIV]) is a membrane-bound extracellular peptidase that cleaves dipeptides from the N-terminus of polypeptide chains. CD26 has the ability to cleave CXCL12 at its position-2 proline. We found by flow cytometry that CD26 is expressed on a subpopulation of normal Sca-1+c-kit+lin— hematopoietic cells isolated from mouse bone marrow, as well as Sca-1+c-kit—lin— cells, and that these cells possess CD26 peptidase activity. To test the functional role of CD26 in CXCL12-mediated normal HSC/HPC migration, chemotaxis assays were performed. The CD26 truncated CXCL12(3-68) showed an inability to induce the migration of sorted Sca-1+c-kit+lin— or Sca-1+c-kit—lin— mouse marrow cells compared with the normal CXCL12. In addition, CXCL12(3-68) acts as an antagonist, resulting in the reduction of migratory response to normal CXCL12. Treatment of Sca-1+c-kit+lin— mouse marrow cells, and myeloid progenitors within this population, or Sca-1+c-kit—lin— cells with a specific CD26 inhibitor, enhanced the migratory response of these cells to CXCL12. Finally, to test for potential in vivo relevance of these in vitro observations, mice were treated with CD26 inhibitors during granulocyte colony-stimulating factor (G-CSF)–induced mobilization. This treatment resulted in a reduction in the number of progenitor cells in the periphery as compared with the G-CSF regimen alone. This suggests that a mechanism of action of G-CSF mobilization involves CD26.
Introduction
CXC ligand 12 (CXCL12; also known as stromal cell–derived factor 1α/SDF-1α) chemoattracts hematopoietic stem and progenitor cells (HSCs/HPCs).1-3 CXCL12 is one of a unique few in the chemokine subfamily of cytokines that binds only one receptor.4-7 Redundancy exists in the majority of chemokine-receptor interactions; many receptors are bound by multiple chemokines and many chemokines bind more than one receptor. CXCL12—/— and CXC receptor 4 (CXCR4)—/— mice share the same phenotype supporting the one chemokine-one receptor hypothesis for CXCL12/CXCR4.4,5 It is thought that CXCL12 is an important component of the mobilization of hematopoietic stem and progenitor cells (HSCs/HPCs) from the bone marrow.2,3 However, whether or not CXCL12 is mechanistically involved in granulocyte colony-stimulating factor (G-CSF)–induced mobilization of HSCs/HPCs has yet to be determined.
CD26 (dipeptidylpeptidase IV [DPPIV]) is a membrane-bound extracellular peptidase that cleaves dipeptides from the N-terminus of polypeptide chains after a proline or an alanine.8 The N-terminus of chemokines is known to interact with the extracellular portion of chemokine receptors. Consequently, the removal of the N-terminal amino acids results in significant changes in receptor binding and/or functional activity.9 N-terminal truncated forms of chemokines are, however, naturally occurring and have been isolated alongside full-length forms.10-16
CD26 only has the ability to cleave chemokines containing the essential N-terminal X-Pro or X-Ala motif.17-26 CXCL12, along with CCL22, has been shown to be selectively truncated in vitro by CD26 as compared with other chemokines containing the appropriate X-Pro or X-Ala motif.27 In addition to chemokines, the pancreatic polypeptide family (including neuropeptide Y and peptide YY) and the glucagon family (glucagons, glucagon-like peptide-1, and glucagon-like peptide-2) have also been identified as natural substrates.28 CD26 is expressed on many hematopoietic cell populations, including stimulated B and natural killer (NK) cells, activated T lymphocytes, endothelial cells, fibroblasts, and epithelial cells.29-31 In addition, CD26 is present in a catalytically active soluble form in plasma.32
However, very little is known about CD26 expression on normal bone marrow–derived HSCs/HPCs. Since it had been previously established that cord blood is a functional source of transplantable HSCs/HPCs,33-35 we recently began to address this question using CD34+ cells isolated from cord blood.36 We presented evidence that CD26 is expressed by a subpopulation of normal CD34+ hematopoietic cells isolated from cord blood and that these cells possess CD26 peptidase activity.36 More importantly, the functional in vitro studies performed suggested that the process of CXCL12 cleavage by CD26 on a subpopulation of CD34+ cells may represent a novel regulatory mechanism for the entire HSC/HPC population with respect to the migration, homing, and mobilization of these cells.
Herein we present evidence that CD26 is expressed by a subpopulation of Sca-1+c-kit+lin— cells isolated from mouse bone marrow, as well as Sca-1+c-kit—lin— cells, and that these cells have CD26 peptidase activity. Mouse marrow cells were chosen because mice represent a useful model for in vivo mobilization studies. In vitro functional studies showed that the N-terminal truncated CXCL12 lacks the ability to induce the migration of both Sca-1+c-kit+lin— and Sca-1+c-kit—lin— mouse marrow cells. In addition, it acts as an antagonist, resulting in the reduction of migratory response to normal full-length CXCL12. Inhibiting the endogenous CD26 activity on Sca-1+c-kit+lin— and Sca-1+c-kit—lin— mouse marrow cells with a specific CD26 inhibitor enhances the chemotactic response of these cells to CXCL12. Finally, to test for potential in vivo relevance of these in vitro observations, treatment of mice with CD26 inhibitors during G-CSF–induced mobilization resulted in a reduction in the number of progenitor cells in the peripheral blood. This reduction in the number of progenitor cells mobilized suggests that a mechanism of action of G-CSF mobilization involves CD26 activity.
