Abstract
The relationship between stem cell mobilization with granulocyte colony-stimulating factor (G-CSF) and the endogenous production of interleukin-8 (IL-8), macrophage inflammatory protein-1 (MIP-1), tumor necrosis factor- (TNF-), and interferon-γ (IFN-γ) was studied in normal donors for allogeneic peripheral blood stem cell (PBSC) transplantation. G-CSF was administered to 20 normal donors at a dose of 10 μg/kg/d for 5 days with aphereses on days 5 and 6 of G-CSF treatment. Cytokine serum levels were measured using an enzyme-linked immunosorbent assay (ELISA) before and during G-CSF treatment. Before treatment, the average level of IL-8 was 7.1 pg/mL, increasing to 207.0 pg/mL on day 5 and 189.1 pg/mL on day 6. Serum IL-8 levels correlated CD34+ cell numbers (P = .0151 and P = .0005 on days 5 and 6, respectively) and colony-forming unit–granulocyte-macrophage (CFU-GM) numbers (P = .0019 andP = .0010 on days 5 and 6, respectively). Furthermore, preapheresis serum IL-8 levels correlated with the yield of CD34+ cells (P = .0027). In contrast, before treatment, the average levels of MIP-1, TNF-, and IFN-γ were 70.1, 4.03, and 3.84 pg/mL, respectively, and no significant changes in the levels of these cytokines were observed during G-CSF treatment. These studies suggest that IL-8 production may be critical to G-CSF–induced stem cell mobilization, although the underlying mechanism could not be clarified.
GRANULOCYTE COLONY-stimulating factor (G-CSF) is increasingly used to mobilize hematopoietic progenitor cells from bone marrow to circulatory blood for stem cell rescue products.1 Studies on the kinetics of circulating progenitor cells mobilization have been critical to the development of successful G-CSF mobilization protocols.2-6 These studies have demonstrated that several hours after the initiation of G-CSF administration, a leukocytosis is usually evident; however, a substantial increase in circulating CD34+ cells and colony-forming unit–granulocyte-macrophage (CFU-GM) does not occur until day 4 or 5 of G-CSF treatment. In most patients, the peak of progenitor cell mobilization occurs on day 5 or 6 of G-CSF treatment. Based on the differences in kinetics between differentiated cells and hematopoietic progenitors, we hypothesized that endogenous cytokine-mediated regulation of hematopoiesis is involved in this delayed appearance of circulating progenitor cells.
One of the most logical cytokines to have such a mechanism is interleukin-8 (IL-8), a member of the CXC (α) family of chemokines. Bioactivities of IL-8 include neutrophil chemotaxis and activation and upregulation of integrin family adhesion molecules.7 In previous studies, we and others have found that integrins such as very late antigen-4 (VLA-4) and leukocyte functioning antigen-1 (LFA-1) are expressed on mobilized CD34+ cells and that their expressions are involved in progenitor cell mobilization.8-10 Although most of the IL-8 data concerning blood cell migration have been focused on mature neutrophils, it is still unclear whether similar mechanisms occur during progenitor cell mobilization from the marrow. Alternative cytokines that might be upregulated by G-CSF or granulocyte-macrophage colony-stimulating factor (GM-CSF) administration and contribute to mobilization include tumor necrosis factor-α (TNF-α), macrophage inflammatory protein-1α (MIP-1α) or MIP-1β (C-C chemokine), interferon-γ (IFN-γ), IL-1, stem cell factor (SCF), or Flt-3. TNF-α, MIP-1α, and IL-1 are members of a large family of cytokines that are secreted by activated macrophages, T cells, and/or fibroblast11,12 and are associated with inflammatory responses that might occur during cytokine mobilization.13These target cytokines, especially MIP-1α and IL-1, have previously been reported as stem cell mobilizing cytokines.14-17Similarly, IFN-γ is produced by T cells and has been shown to mediate the suppression of lymphocyte proliferation in response to antigens. IFN-γ also activates native mononuclear phagocytes to produce proinflammatory cytokines, which also may be involved in mobilization.18 SCF and Flt-3 are a family of the ligands for the receptor protein tyrosine kinase and share a significant degree of homology. Synergy between G-CSF and SCF or Flt-3 has also been shown in enhancement of peripheral blood stem cell (PBSC) mobilization, probably due to expansion of progenitor cells.19 20
To investigate the role of endogenous cytokine expression in G-CSF–induced progenitor cell mobilization, we examined the serum levels of these cytokines in healthy normal donors who received G-CSF for the harvest of PBSC.
