TO THE EDITOR:
The myelodysplastic syndromes (MDSs) is a group of blood cancers that originate in the hematopoietic stem cell compartment.1 Therapy-related MDS emerging after chemotherapy treatment of myeloma has been well described.2,3 This condition is considered to be associated with mutations caused by DNA damage induced by cytostatic drugs or by positive selection of premalignant clones.4-6 Epidemiological data from registries, however, also demonstrate an increased risk of development of MDS in patients with monoclonal gammopathy of undetermined significance (MGUS) who have not been treated, indicating a common biological pathway for the emergence of the 2 diseases.7,8 The association between MDS and clonal plasma-cell disorders (PCDs; ie, multiple myeloma [MM] and MGUS) is also supported by several case reports and series.9-13 Recent data have demonstrated that a proportion of patients with MM exhibit dysplastic features in the myeloid cell lineages at diagnosis and that these are associated with an inferior prognosis.14 It has been shown that T-cell lymphoma shares some of its recurrent mutations with MDS and the diseases may appear simultaneously, carrying the same mutations.15-17 In contrast, T-cell clones with the large granular lymphocyte phenotype commonly seen in MDS, seem not to share a comment genetic background.12,18,19 Similarly, we have reported that mature T cells are not part of the MDS clone.20 Several biological models of MDS and PCD have been proposed: one suggests a genetic lesion in the primitive stem cell that is then propagated to both myeloid cells and plasma cells. An alternative model suggests disturbances in the bone marrow microenvironment facilitating the emergence of independent clones that do not share a common genetic lesion.21 We report herein the clinical characteristics of patients with cooccurring MDS and PCD and the genetic profiles of isolated myeloid and plasma cell compartments.
Consecutive patients with MDS or mixed myelodysplastic syndrome/myeloproliferative neoplasms (MDS/MPN) and PCD diagnosed at the Karolinska University Hospital from 2008 through 2019 were included. Patients with therapy-related MDS secondary to MM treatment were excluded. Clinical data were obtained from patient records. All bone marrow aspirates and biopsy specimens were reviewed centrally. The study was approved by the local ethics committee. Research was conducted in accordance with the Declaration of Helsinki. Samples for DNA sequencing were collected at the time of MDS diagnosis or after MDS diagnosis, but before any disease-modifying treatment of MDS or PCD had been given. Both diseases were present at the time of sampling in all cases.
We included 27 patients with MDS and MM (n = 6), MGUS (n = 20), or plasmocytoma (n = 1) (Table 1). Most of the MDS and MDS/MPN subgroups were represented. Lower-risk MDS dominated the cohort, with only 3 patients belonging to the revised International Prognostic Scoring System (IPSS-R) high- and very-high-risk groups. Two of the patients with MM had smoldering MM. The M component of type IgG, IgA, and free light chain was seen in 15, 7, and 4 patients, respectively. In 5 patients, the diagnosis of MGUS preceded the diagnosis of MDS (median 40 months); in 1 patient, the MDS diagnosis preceded PCD by 26 months; and in 21 patients, MDS and PCD were diagnosed at the same time. Five of the patients with MM were diagnosed with MDS simultaneously, whereas the MDS preceded MM in 1 patient.
When characterized using targeted gene sequencing (n = 11) and whole-exome sequencing (WES; n = 13 prepared from myeloid cells; see supplemental Methods, available on the Blood Web site, and the description that follows), the most common mutations observed were TET2 (n = 9), SRSF2 (n = 6), and SF3B1 (n = 4; supplemental Figure 2). Median estimated survival after the MDS diagnosis was established was 44 months, with a median follow-up of 46 months (supplemental Figure 3). MDS-specific therapy consisted of erythropoietin (n = 15; response, 8), azacitidine (n = 4; marrow complete remission [CR], 2; stable disease [SD], 1; progressive disease [PD], 1). Myeloma-specific therapy consisted of bortezomib (n = 3; partial remission [PR], 1; CR/very good PR, 2) and lenalidomide (n = 3; SD, 1; PD, 1; data not available, 1). One patient with MM received high-dose melphalan and remained in CR for 30 months. One patient with del(5q) MDS and MM underwent allogeneic stem cell transplantation and was alive without relapse 9 months after transplantation. The survival was similar to what could be expected from the IPSS-R risk profile of the cohort.22
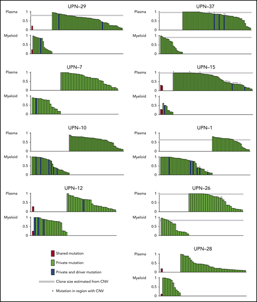
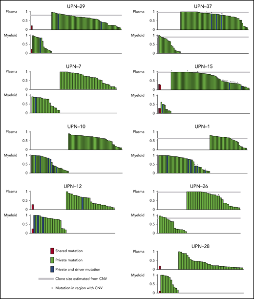