Materials and methods
Preparation of mouse cells
Mouse bone marrow (mBM) cells are flushed from femurs of 6- to 8-week-old mice. Peripheral blood stem cells (PBSCs) were collected from 6- to 8-week-old mice by heart stick using a 25 G needle containing 100 μL heparin (1000 U/mL). Mononuclear cells (MNCs) were isolated by density centrifugation using Lympholyte M (Cedarlane Laboratories, Ontario, ON, Canada). Lin+ cells (cocktail of monoclonal antibodies for Ly-1, CD45R/B220, CD11b/Mac-1, TER119, Gr-1, 7-4) were depleted using a density particle murine progenitor enrichment cocktail (Stem Cell Technologies, Vancouver, BC, Canada). Then, 4-color flow cytometry was performed as described in the following paragraph, and Sca-1+c-kit+lin— and Sca-1+c-kit—lin— cells were simultaneously sorted. Sorted cell populations, typically 98.3% ± 0.62% pure compared with isotype controls, were then used immediately. Normal C57BL/6 mice were purchased from Harlan (Indianapolis, IN). DBA/2 mice were obtained from Jackson Laboratories (Bar Harbor, ME).
CD26 and CXCR4 expression
CD26 cell surface expression was measured by 4-color flow cytometry. Isolated lin— mouse MNCs were stained with mouse CD26 fluorescein isothiocyanate (FITC), CXCR4 phycoerythrin (PE), Sca-1 PE-Cy5.5, and c-kit allophycocyanin (APC) (from either BD Biosciences, San Diego, CA or Caltag Laboratories, Burlingame, CA). Cells were labeled as described previously and then 100 000 events were accumulated for each analysis.36,37 The staining protocol was as follows. cells were first washed in phosphate-buffered saline (PBS)/Pen/Strep/1% bovine serum albumin (BSA) and resuspended in 100 μL PBS/Pen/Strep/1% BSA containing the appropriate antibodies. Samples were mixed, and incubated at 4°C in the dark for 40 minutes. The cells were then washed twice in PBS/Pen/Strep/1% BSA and fixed in PBS/1% paraformaldehyde for later flow cytometric analysis. There were 6 mBM samples analyzed separately, and a representative plot is shown.
CD26/DPPIV peptidase activity
CD26 peptidase activity of sorted cells was measured in 96-well microplates using the chromogenic substrate Gly-Pro-p-nitoanilide (Gly-Pro-pNA) (Sigma, St Louis, MO) as previously reported.36,38,39 Peptidase activity is expressed as picomoles per minute (U) per 1000 cells. Proteolytic activity was determined by measurement of the amount of p-nitroanilide (pNA) formed in the supernatant at 405 nm. In the 96-well flat-bottomed plate, 1000 cells per well were incubated at 37°C with 4 mM Gly-Pro-pNA in 100 μL PBS buffer (pH 7.4) containing 10 mg/mL BSA. Absorbance was measured at 405 nm on a microplate spectrofluorometer (SpectraMax 190, Molecular Devices, Sunnyvale, CA) every 2 minutes and picomoles of pNA formed were calculated by comparison to a pNA standard curve. The results were plotted as picomoles pNA versus minutes and the slope was calculated at the linear portion of the curve giving a measure of DPPIV activity expressed as picomoles per minute (U) per 1000 cells. Tests were run using 3 separate samples (n = 3 for each sample); cell-free blanks and substrate-free blanks were run in parallel. Data are presented as mean ± standard error of the mean (SEM) of all tests (total n = 9).
Migration of hematopoietic stem cells
Chemotaxis assays were performed using 96-well chemotaxis chambers (NeuroProbe, Gaithersburg, MD) in accordance with the manufacturer's instructions as described previously with minor variations.36,37,40 Briefly, 300 μL RPMI supplemented with 10% fetal bovine serum (FBS) and either 0 ng/mL, 100 ng/mL, 200 ng/mL, or 400 ng/mL mouse CXCL12 chemokine was added to the lower chamber. Sorted cells (10 000) in 50 μL of media were added to the upper side of the membrane (5.7 mm diameter, 5 μm pore size, polycarbonate membrane).
The total cell number in the lower well was obtained by counting using a hemocytometer after 4 hours of incubation at 37°C, 5% CO2. Percent migration was calculated by dividing the number of cells in the lower well by the total cell input multiplied by 100 and subtracting random migration (always < 5%) to the lower chamber without chemokine presence. There were 3 samples analyzed separately in triplicate, and then the data were averaged for statistical analysis. Data are presented as mean ± SEM and comparisons were made using the 2-tailed Student t test.