MATERIALS AND METHODS
Donors, PBSC mobilization, and harvesting.
Twenty normal, healthy donors (median age, 30 years; range, 2 to 45 years) were evaluated in this study. All of the donors were related to the recipients, were in stable medical condition, and met eligibility criteria for PBSC donation. All donors or their parents provided written informed consent and the protocol was approved by the University Hospital of Tokushima ethics committee. Donors received G-CSF (filgrastim [N = 16] or lenograstim [N = 4]) subcutaneously at a dose of 10 μg/kg for 5 consecutive days and underwent apheresis with a Fenwall CS3000 Plus continuous cell separator (Baxter Healthcare Co, Irvine, CA) on days 5 and 6 of G-CSF treatment.
Two hundred to 300 mL/kg of donor’s body weight of blood for children or 10 L of blood for adults were processed at a time. Aphereses were repeated two to five times to collect a sufficient number of cells for transplantation.
Blood sampling.
Donor blood samples were obtained daily by venopuncture before and during G-CSF treatment and apheresis. Samples were withdrawn immediately before G-CSF injection or apheresis and centrifuged within three hours to obtain the serum. Serum was kept at −80°C until assayed.
IL-8, MIP-1α, TNF-α, and IFN-γ detection.
The serum cytokine levels measured in this study were IL-8, MIP-1α, TNF-α, and IFN-γ. The level of IL-8 was measured using a specific enzyme-linked immunosorbent assay (ELISA) kit (TFB, Inc, Tokyo, Japan) following the manufacturer’s instructions. The levels of MIP-1α, TNF-α, and IFN-γ were measured using an ELISA kit available from Amersham Life Science (Buckinghamshire, UK) following the manufacturer’s instructions. Each serum sample was analyzed in duplicate and the average value was used for calculation. Standard curves were prepared, plotting optical density versus known concentrations. The concentration of each cytokine in the unknown samples was determined from the respective standard curves. Samples with a cytokine concentration higher than the upper range value measured by the assay kit were diluted so that the concentration fell within the standard range. No cross-reactivity or interference by other cytokines was reported by the manufacturer. The minimum detectable concentrations are estimated to be 1.1 pg/mL for IL-8, 46.9 pg/mL for MIP-1α, 5.0 pg/mL for TNF-α, and 0.63 pg/mL for IFN-γ. In our studies, serum cytokine levels that were below detection were reported as 0 pg/mL.
CD34+ cell enumeration and in vitro progenitor cell assay.
One hundred microliters of mononuclear cell (MNC) suspension (3 × 106 cells/mL) were stained with a phycoerythrin (PE)-conjugated anti-CD34 monoclonal antibody (HPCA-2; Becton Dickinson Labware, Lincoln Park, NJ) for 30 minutes at 4°C in the dark and then analyzed by a FACScan flow cytometer (Becton Dickinson Immunocytometry Systems, San Jose, CA) after washing twice. Antimouse IgG1 conjugated with PE was used as a control. The percentage of the CD34+ cell population was calculated in an ungauged MNC population. Absolute numbers of CD34+ cells in 1 mL of blood were then calculated using the following formula: MNC count in 1 mL blood × the percentage of CD34+ cells in MNC. The MNC count was defined after Percoll separation.
For CFU-GM assay, MNC were cultured with 0.50 to 1 × 105/well in Iscove’s modified Dulbecco’s medium containing 0.8% methylcellulose, 20% fetal bovine serum (FBS), 450 μg/mL human transferrin, and 1% deionized bovine serum albumin. Recombinant human cytokines were added to cultures at various prescreened concentrations (200 ng/mL for SCF, 200 ng/mL for IL-3, 2 U/mL for erythropoietin, and 200 ng/mL for G-CSF). Quadruplicate cultures were plated in a volume of 0.4 mL in 24-well tissue culture plate and the average value was used for calculation. The plates were incubated at 37°C in a humidified atmosphere of 5% O2, 5% CO2, and 90% nitrogen for 14 days. Colonies were scored at 14 days of culture using an inverted microscope. Absolute numbers of CFU-GM in 1 mL of blood were then calculated using the following formula: MNC count in 1 mL blood × the number of CFU-GM in the well/the number of MNC plated in the well.
Statistical analysis.