To perform WES on purified cells containing the MDS and PCD clone, we used fluorescence-activated cell sorting to purify myeloid (CD33+/CD19−/CD3−), plasma (CD38++/CD45dim/CD3−/CD19−), and T cells (CD45+/CD3+/CD56−) from vital frozen cells from 12 patients (supplemental Methods). WES libraries were generated from the xGen Exome Research Panel (Integrated DNA Technologies; supplemental Methods). Mutation calling was performed with Genomon2 pipeline v2.6, as previously described,23 using the paired sample mode where CD3+ T cells from the same marrow specimen were used as germline controls (supplemental Methods). In 3 patients, the DNA content of the plasma cell population was insufficient, and hence complete sequencing of all 3 cell populations was successfully performed in 9 patients. We observed a total of 194 and 445 mutations in the myeloid and plasma cell compartment, respectively (supplemental Table 1; supplemental Excel file). Thirty-five mutations found in the myeloid compartment were recurrent MDS mutations. We identified 5 mutations that could be traced in both the myeloid and plasma cell compartments (Figure 1). In all of these cases, the variant allele frequency (VAF) was significantly lower than the largest VAFs of other mutations in both compartments and therefore could not be considered to be potential founder mutations. Moreover, the copy number variation profiles of the myeloid and plasma cell compartments, as illustrated in supplemental Figure 4, did not overlap. A detailed list of all WES variants is available in the supplemental Excel file.
Estimated clone size of shared and private mutations observed in whole-exome sequencing. Putative driver mutations were variants reported in COSMIC or are protein truncating variants. No drivers were seen in shared mutations. Vertical axis shows copy number variation–adjusted clone size of the variants. Mutations in the copy number–altered region are marked with asterisks. COSMIC, Catalogue of Somatic Mutations in Cancer.
Estimated clone size of shared and private mutations observed in whole-exome sequencing. Putative driver mutations were variants reported in COSMIC or are protein truncating variants. No drivers were seen in shared mutations. Vertical axis shows copy number variation–adjusted clone size of the variants. Mutations in the copy number–altered region are marked with asterisks. COSMIC, Catalogue of Somatic Mutations in Cancer.
In summary, we did not find evidence of candidate founder mutations resulting in the emergence of both MDS and PCD. The genetic profiles of the sorted cell populations are fundamentally different, which argues that our sorting strategy successfully separated the different cell compartments. The few overlapping mutations observed have lower VAFs than the private mutations, and hence they cannot be considered founding mutations for both the MDSs and PCDs. Possible explanations for the overlapping mutations are sequencing errors or cell contamination during the sorting procedure. It should be noted, however, that because we have sequenced only exomes, we cannot exclude the possibility that there are common genetic events outside the exomes, something that could be investigated by whole-genome sequencing. Further, because we used T cells as reference DNA (germline control), we cannot rule out the possibility that a potential founding mutation is also present in the T cells and therefore would be filtered out. We have checked our WES data for common variants in genes known to be associated with clonal hematopoiesis but have not found evidence of any common driving mutations in these genes (data not shown). Hence, we believe that a common founder mutation including T cells is unlikely; to rule out this scenario, our experiment would have to be repeated using nonhematopoietic cells (eg, skin cells) as the germline control. The development of the 2 different diseases may be the result of a disturbed bone marrow niche that facilitates the emergence of both myeloid and plasma cell clones. A characterization of the bone marrow niche in these patients would be highly relevant.
Original data are available by e-mail request to the corresponding author.
The online version of this article contains a data supplement.
Acknowledgments
The authors thank Aleksandra Krstic (Department of Pathology, Karolinska University Hospital) for performing cell sorting and Eva Hellström-Lindberg (Karolinska Institute), for providing patient specimens.
Authorship
Contribution: M.K., C.G., and M.T. collected the clinical data; M.K. and I.D. performed the flow cytometry analyses; Y.N. and S.O. performed the sequencing; and all authors planned and designed the study, analyzed the data, and wrote, commented on, and approved the manuscript.
Conflicts-of-interest disclosure: The authors declare no competing financial interests.
Correspondence: Magnus Tobiasson, Karolinska University Hospital, Department of Hematology, 141 86 Stockholm, Sweden; e-mail: magnus.tobiasson@ki.se.
REFERENCES
Author notes
M.K. and Y.N. contributed equally to this study.