The N-terminal truncated mouse CXCL12 (CXCL12(3-68)) was produced by treatment of mouse CXCL12 with DPPIV (Enzyme Systems Products, Livermore, CA) for 18 hours at 37°C in PBS, pH 7.4. Efficiency of the DPPIV digestion of human CXCL12 under these conditions was previously determined to be 100% by mass spectroscopy.36 Chemotaxis assay wells containing truncated CXCL12(3-68) alone were performed using a full-dose response of either 0 ng/mL, 100 ng/mL, 200 ng/mL, or 400 ng/mL. Chemotaxis assays examining the inhibitory effect of truncated CXCL12(3-68) used either 0 ng/mL, 100 ng/mL, 200 ng/mL, or 400 ng/mL of CXCL12 and a pretreatment of 100 ng/mL CXCL12(3-68) for 15 minutes. A 15-minute pretreatment represents the minimum setup time for the chemotaxis assay after addition of CXCL12(3-68) to the system.
Inhibition of endogenous CD26/DPPIV activity was accomplished by pretreatment of cells with 5 mM Diprotin A (Peptides International, Louisville, KY) for 15 minutes at 37°C. Diprotin A was allowed to remain in the chemotaxis chamber during the assay. Chemotaxis assays were performed with and without Diprotin A in conjunction with a CXCL12 dose response between 0 ng/mL and 400 ng/mL.
Mobilization
Mobilization was achieved by treating mice with 2.5 μg G-CSF per mouse administered subcutaneously 2 times per day for 2 days.41 Mice simultaneously treated with a specific CD26 inhibitor also underwent treatment with either 5 μmol Diprotin A per mouse administered subcutaneously 2 times per day for 2 days or 5 μmol Val-Pyr per mouse administered subcutaneously 2 times per day for 2 days. Diprotin A was obtained commercially (Peptides International, Louisville, KY) and Val-Pyr was obtained as a gift from Nicolai Wagtmann (Novo Nordisk, Denmark). After either G-CSF or G-CSF plus CD26 inhibitor treatment, peripheral blood cells were collected and total cellular nuclearity was measured and progenitor cell assays were performed using total peripheral blood cells.
Progenitor cells assays
Mouse G-CSF mobilized cells (100 000) were plated in triplicate for colony formation by granulocyte macrophage colony-forming units (CFU-GMs), erythroid blast-forming units (BFU-Es), and granulocyte macrophage, erythroid, and megakaryocytic colony-forming units (CFU-GEMMs) and scored at 7 days incubation as previously described.42 Cells were plated for colony formation in 1% methylcellulose culture medium containing 30% FBS, 1 U/mL recombinant human Epo, 0.1 mM hemin, 5% pokeweed mitogen spleen conditioned media (PWMSCM), and 50 ng/mL recombinant mouse steel factor (= stem cell factor [SCF]).
Results
CD26 and CXCR4 expression
CD26 cell surface expression was measured by multivariant flow cytometry using fluorochrome-conjugated monoclonal antibodies to mouse CD26, CXCR4, Sca-1, and c-kit. Simultaneous analysis of Sca-1 and c-kit of lineage-depleted mBM cells allows for the analysis of Sca-1+c-kit+lin— cells (Figure 1, upper-right quadrant) and Sca-1+c-kit—lin— cells (Figure 1, upper-left quadrant). CD26 is expressed on approximately 73% of Sca-1+c-kit+lin— cells (Figure 2B). Simultaneous examination of CXCR4 expression in these cells reveals that the majority of CD26+ and CD26— cells express CXCR4 (Figure 2B). Similarly, 75% of Sca-1+c-kit—lin— cells are CD26+ (Figure 2C) and of those the majority are CXCR4+ (Figure 2C). In addition, it was noted that Sca-1+c-kit—lin— cells have distinct CD26+ and CD26— populations, where Sca-1+c-kit+lin— cells have one population of cells with respect to CD26 expression, of which 73% fall in the CD26+ category as compared with the isotype control (Figure 2A).
Expression of Sca-1 and c-kit on lineage-depleted mBM cells. Expression of these markers was used to form gates and sort Sca-1+c-kit+lin— cells (upper-right quadrant) and Sca-1+c-kit—lin— cells (upper-left quadrant) for further expression and functional analysis of populations of cells. Sample dot plot shown is representative of data obtained from 6 independent mBM samples.
Expression of Sca-1 and c-kit on lineage-depleted mBM cells. Expression of these markers was used to form gates and sort Sca-1+c-kit+lin— cells (upper-right quadrant) and Sca-1+c-kit—lin— cells (upper-left quadrant) for further expression and functional analysis of populations of cells. Sample dot plot shown is representative of data obtained from 6 independent mBM samples.