The Student’s t-test was used to compare differences between baseline data and data collected during G-CSF treatment. Correlations between the value of serum IL-8 level and the number of CD34+ cells or CFU-GM were evaluated by Spearman’s rank correlation and P values were calculated with Fisher’s Z-conversion. Significance was considered P < .05.
RESULTS
Kinetics of IL-8, MIP-1α, TNF-α, and IFN-γ serum levels during G-CSF treatment.
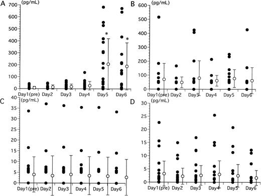
The average serum IL-8 levels increased from 7.1 ± 2.6 pg/mL (mean ± standard deviation) at baseline to a maximum of 207.0 ± 46.7 pg/mL on day 5 of G-CSF treatment (Fig 1). In addition, the serum IL-8 levels were significantly higher on days 5 and 6 of G-CSF treatment as compared with baseline and the levels observed on days 2 to 4 (P < .001). In contrast, before treatment, the average levels of MIP-1α, TNF-α, and IFN-γ were 70.1, 4.03, and 3.84 pg/mL, respectively. The peak average levels of MIP-1α and TNF-α were 79.0 pg/mL on day 3 and 4.58 pg/mL on day 3, respectively. The levels of IFN-γ decreased gradually during G-CSF treatment, with the lowest level of 1.76 pg/mL observed on day 6. However, these changes in secretion of MIP-1α, TNF-α, and IFN-γ were not statistically significant. The serum IL-8 values on days 5 and 6 correlated with the numbers of CD34+ cells (r = .529, P = .0151 for day 5 and r = .687, P = .0005 for day 6) and the numbers of CFU-GM (r = .637, P= .0019 for day 5 and r=0.664, P = .0010 for day 6) in the peripheral blood on days 5 and 6 (Fig2). In contrast, there was no relationship between the number of CD34+ cells and the MIP-1α, TNF-α, or IFN-γ levels (data not shown).
The kinetics of serum IL-8 (A), MIP-1 (B), TNF- (C), and IFN-γ (D) before and during G-CSF treatment. Each solid circle represents the value of a patient, and an open circle and bar is the mean ± standard deviation. The levels of serum IL-8 were significantly higher on days 5 and 6 of G-CSF treatment as compared with baseline and those on days 2 to 4 (P < .001). No significant change was observed in the kinetics of serum MIP-1, TNF-, or IFN-γ secretion. *P < .001.
The kinetics of serum IL-8 (A), MIP-1 (B), TNF- (C), and IFN-γ (D) before and during G-CSF treatment. Each solid circle represents the value of a patient, and an open circle and bar is the mean ± standard deviation. The levels of serum IL-8 were significantly higher on days 5 and 6 of G-CSF treatment as compared with baseline and those on days 2 to 4 (P < .001). No significant change was observed in the kinetics of serum MIP-1, TNF-, or IFN-γ secretion. *P < .001.
Correlation between the serum IL-8 values and the number of CD34+ cells or CFU-GM on days 5 and 6 of G-CSF treatment. (A) Serum IL-8 levels versus the number of CD34+ cells per milliliter on day 5. (B) Serum IL-8 levels versus the number of CFU-GM per milliliter on day 5. (C) Serum IL-8 levels versus the number of CD34+ cells per milliliter on day 6. (D) Serum IL-8 levels versus the number of CFU-GM per milliliter on day 6. The serum IL-8 level correlated with the number of circulating CD34+ cells or CFU-GM.
Correlation between the serum IL-8 values and the number of CD34+ cells or CFU-GM on days 5 and 6 of G-CSF treatment. (A) Serum IL-8 levels versus the number of CD34+ cells per milliliter on day 5. (B) Serum IL-8 levels versus the number of CFU-GM per milliliter on day 5. (C) Serum IL-8 levels versus the number of CD34+ cells per milliliter on day 6. (D) Serum IL-8 levels versus the number of CFU-GM per milliliter on day 6. The serum IL-8 level correlated with the number of circulating CD34+ cells or CFU-GM.
White blood cell (WBC) and progenitor cell kinetics during G-CSF treatment.
