Key Points
Activated NK cells loose CD16 (FcRγIII) and CD62L through a metalloprotease called ADAM17.
Inhibition of ADAM17 enhances CD16 mediated NK cell function by preserving CD16 on the NK cell surface to enhance ADCC.
Abstract
The Fc receptor CD16 is present on essentially all CD56dim peripheral blood natural killer (NK) cells. Upon recognition of antibody-coated cells it delivers a potent signal to NK cells, which eliminate targets through direct killing and cytokine production. Here we investigated the regulation of CD16 surface expression after NK cell activation. Cytokine activation and target cell stimulation led to marked decreases in CD16 expression. Activation of CD56dim NK cells by cross-linking CD16 with antibodies resulted in a loss of CD16 and CD62L, which correlated with increased interferon-γ production. A disintegrin and metalloprotease-17 (ADAM17) is shown to be expressed by NK cells, and its selective inhibition abrogated CD16 and CD62L shedding, and led to enhanced interferon-γ production, especially when triggering was delivered through CD16. Fc-induced production of cytokines by NK cells exposed to rituximab-coated B cell targets was also enhanced by ADAM17 inhibition. This supports an important role for targeting ADAM17 to prevent CD16 shedding and improve the efficacy of therapeutic antibodies. Our findings demonstrate that over-activation of ADAM17 in NK cells may be detrimental to their effector functions by down-regulating surface expression of CD16 and CD62L.
Introduction
Natural killer (NK) cells are defined by the expression of the cell adhesion marker CD56 and lack of the T-cell receptor CD3 (CD56+CD3−). NK cells can be divided into 2 functionally distinct subsets, CD56bright and CD56dim, based on the cell surface density of CD56.1 Comprising approximately 10% of circulating NK cells, CD56bright NK cells are generally thought to be more proliferative, to have a higher capacity for cytokine production after stimulation with IL-12 and IL-18, and to have poor cytotoxic effector activity at rest. CD56dim NK cells, however, are potently cytotoxic without stimulation, mediate antibody dependent cellular cytotoxicity of a disintegrin and metalloprotease-17 (ADCC), and produce cytokines after stimulation with target cells.
NK cell function is tightly controlled by a balance between activating and inhibitory signals.2,3 The process by which NK cells gain function is commonly referred to as NK cell education or licensing.4,5 It remains unclear when and how during development that NK cell education occurs, however, it has been shown that NK cell responsiveness can be influenced by the inhibitory input from the environment.6 Class I major histocompatibility complex molecules can educate NK cells via inhibitory receptors with variable efficiency, depending on the affinity of the alleles.6-10 Brodin et al8 demonstrated that the ability for NK cells to both degranulate and produce cytokines in response to stimulation by targets required stronger inhibitory input during education, and that a much higher signaling threshold is required for cytokine production.
CD16 (FCγRIII) binds to the Fc portion of IgG antibodies11 ; one type, CD16A, is a transmembrane protein that co-localizes with CD3ζ and Fc-εRI-γ on NK cells. Upon ligation, it induces a potent series of signals resulting in cytokine production and cytotoxic effector activity via ADCC. The second type, CD16B, is found on neutrophils. Although the extracellular domains are highly homologous, glycosylphosphatidylinositol linkage differentiates CD16B from CD16A. Most CD56bright NK cells in the peripheral blood express little to no CD16A. In contrast, the majority of CD56dim cells uniformly express high levels of CD16A. We, and others, have shown that down-regulation of CD16A occurs after mitogen stimulation and coculture with malignant targets, an effect that is presumably mediated by a metalloprotease.12-14 This process may be important for rapid modulation of the surface density of CD16A, and in turn the activation status and effector function of NK cells. Throughout this article, we will use the term CD16 to refer to CD16A on NK cells.
Ectodomain shedding is a proteolytic process that regulates the cell surface density of various cell surface molecules on leukocytes. ADAM17, originally referred to as tumor necrosis factor (TNF)-α-converting enzyme, or TACE,15,16 plays a broad role in ectodomain shedding, and is expressed by most cells, including leukocytes.17 ADAM17 is well characterized in neutrophils where it cleaves various effector molecules, including TNF-α, TNF receptor I, and TNF receptor II.18-20 ADAM17 also cleaves CD62L (l-selectin),21 a cell adhesion molecule expressed by most leukocyte subsets.22 In the current study, we evaluated the expression and function of ADAM17 in human NK cells where it affects the activation-induced decrease in surface expression and function of CD16.