Expression of CD26 and CXCR4. CD26 cell surface expression was measured by flow cytometry using the following fluorochrome-conjugated monoclonal antibodies simultaneously: CD26-FITC, CXCR4-PE, Sca-1-PECy5.5, and c-kit-APC. (A) Representative isotype control is shown. (B) CD26 is expressed on 73% of Sca-1+c-kit+lin— cells. Simultaneous examination of CXCR4 expression in these cells reveals that the majority of CD26+ and CD26— cells express CXCR4. Sca-1+c-kit+lin— cells have one distinct population of cells with respect to CD26 expression, of which 73% fall in the CD26+ category as compared with the isotype control. (C) CD26 is expressed on 75% of Sca-1+c-kit—lin— cells, and of those the majority are CXCR4+. Unlike Sca-1+c-kit+lin— cells, Sca-1+c-kit—lin— cells have 2 distinct CD26+ and CD26— populations. Data obtained from 6 independent mBM samples indicate that a significant percentage of normal HSCs/HPCs from mBM express CD26. Representative sample Sca-1+c-kit+lin— (B) and Sca-1+c-kit—lin— (C) dot plots are shown.
Expression of CD26 and CXCR4. CD26 cell surface expression was measured by flow cytometry using the following fluorochrome-conjugated monoclonal antibodies simultaneously: CD26-FITC, CXCR4-PE, Sca-1-PECy5.5, and c-kit-APC. (A) Representative isotype control is shown. (B) CD26 is expressed on 73% of Sca-1+c-kit+lin— cells. Simultaneous examination of CXCR4 expression in these cells reveals that the majority of CD26+ and CD26— cells express CXCR4. Sca-1+c-kit+lin— cells have one distinct population of cells with respect to CD26 expression, of which 73% fall in the CD26+ category as compared with the isotype control. (C) CD26 is expressed on 75% of Sca-1+c-kit—lin— cells, and of those the majority are CXCR4+. Unlike Sca-1+c-kit+lin— cells, Sca-1+c-kit—lin— cells have 2 distinct CD26+ and CD26— populations. Data obtained from 6 independent mBM samples indicate that a significant percentage of normal HSCs/HPCs from mBM express CD26. Representative sample Sca-1+c-kit+lin— (B) and Sca-1+c-kit—lin— (C) dot plots are shown.
CD26 peptidase activity
Having shown that a subpopulation of Sca-1+c-kit+lin— cells and Sca-1+c-kit—lin— mBM cells existed in which CD26 was expressed, we then set out to show that this population of cells had CD26 peptidase activity. Using the chromogenic substrate Gly-Pro-pNA, we monitored the production of pNA produced by CD26 cleavage by measuring absorbance at 405 nm. The results of this assay were plotted as picomoles pNA produced versus minutes (Figure 3A-B) and the slope was calculated at the linear portion of the enzymatic curve giving a measure of peptidase activity expressed as U/1000 cells where 1 U = 1 pmole pNA/minute. Sca-1+c-kit+lin— mBM cells have CD26 peptidase activity and it was measured to be 207.97 U/1000 cells (n = 8, Figure 3A). This is approximately the same activity recorded for Sca-1+c-kit—lin— mBM cells (193.28 U/1000 cells, n = 8, Figure 3B). This data sets up the possibility that CD26 regulates cellular response to CXCL12 in both Sca-1+c-kit+lin— and Sca-1+c-kit—lin— mBM cells.
CD26 peptidase activity. The CD26 peptidase activity of sorted Sca-1+c-kit+lin— (A) and Sca-1+c-kit—lin— (B) mBM cells was measured. Using the chromogenic substrate Gly-Pro-pNA, the production of pNA by DPPIV cleavage was monitored. The results are plotted as picomoles pNA produced versus minutes and slope was calculated at the linear portion of the enzymatic curve giving a measure of CD26 peptidase activity expressed as U/1000 cells, where 1 U = 1 pmol pNA/minute. Error bars represent standard errors of the means (SEMs). (A) Sca-1+c-kit+lin— mBM cells have CD26 activity (207.97 U/1000 cells, n = 8). (B) Approximately the same peptidase activity was recorded for Sca-1+c-kit—lin— mBM cells (193.28 U/1000 cells, n = 8).
CD26 peptidase activity. The CD26 peptidase activity of sorted Sca-1+c-kit+lin— (A) and Sca-1+c-kit—lin— (B) mBM cells was measured. Using the chromogenic substrate Gly-Pro-pNA, the production of pNA by DPPIV cleavage was monitored. The results are plotted as picomoles pNA produced versus minutes and slope was calculated at the linear portion of the enzymatic curve giving a measure of CD26 peptidase activity expressed as U/1000 cells, where 1 U = 1 pmol pNA/minute. Error bars represent standard errors of the means (SEMs). (A) Sca-1+c-kit+lin— mBM cells have CD26 activity (207.97 U/1000 cells, n = 8). (B) Approximately the same peptidase activity was recorded for Sca-1+c-kit—lin— mBM cells (193.28 U/1000 cells, n = 8).
Migration of mBM HSCs/HPCs
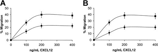
Chemotaxis assays were performed in order to test the functional role of CD26 in HSC/HPC cell migration from normal mBM. Normal Sca-1+c-kit+lin— cell migration, after incubation at 37°C for 4 hours (n = 8, Figure 4A), shows a dose response to CXCL12. The N-terminal truncated CXCL12(3-68), produced by treatment with DPPIV, lacks the ability to induce the migration of Sca-1+c-kit+lin— cells (n = 8, Figure 4A). In addition, a 15-minute pretreatment with 100 ng/mL of truncated CXCL12(3-68) inhibits the normal migratory response at 100 ng/mL CXCL12 (n = 8, P = .04, Figure 4A) after 4 hours from 13.75% ± 4.08% to 3.75% ± 2.88%, representing a 66% loss in percent migration.