The median value of WBC numbers increased from 6,000/μL (range, 4,500 to 12,000/μL) at baseline to 34,300/μL (range, 8,600 to 57,300/μL) on day 5 of G-CSF treatment. Eighteen donors achieved WBC counts greater than 30, 000/μL. The remaining 2 donors had peak WBC values of 26,100 and 28,000/μL, respectively. The WBC median reached 27,500/μL (range, 19,800 to 38,500/μL) on the second day of G-CSF treatment and was greater than 30,000/μL on days 3 to 6 (Table 1). The median number of CD34+ cells in 1 mL of blood increased from 825 (range, 340 to 4,290) at baseline to the maximum number observed, ie, 27,331 (range, 3,200 to 184,000) on day 5. The increase of CD34+cells was maximal on day 5. The median number of CFU-GM in 1 mL of blood increased from 61 (range, 0 to 390) at baseline to 6,420 (range, 10 to 32,000) on day 6. There was no relationship between WBC count on days 5 and 6 and the numbers of CD34+ cells and CFU-GM in the blood on day 5 and 6 (Fig 3).
Correlation between peripheral WBC count and the number of CD34+ cells or CFU-GM on days 5 and 6 of G-CSF treatment. (A) WBC count versus the number of CD34+ cells per milliliter on day 5. (B) WBC count versus the number of CFU-GM per milliliter on day 5. (C) WBC count versus the number of CD34+ cells per milliliter on day 6. (D) WBC count versus the number of CFU-GM per milliliter on day 6. No significant correlation was observed.
Correlation between peripheral WBC count and the number of CD34+ cells or CFU-GM on days 5 and 6 of G-CSF treatment. (A) WBC count versus the number of CD34+ cells per milliliter on day 5. (B) WBC count versus the number of CFU-GM per milliliter on day 5. (C) WBC count versus the number of CD34+ cells per milliliter on day 6. (D) WBC count versus the number of CFU-GM per milliliter on day 6. No significant correlation was observed.
Progenitor cell yield and serum IL-8 levels.
All donors underwent apheresis and PBSC were collected on days 5 and 6 or later if the target CD34+ cell dose of 2.5 × 106/kg of recipient body weight was not achieved. The median number of apheresis was 3 (range, 2 to 5) and the median amount of processed blood was 27 L (range, 9.5 to 40 L). The median number of collected CD34+ cells and CFU-GM was 366.5 × 106 (range, 55 to 1,083 × 106) and 855 × 105 (range, 0 to 6,679 × 105), respectively. Because of donor variation, the number of progenitor cells that were collected was also calculated per liter of processed blood, and the median number of collected CD34+ cells per liter and CFU-GM per liter was 15.3 × 106 (range, 2.0 to 39.3 × 106) and 30.5 × 105 (range, 0 to 247.4 × 105), respectively. A significant correlation was observed between preapheresis serum IL-8 levels, ie, sampled immediately before the first apheresis on day 5, and the yield of CD34+ cells (r = .621, P = .0027; Fig4). In addition, there was a weak correlation between preapheresis serum IL-8 levels and the yield of CFU-GM (r = .468, P= .0366).
Correlation between the preapheresis serum IL-8 level and CD34+ cell yield (A) or CFU-GM yield (B). A significant correlation was observed between the preapheresis serum IL-8 level and CD34+ cell yield.
Correlation between the preapheresis serum IL-8 level and CD34+ cell yield (A) or CFU-GM yield (B). A significant correlation was observed between the preapheresis serum IL-8 level and CD34+ cell yield.
DISCUSSION
This study indirectly examined the involvement of endogenous IL-8 in G-CSF–induced progenitor cell mobilization from human marrow. The levels of IL-8 secretion increased significantly on days 5 and 6 of G-CSF treatment and correlated with the increased numbers of circulatory CD34+ cells and CFU-GM. Furthermore, there was a direct correlation between IL-8 levels and the numbers of circulatory CD34+ cells and CFU-GM per milliliter of blood on days 5 and 6 of G-CSF treatment. No similar correlation was found with other cytokines (MIP-1α, TNF-α, and IFN-γ), which suggests that the observed response was specific to IL-8 levels and is not due to nonspecific monocyte activation. Taken together, these results suggest that IL-8 may have a mechanistic role in mobilization and that a period of activation is needed for an increase in IL-8 levels and subsequent effects on circulatory stem cells. IL-8 is a well-known chemotactic agent for neutrophils, whose function is mediated by its effects on adhesion molecules, including L-selectin and β-integrins.21 The hypothesis that progenitor cell mobilization may be a consequence of an alternation in the expression of cellular adhesion molecules is supported by several studies.22 The same adhesion molecules found on neutrophils are also expressed on progenitor cells, and similar mechanisms of neutrophils and progenitor cell mobilization from the marrow occur.