Materials and methods
Donor sample isolation
Peripheral blood mononuclear cells (PBMCs) were isolated on a ficoll-hypaque gradient from healthy donors and CD56+CD3− NK cells were isolated by negative depletion using the NK Cell Isolation Kit immunomagnetic beads as described (Miltenyi Biotec) and purity was always ≥ 85%. Samples were obtained after informed consent in accordance with the Declaration of Helsinki and approval from the University of Minnesota Institutional Review Board.
Cell lines
The human erythroleukemia cell line K562 was maintained in Iscove's modified Dulbecco's medium supplemented with 10% fetal bovine serum (FBS), 100 U/mL penicillin, and 100 U/mL streptomycin (all from Invitrogen). The human Burkitt’s lymphoma cell line Raji was maintained in RPMI 1640 media (Invitrogen) supplemented with 10% FBS, 100 U/mL penicillin, and 100 U/mL streptomycin.
Antibodies
The following conjugated antibodies were used: Pacific Blue-conjugated CD2 (clone TS1/8; Biolegend), ECD-conjugated anti-CD3 (clone UCHT1; Beckman Coulter), Ag-presenting cell (APC)-Cy7-conjugated anti-CD16 (clone 3G8; Biolegend), PeCy7-conjugated anti-CD56 (clone HCD56; Biolegend), fluorescein isothiocyanate (FITC)-conjugated anti-CD57 (clone HNK-1; BD Biosciences), FITC-conjugated anti-CD62L (clone DREG-56; Biolegend), PeCy5.5-conjugated anti-CD158a (clone EB6; Beckman Coulter), APC-conjugated anti-CD158b (clone GL183; Beckman Coulter), Alexa Fluor 700-conjugated anti-CD158e (clone DX9; Biolegend), APC-conjugated anti-NKG2A (clone z199; Beckman Coulter), phycoerythrin (PE)-conjugated anti-NKG2C (clone 134591; R&D Systems), PE-conjugated anti-NKG2D (clone 1D11; Biolegend), FITC-conjugated anti-2B4 (clone 2-69; BD Biosciences), Alexa Fluor 647-conjugated anti-NKp30 (clone P30-15; Biolegend), PE-conjugated anti-NKp44 (clone P44-8; Biolegend), Pacific Blue-conjugated anti-NKp46 (clone 9E2; Biolegend), Alexa Fluor 647-conjugated anti-DNAM-1 (clone DX11; Biolegend), Pacific Blue-conjugated anti-interferon (IFN)-γ (clone 4S.B3; Biolegend), Alexa Fluor 647-conjugated anti-TNF-α (clone MAb11; Biolegend), biotin-conjugated goat anti-mouse IgG antibody (Jackson ImmunoResearch), and streptavidin-PE (Jackson ImmunoResearch).
The following purified antibodies were used: mouse IgG1 (clone MOPC-21), anti-CD2 (clone TS1/8; Biolegend), anti-CD16 (clone 3G8; Biolegend), anti-2B4 (clone C1.7; eBiosciences), anti-NKp46 (clone 9E2; Biolegend), anti-NKG2C (clone 134591; R&D Systems), anti-NKG2D (clone 1D11; Biolegend), anti-DNAM-1 (clone DX11; Biolegend), and anti-ADAM17 (clone 111608; R&D Systems). Flow cytometry assays were performed on a LSRII 11-color flow cytometer (BD Biosciences) and all data were analyzed with FlowJo 9.3.2 software (Tree Star).
Cytokine stimulation
PBMCs or purified NK cells (1 × 106/mL) were incubated overnight in RPMI 1640 containing 10% FBS alone, or in media containing 10 ng/mL IL-12, 100 ng/mL IL-18, 10 ng/mL IL-15 (R&D Systems), or 400 IU/mL IL-2 (Chiron) alone or in the combinations as indicated. Cells were stained with antibodies against extracellular antigens and were then fixed and permeabilized before intracellular staining to detect IFN-γ. A highly selective ADAM17 inhibitor (BMS566394) from Bristol-Myers Squibb (referred to as inhibitor 32)23 was used at a 10 μM concentration, as previously described,24 and was added to 1 × 106/mL purified NK cells 30 minutes before testing. We also used a specific ADAM17 inhibitory monoclonal antibody (D1[A12], 6 μg/mL) generated by phage display that contains individual antibody variable domains to 2 distinct ADAM17-specific epitopes25 to confirm ADAM17 specificity (kindly provided by Dr Gillian Murphy, University of Cambridge, UK).