Migratory response to N-terminal truncated CXCL12(3-68). Chemotaxis assays using Sca-1+c-kit+lin— mBM cells (A) and Sca-1+c-kit+lin— mBM cells (B) were performed comparing the normal CXCL12 and the N-terminal truncated form CXCL12(3-68). (A) CXCL12 induced a normal dose-dependent migratory response in Sca-1+c-kit+lin— mBM cells (•). CXCL12(3-68) did not induce the migration of cells compared with CXCL12 (▪, P < .01, n = 8). Preincubation of cells for 15 minutes with CXCL12(3-68) (100 ng/mL) inhibits the normal CXCL12-induced migration of cells (▴, P = .04, n = 8). (B) CXCL12 again induced a normal dose-dependent migratory response in Sca-1+c-kit—lin— mBM cells (•). CXCL12(3-68) did not induce the migration of cells compared with CXCL12 (▪, P < .01, n = 8). Preincubation of cells for 15 minutes with CXCL12(3-68) (100 ng/mL) inhibits the normal CXCL12-induced migration of cells (▴, P = .02, n = 8). Error bars represent SEMs.
Migratory response to N-terminal truncated CXCL12(3-68). Chemotaxis assays using Sca-1+c-kit+lin— mBM cells (A) and Sca-1+c-kit+lin— mBM cells (B) were performed comparing the normal CXCL12 and the N-terminal truncated form CXCL12(3-68). (A) CXCL12 induced a normal dose-dependent migratory response in Sca-1+c-kit+lin— mBM cells (•). CXCL12(3-68) did not induce the migration of cells compared with CXCL12 (▪, P < .01, n = 8). Preincubation of cells for 15 minutes with CXCL12(3-68) (100 ng/mL) inhibits the normal CXCL12-induced migration of cells (▴, P = .04, n = 8). (B) CXCL12 again induced a normal dose-dependent migratory response in Sca-1+c-kit—lin— mBM cells (•). CXCL12(3-68) did not induce the migration of cells compared with CXCL12 (▪, P < .01, n = 8). Preincubation of cells for 15 minutes with CXCL12(3-68) (100 ng/mL) inhibits the normal CXCL12-induced migration of cells (▴, P = .02, n = 8). Error bars represent SEMs.
Similar results are seen when examining the migration of normal Sca-1+c-kit—lin— cells. CXCL12 induces a dose dependent chemotaxis and CXCL12(3-68) lacks the ability to migrate Sca-1+c-kit—lin— cells (n = 8, Figure 4B). Pretreatment with 100 ng/mL truncated CXCL12(3-68) inhibits the normal migratory response at 100 ng/mL CXCL12 (n = 8, P = .02, Figure 4B) after 4 hours from 11.25% ± 3.2% to 2.50% ± 2.39%, representing a 75% loss in percent migration.
Treatment with 5 mM Diprotin A (Ile-Pro-Ile) was observed to enhance the migratory response of Sca-1+c-kit+lin— mBM cells to CXCL12 (n = 8, P = .03, Figure 5A). The enhancement with Diprotin A treatment is equivalent to a 1.7-fold increase in total cell migration in response to 200 ng/mL and 400 ng/mL CXCL12. When the concentration of CXCL12 is lowered to 100 ng/mL, the enhancement in migration with Diprotin A treatment is 2-fold. Treatment with Diprotin A also enhanced the migratory response of Sca-1+c-kit—lin— mBM cells to CXCL12 (n = 8, P = .02, Figure 5B). The enhancement with Diprotin A treatment is equivalent to a 2-fold increase in total cell migration in response to 200 ng/mL and 400 ng/mL CXCL12 and 2.5-fold at 100 ng/mL.
Effect of CD26 inhibition on CXCL12-induced migration. Chemotaxis assays induced by CXCL12 were performed comparing the control untreated Sca-1+c-kit+lin— mBM cells (A) and Sca-1+c-kit—lin— mBM (B) cells to Diprotin A–treated cells. (A) CXCL12 induced a normal dose-dependent migratory response in untreated Sca-1+c-kit+lin— mBM cells (•). Treatment with 5 mM Diprotin A (Ile-Pro-Ile) was observed to enhance the migratory response of Sca-1+c-kit+lin— mBM cells to CXCL12 (▪, P = .03, n = 8). The enhancement with Diprotin A treatment is equivalent to a 1.7-fold increase in total cell migration in response to 200 ng/mL and 400 ng/mL CXCL12 and 2-fold at 100 ng/mL CXCL12. (B) CXCL12 induced a normal dose-dependent migratory response in Sca-1+c-kit—lin— mBM cells (•). Treatment with Diprotin A (▪) also enhanced the migratory response of cells to CXCL12 (n = 8, P = .02). The enhancement with Diprotin A treatment is equivalent to a 2-fold increase in total cell migration in response to 200 ng/mL and 400 ng/mL CXCL12 and 2.5-fold at 100 ng/mL. Error bars represent SEMs.