Preclinical studies of IL-8’s effect on progenitor cell mobilization have shown that IL-8 is a powerful mobilizing agent in animals.23,24 The maximal effect of exogenous IL-8 on the number of circulating progenitors occurs from minutes to hours after its administration, before any proliferative effects have occurred.25 Based on these studies and our study, we speculate that increased IL-8 levels may trigger the migration of progenitor cells from the marrow to the circulation. A previous report demonstrated that the overproduction of IL-8 impaired neutrophil migration and prolonged vascular neutrophil circulation time.26 Thus, secreted IL-8 might also contribute to a prolonged intravascular progenitor cell circulation time. Alternatively, the increased endogenous IL-8 release may be the consequence of enhanced differentiation of committed progenitor cells. The mechanism of IL-8 induction and the cellular origin during G-CSF treatment were not examined in this study and are currently under investigation. Furthermore, the production of IL-8 in normal donors and patients treated with G-CSF and IL-8’s mechanistic role in progenitor cell mobilization should be confirmed.
In addition, the possibility of synergistic effects of G-CSF and IL-8 in progenitor cell mobilization awaits further investigation. Stem cell donors, particularly autologous donors who respond poorly to G-CSF administration, might have an increased frequency of mobilized progenitor cells with IL-8 administration. This is particularly important in the subset of patients from whom it is difficult to collect a sufficient number of progenitor cells for transplantation. Because of this problem, several cytokine combinations have been used with variable success to improve the progenitor cell yield.27,28 In addition, anti-integrin antibody has been used to enhance progenitor cell mobilization in mice and baboons.29 In this regard, it is noteworthy that high IL-8 secretion levels were not observed in our studies with donors who mobilized poorly. Thus, we speculate that serum IL-8 measurement may be useful to prospectively identify donors or patients who will mobilize poorly and subsequently lead to the use of more effective mobilization protocol, including higher dose of mobilizing cytokines, cytokine combination, or potentially the use of monoclonal antibodies directed against cell adhesion molecules. Based on these results, future strategies to improve the yield of progenitor cells from poor responders to G-CSF treatment could include the sequential administration of G-CSF and IL-8. Because the systemic administration of IL-8 did not induce hemodynamic and metabolic aberrations or acute organ damage in primate study,30 the addition of IL-8 or another α chemokine to a mobilization protocol might be indicated and should be considered.
In this study, as in other studies,31 a correlation between WBC count and the frequency of CD34+ cells or CFU-GM was not observed, and a high WBC count was not a prerequisite for an acceptable stem cell collection. In contrast, preapheresis serum IL-8 levels (those sampled immediately before the first apheresis on day 5 of G-CSF treatment) correlated with the yield of CD34+cells, suggesting that serum IL-8 measurement might provide an additional tool for defining the exact timing of PBSC harvest, supplementing the current technologies for measuring blood CD34+ cell levels that are accepted tools for predicting yields.32
In conclusion, our data demonstrate that the sharp increase in serum IL-8 levels that are present on days 5 and 6 of G-CSF treatment are correlated with the number of circulating progenitor cells (ie, CD34+ cells and CFU-GM). Although no underlying mechanism was studied, this suggests that the endogenous surge in the IL-8 level may be an important mechanism in progenitor cell mobilization and one mechanism for G-CSF–induced PBSC mobilization might be the enhanced exogenous IL-8 levels. To further characterize this possible mechanism of mobilization, we are currently investigating the combination effects of sequential administration of G-CSF and IL-8 on progenitor mobilization in mice. In these studies, the direct source and mechanism of IL-8 secretion during G-CSF treatment will also be investigated.
ACKNOWLEDGMENT
The authors thank Lisa Chudomelka for preparation of the manuscript and Toshiko Yasuda for excellent technical assistance.
The publication costs of this article were defrayed in part by page charge payment. This article must therefore be hereby marked “advertisement” in accordance with 18 U.S.C. section 1734 solely to indicate this fact.
REFERENCES
Author notes
Address reprint requests to Tsutomu Watanabe, MD, Department of Pediatrics, Tokushima University School of Medicine, Kuromoto-cho 3-18-15, Tokushima 770-8503, Japan; e-mail:twatanab@clin.med.tokushima-u.ac.jp.