Functional assays
Flat 96-well polystyrene microplates (R&D Systems) were pre-coated with 100 µL purified goat anti-mouse IgG and incubated at 37°C for 2 hours. The plates were washed twice with 200 µL phosphate-buffered saline (PBS). Then 100 µL of purified antibodies were added at 10 μg/mL and incubated overnight at 4°C. The plates were washed twice with 200 µL PBS and the antibodies were blocked with 100 µL RPMI 1640/10% FBS for 1 hour at 37°C. Purified NK cells (2 × 106/mL) were added to the plates or incubated in either RPMI 1640/10% FBS alone or with K562 cells in the absence of antibodies. For ADCC assays, 2 × 106/mL Raji cells were pre-coated with Rituximab (Genentech) at 10 µg/mL for 30 minutes. PerCP-Cy5.5-conjugated anti-CD107a (clone H4A3; Biolegend) or Pacific Blue-conjugated anti-CD107a (clone H4A3; Biolegend) were added to each condition and the cells were incubated for 1 hour at 37°C. Brefeldin and monensin (both from BD Biosciences) were added after 1 hour and the cells were incubated for an additional 4 hours. Cells were labeled with extracellular antibodies, fixed, permeabilized, stained for intracellular IFN-γ and TNF-α, and examined by flow cytometry. Where indicated, cells were initially pretreated for 30 minutes with the highly selective ADAM17 inhibitor BMS566394 optimized at 10 μM. To test ADCC after initial activation, cells were either incubated with 10 ng/mL IL-12 and 100 ng/mL IL-18 or with plate-bound anti-2B4, anti-2B4, and anti-NKp46, or anti-NKp46 and anti-NKG2D for 18 hours prior to incubation with Rituximab-coated Raji cells.
51Chromium-release assay
Purified NK cells were incubated at various E:T ratios (20:1 to 0.25:1) with 51 chromium (200 µCi) labeled Raji cells (5 × 103/mL) with or without preincubation with 10 ug/mL rituximab for 4 hours at 37°C. Supernatant (100 µL) was sampled and analyzed on a γ counter (Wizard 1470; PerkinElmer). Specific 51 Cr lysis was calculated using the equation: % specific lysis = 100 × (test release–spontaneous release)/(maximal release–spontaneous release). Where indicated, cells were initially pretreated for 30 minutes with the highly selective ADAM17 inhibitor BMS566394 optimized at 10 μM and/or incubated with 10 ng/mL IL-12 and 100 ng/mL IL-18 for 18 hours.
CD16 enzyme-linked immunosorbent assay
Purified NK cells (1 × 106 cells/mL) were stimulated with 1 µg/mL phorbol 12-myristate 13-acetate (PMA) or 10 ng/mL IL-12 and 100 ng/mL IL-18 for 1 or 6 hours in OPTI-MEM reduced serum free media (Invitrogen). Shorter activation time points were tested to reduce the levels of background CD16 and CD62L constitutively shed by untreated cells. Supernatants were collected and stored at −80°C. Soluble CD16 was measured by a sandwich enzyme-linked immunosorbent assay (ELISA) as previously described.26 Briefly, flat-bottom, 96-well polystyrene microplates were pre-coated with 100 µL of 10 µg/mL anti-CD16 (clone 3G8) diluted in PBS and incubated overnight at 4°C. Plates were washed with PBS containing 0.05% Tween-20 and blocked with 300 µL PBS containing 2% BSA at 37°C for 1 hour. After washing, 100 µL of samples and recombinant human CD16 (R&D systems) as a standard were added and incubated at room temperature for 2 hours. Plates were washed again and 100 µL of 0.5 µg/mL biotinylated anti-CD16 (clone DJ130c; AbD Serotec) was added to each well and incubated for 1 hour at room temperature. Plates were washed again and 100 µL of a 1:500 dilution of streptavidin-horseradish peroxidase (HRP; Biolegend) was added and incubated at room temperature for 1 hour in the dark. Plates were washed a final time and 100 µL tetramethyl benzidine/H2O2 was added followed by 50 µL H2SO4 to stop the reaction. Absorbance was read at 450 nm with correction at 570 nm using a microplate spectrophotometer (µQuant; Bio-Tek Instruments Inc.).
Statistical analysis
For comparisons between independent groups, the Student t test was used. For comparisons of matched samples, the paired t test was used. Variables are summarized with mean and standard error (mean ± standard error of the mean [SEM]). Statistical analyses were performed using SAS version 9.2 (SAS Institute, Cary, NC) and GraphPad software Version 5.0.