Effect of CD26 inhibition on CXCL12-induced migration. Chemotaxis assays induced by CXCL12 were performed comparing the control untreated Sca-1+c-kit+lin— mBM cells (A) and Sca-1+c-kit—lin— mBM (B) cells to Diprotin A–treated cells. (A) CXCL12 induced a normal dose-dependent migratory response in untreated Sca-1+c-kit+lin— mBM cells (•). Treatment with 5 mM Diprotin A (Ile-Pro-Ile) was observed to enhance the migratory response of Sca-1+c-kit+lin— mBM cells to CXCL12 (▪, P = .03, n = 8). The enhancement with Diprotin A treatment is equivalent to a 1.7-fold increase in total cell migration in response to 200 ng/mL and 400 ng/mL CXCL12 and 2-fold at 100 ng/mL CXCL12. (B) CXCL12 induced a normal dose-dependent migratory response in Sca-1+c-kit—lin— mBM cells (•). Treatment with Diprotin A (▪) also enhanced the migratory response of cells to CXCL12 (n = 8, P = .02). The enhancement with Diprotin A treatment is equivalent to a 2-fold increase in total cell migration in response to 200 ng/mL and 400 ng/mL CXCL12 and 2.5-fold at 100 ng/mL. Error bars represent SEMs.
Mobilization of HPCs
G-CSF–induced mobilization of HSCs/HPCs in C57BL/6 mice was achieved by treating mice with 2.5 mg G-CSF per mouse administered subcutaneously 2 times per day. C57BL/6 mice were observed to be relatively poor responders to G-CSF, mobilizing 2348 ± 249 CFU-GM/mL, 1027 ± 107 BFU-E/mL, and 442 ± 35 CFU-GEMM/mL. Data are plotted as a percentage of mobilization, where G-CSF is equal to 100% for each progenitor subtype (Figure 6A-C). Treatment with either 5 μmol Diprotin A per mouse administered subcutaneously 2 times per day alone or 5 μmol Val-Pyr per mouse administered subcutaneously 2 times per day alone was observed to have little or no effect on the mobilization of progenitors (Figure 6A-C). However, Dipotin A treatment during G-CSF mobilization resulted in a 59% reduction in CFU-GMs (P < .01, Figure 6A), 29% reduction in BFU-Es (P = .06, Figure 6B), and 63% reduction in CFU-GEMMs (P = .01, Figure 6C). Treatment with scrambled peptides (Ile-Ile-Pro and Pro-Ile-Ile) had no effect on mobilization (data not shown). Val-Pyr treatment during G-CSF mobilization resulted in a 55% reduction in CFU-GMs (P < .01, Figure 6A), 22% reduction in BFU-Es (P = .09, Figure 6B), and 62% reduction in CFU-GEMMs (P < .01, Figure 6C) compared with G-CSF alone.
G-CSF–induced mobilization of HSCs/HPCs in C57BL/6 mice. Data are plotted as a percentage of mobilization, where G-CSF is equal to 100% for each progenitor subtype. Treatment with either Diprotin A alone or Val-Pyr per mouse was observed to have little or no effect on the mobilization of progenitors. Diprotin A or Val-Pyr treatment during G-CSF mobilization resulted in a significant reduction in (A) CFU-GMs (P < .01), (B) BFU-Es (P = .06), and (C) CFU-GEMMs (P = .01) compared with G-CSF alone. Error bars represent SEMs.
G-CSF–induced mobilization of HSCs/HPCs in C57BL/6 mice. Data are plotted as a percentage of mobilization, where G-CSF is equal to 100% for each progenitor subtype. Treatment with either Diprotin A alone or Val-Pyr per mouse was observed to have little or no effect on the mobilization of progenitors. Diprotin A or Val-Pyr treatment during G-CSF mobilization resulted in a significant reduction in (A) CFU-GMs (P < .01), (B) BFU-Es (P = .06), and (C) CFU-GEMMs (P = .01) compared with G-CSF alone. Error bars represent SEMs.
G-CSF–induced mobilization of HSCs/HPCs in DBA/2 mice was again achieved by treating mice with 2.5 mg G-CSF per mouse administered subcutaneously 2 times per day. DBA/2 mice were observed to be relatively good responders to G-CSF, mobilizing 8145 ± 1038 CFU-GM/mL, 2219 ± 141 BFU-E/mL, and 1186 ± 163 CFU-GEMM/mL. Data are again plotted as a percentage of mobilization, where G-CSF is equal to 100% for each progenitor subtype. Diprotin A alone or Val-Pyr alone was observed to have little or no effect on the mobilization of progenitors (Figure 7A-C). However, Dipotin A treatment during G-CSF mobilization resulted in a 62% reduction in CFU-GMs (P < .01, Figure 7A), 56% reduction in BFU-Es (P = .02, Figure 7B), and 71% reduction in CFU-GEMMs (P < .01, Figure 7C). Val-Pyr treatment during G-CSF mobilization resulted in a 52% reduction in CFU-GMs (P < .01, Figure 7A), 49% reduction in BFU-Es (P = .05, Figure 7B), and 56% reduction in CFU-GEMMs (P < .01, Figure 7C) compared with G-CSF alone.
G-CSF–induced mobilization of HSCs/HPCs in DBA/2 mice. Data are plotted as a percentage of mobilization, where G-CSF is equal to 100% for each progenitor subtype. Treatment with either Diprotin A alone or Val-Pyr per mouse was observed to have little or no effect on the mobilization of progenitors. Diprotin A or Val-Pyr treatment during G-CSF mobilization resulted in a significant reduction in (A) CFU-GMs (P < .01), (B) BFU-Es (P = .02), and (C) CFU-GEMMs (P < .01) compared with G-CSF alone. Error bars represent SEMs.
G-CSF–induced mobilization of HSCs/HPCs in DBA/2 mice. Data are plotted as a percentage of mobilization, where G-CSF is equal to 100% for each progenitor subtype. Treatment with either Diprotin A alone or Val-Pyr per mouse was observed to have little or no effect on the mobilization of progenitors. Diprotin A or Val-Pyr treatment during G-CSF mobilization resulted in a significant reduction in (A) CFU-GMs (P < .01), (B) BFU-Es (P = .02), and (C) CFU-GEMMs (P < .01) compared with G-CSF alone. Error bars represent SEMs.
Discussion
CXCL12 chemoattracts HSCs/HPCs1-3 and is thought to be an important component of the mobilization of HSCs/HPCs from the bone marrow.3 CD26 has the ability to cleave CXCL12 after the proline at position 2.27 We recently presented evidence that CD26 is expressed by a subpopulation of normal CD34+ hematopoietic cells isolated from cord blood and that these cells possess CD26 peptidase activity.36 More importantly, the functional in vitro studies performed suggested that the process of CXCL12 cleavage by CD26 on a subpopulation of CD34+ cells may represent a novel regulatory mechanism for the entire HSC/HPC population with respect to the migration, homing, and mobilization of these cells.36
Since CD26 expression has never been examined in normal bone marrow cells from any source, we first examined the expression of CD26 on normal Sca-1+c-kit+lin— hematopoietic cells isolated from mouse BM. CD26 was determined to be expressed on a significant portion (73%) of Sca-1+c-kit+lin— cells. Simultaneous examination of CXCR4 expression in these cells reveals that the majority of CD26+ and CD26— cells express CXCR4. Similarly, a significant portion of Sca-1+c-kit—lin— (75%) cells are CD26+, of which the majority are CXCR4+. These data taken together suggest that the CD26+ subpopulation of either Sca-1+c-kit+lin— or Sca-1+c-kit—lin— cells from mBM might have the ability to regulate cellular response to CXCL12, and that regulation may have in vivo significance, since almost all of the cells expressing CD26 are also CXCR4+.
Having shown that a subpopulation of Sca-1+c-kit+lin— and Sca-1+c-kit—lin— cells exists that expressed CD26, we then tested the CD26 peptidase activity of these populations of cells using the chromogenic substrate Gly-Pro-pNA. Based on the production of pNA by CD26 peptidase cleavage, it was shown that Sca-1+c-kit+lin— cells isolated from mBM possess CD26 peptidase activity equivalent to 207.97 U/1000 cells (1 U = 1 pmole pNA/minute). This is approximately the same as the 193.28 U/1000 cells peptidase activity recorded for Sca-1+c-kit—lin— mBM cells. These data establish that not only do Sca-1+c-kit+lin— and Sca-1+c-kit—lin— cells express the extracellular peptidase CD26 in an active form but that the activity may have the ability to significantly negatively regulate CXCL12 by N-terminal truncation.
Since the involvement of CD26 in normal HSC/HPC cell migration had never been previously examined in normal BM cells from human or mouse, in vitro chemotaxis assays were performed using sorted mouse Sca-1+c-kit+lin— and Sca-1+c-kit—lin— cells isolated from mBM in order to test the functional role of CD26. Comparison of Sca-1+c-kit+lin— cell migration induced by the normal CXCL12 to the truncated CXCL12(3-68), produced by DPPIV treatment, showed an inability of CXCL12(3-68) to induce chemotax. In addition, CXCL12(3-68) acts as an antagonist, resulting in the reduction of Sca-1+c-kit+lin— cell migratory response to normal CXCL12. Sca-1+c-kit—lin— cells also did not chemotaxis in response to the truncated CXCL12(3-68) and showed a reduction in CXCL12-stimulated chemotaxis after treatment with CXCL12(3-68). Similar studies using pretreatment of cells with normal CXCL12 have shown that the CXCR4 receptor can be desensitized, reducing subsequent treatments with CXCL12.2 The data presented here suggest that the N-terminal truncated form of CXCL12 has no chemotactic activity toward normal Sca-1+c-kit+lin— or Sca-1+c-kit—lin— mBM cells but still has the ability to bind the CXCR4 receptor and block migration of cells induced by the normal CXCL12.
Treatment of Sca-1+c-kit+lin— mBM cells with the CD26 inhibitor Diprotin A enhanced the migratory response of these cells. Treatment of Sca-1+c-kit—lin— cells with Diprotin A also enhanced the migratory response of these cells. These data collaborate observations previously made about the enhancement of CXCL12 migration in CD34+ cord blood cells.36 These in vitro observations also suggest that treatment with the CD26 inhibitor blocks the endogenous CD26 peptidase activity expressed on the surface of a subpopulation of these cells, resulting in a change in functional activity. Clearly, CD26 has the ability to negatively regulate CXCL12 signaling through the CXCR4 receptor in normal mouse HSCs/HPCs by cleaving local pools of CXCL12. Therefore, we propose that CD26 expressed on the surface of a subpopulation of HSCs/HPCs collectively has the ability to self-regulate its own cellular response to CXCL12 as well as the cellular response of surrounding HSCs/HPCs.
CXCL12 is believed to be an important chemokine involved in the homing/mobilization of HSCs/HPCs to and from the bone marrow.35,43,44 It has been proposed by others that direct degradation of CXCL12 by proteolytic enzymes, including neutrophil elastase and cathepsin G, may play a role in HSC/HPC mobilization.44 To test for potential in vivo relevance of CD26 cleavage of CXCL12 in the context of G-CSF–induced mobilization, mice were cotreated with CD26 inhibitors during G-CSF–induced mobilization. As previously noted by others,45,46 G-CSF–induced mobilization of HPCs in the absence of CD26 inhibitors in C57BL/6 mice was observed to be relatively poor compared with G-CSF mobilization in DBA/2 mice.
In order to make comparisons of inhibition of mobilization among mouse strains, data were expressed as a percentage of mobilization, with G-CSF alone equal to 100% for each strain. Treatment with either CD26 inhibitor alone (Diprotin A or Val-Pyr) was observed to have little or no effect on the mobilization of progenitors in either C57BL/6 or DBA/2 mice. However, cotreatment with Diprotin A during G-CSF mobilization resulted in a significant reduction in CFU-GMs, BFU-Es, and CFU-GEMMs in the peripheral blood. Treatment with a second CD26 inhibitor (Val-Pyr), at equivalent molar concentrations of Diprotin A used, during G-CSF–induced mobilization resulted in a significant reduction of CFU-GMs, BFU-Es, and CFU-GEMMs in the peripheral blood almost equivalent to that seen with Diprotin A cotreatment. The use of a second CD26 inhibitor during G-CSF–induced mobilization corroborates that the reduction in HPCs observed in the periphery as compared with the G-CSF regimen alone is the result of specifically inhibiting CD26 activity. This reduction in the number of progenitor cells mobilized suggests that a mechanism of action of G-CSF mobilization involves CD26. The percent reduction in HPCs mobilized during CD26 inhibitor cotreatment was greater in DBA/2 mice than C57BL/6 mice, possibly reflecting an increased role of CD26 in G-CSF mobilization in DBA/2 mice. An increased role of CD26 in the response of DBA/2 mice to G-CSF treatment compared with C57BL/6 mice has not been previously suggested by any other research group. However, linkage analysis studies have indirectly suggested that the difference in HPC mobilization observed between DBA/2 and C57BL/6 mice is due to genes located in a region on mouse chromosome 2 between genetic markers D2Mit8346 at 16.0 cM47 and D2Mit22946 at 99.0 cM.47 Interestingly, the mouse CD26 gene, Dpp4, is located on mouse chromosome 2 at 35.0 cM,47 which falls within this region suggested to be important by linkage analysis.46
CD26 cleavage of CXCL12 results in the formation of an N-terminal truncated CXCL12(3-68). This cleaved form of CXCL12 lacks migratory ability and inhibits the migratory ability of normal CXCL12. In this way, it is possible for CD26 expressed on a subpopulation of cells to inhibit the migration of all HSCs/HPCs within a local pool of cells. The process of CXCL12 cleavage by CD26 may represent a novel regulatory mechanism in hematopoietic stem cells for the migration, homing, and mobilization of these cells. We present here in vivo evidence that implicates CD26 in G-CSF–induced mobilization of HPCs. The intermediates that CD26 acts upon during G-CSF–induced mobilization are still not yet defined. It may be one or more chemokines with the appropriate N-terminal X-Pro or X-Ala motif, or it may be some other uninvestigated mechanism. Given that CXCL12 is thought to be important in HSC/HPC mobilization, it is possible that CXCL12 may be the downstream target of CD26 during G-CSF–induced mobilization. However, it is apparent that CD26 is actively involved in G-CSF–induced mobilization of HSCs/HPCs from the mouse BM.
Prepublished online as Blood First Edition Paper, February 6, 2003; DOI 10.1182/blood-2002-12-3893.
Supported by public health service grants R01 HL67384, R01 HL56416, and R01 DK53674 to H.E.B. K.W.C is supported by National Institutes of Health T32 Training Program DK07519 to H.E.B.
The publication costs of this article were defrayed in part by page charge payment. Therefore, and solely to indicate this fact, this article is hereby marked “advertisement” in accordance with 18 U.S.C. section 1734.







This feature is available to Subscribers Only
Sign In or Create an Account Close Modal