Results
Down-regulation of CD16 and CD62L surface expression after activation of NK cells
Activation of NK cells with PMA led to a rapid decrease in expression of CD16 (Figure 1A, left panels). A similar down-regulation of CD16 expression was seen after potent NK cell activation with IL-12 plus IL-18 or by exposure to K562 target cells (Figure 1A, middle and right panels). Loss of CD16 was associated with increased production of IFN-γ and up-regulation of CD107a, a marker of degranulation (Figure 1B). Other important regulators of NK cell function include IL-15, which is essential for NK cell development, homeostasis, proliferation, and survival,1,27,28 and IL-2, which is involved in their maturation and proliferation.29 To test the effect of these cytokines on CD16 expression, NK cells were incubated overnight in either media alone or in media with IL-12, IL-18, IL-15, or IL-2 alone, or in combination. IL-12 or IL-18 alone was a weak NK cell activator (as measured by CD69 induction) and did not result in decreased CD16 expression (supplemental Figure 1). Enhanced activation with IL-12 and IL-18 significantly decreased the percentage of CD16+ cells (83% ± 3.4% vs 56.8% ± 6.8%; P = .003). The addition of IL-15 led to a further decrease in CD16+ cells (46.6% ± 10.3%; P = .008) (Figure 1C). Upon removal of the cytokines, the level of CD16 expression returned to approximately 75% of baseline expression after 72 hours when compared with NK cells incubated in media alone (Figure 1D). The proportion of CD56bright and CD56dim NK cells expressing CD62L was also decreased after stimulation with IL-12 and IL-18 compared with media alone (CD56bright: 88.8% ± 3.6% vs 52.8% ± 4.7%; P = .003) (CD56dim: 28.4% ± 5.6% vs 18.7% ± 3.9%; P = .01) (Figure 1E). As with CD16, the addition of IL-15 caused further CD62L down-regulation that was most apparent on CD56bright NK cells. Stimulation with IL-15 and IL-2 alone resulted in a modest decrease in CD62L expression in CD56bright NK cells, an effect that was not observed in CD56dim NK cells (Figure 1E). Finally, production of IFN-γ was measured after cytokine stimulation. As expected, IFN-γ production increased after stimulation with IL-12 and IL-18, and the addition of IL-15 enhanced this further in CD56dim cells (Figure 1F). The surface expression of many other NK receptors, including NKp30, NKp44, NKp46, 2B4, CD2, DNAM-1, NKG2A, NKG2C, NKG2D, CD158a, CD158b, KIR3DL1, and CD57, was not down-regulated after stimulation with the various cytokine combinations (data not shown). This demonstrates the specificity of the stimulation-induced decreases in expression of CD16 and CD62L.
Down-regulation of CD16 and CD62L surface expression upon cytokine stimulation. (A) Representative fluorescence-activated cell sorter plot of CD16 expression before and after activation with PMA for 1 hour, with IL-12 and IL-18 overnight, or with the class I negative cell line K562 for 5 hours. (B) Representative fluorescence-activated cell sorter plot of CD16 expression before and after activation. CD16 expression was measured on CD56dim NK cells after incubation in either media alone, IL-12 and IL-18, or with the cell line K562. NK cell activation was determined by expression of CD107a and production of IFN-γ. (C) PBMCs from healthy donors were incubated in either media alone, IL-12 and IL-18 ± IL-15, IL-15 or IL-2 (n = 5). CD16 surface expression was measured on CD56dim NK cells. Bars represent the mean ± SEM. The percentage of NK cells expressing CD16 after cytokine treatment was compared with cells treated with media alone using the paired t test. Statistical significance is indicated as: *P ≤ .05; **P < .01; ***P < .001. (D) Purified NK cells were incubated in either media alone (white bar) or with IL-12 and IL-18 for 18 hours. Cells were washed, incubated in media alone, and CD16 expression was measured at 0, 24, 48, and 72 hours after IL-12 and IL-18 stimulation. Bars represent the mean ± SEM. CD16 expression after IL-12 and IL-18 stimulation was compared with media alone using the Student t test. Statistical significance is indicated as: *P ≤ .05; **P < .01. (E) CD62L expression was measured on CD56bright (left panel) and CD56dim (right panel) NK cells. (F) Intracellular IFN-γ production by CD56bright (left panel) and CD56dim (right panel) NK cells was measured by flow cytometry.
Down-regulation of CD16 and CD62L surface expression upon cytokine stimulation. (A) Representative fluorescence-activated cell sorter plot of CD16 expression before and after activation with PMA for 1 hour, with IL-12 and IL-18 overnight, or with the class I negative cell line K562 for 5 hours. (B) Representative fluorescence-activated cell sorter plot of CD16 expression before and after activation. CD16 expression was measured on CD56dim NK cells after incubation in either media alone, IL-12 and IL-18, or with the cell line K562. NK cell activation was determined by expression of CD107a and production of IFN-γ. (C) PBMCs from healthy donors were incubated in either media alone, IL-12 and IL-18 ± IL-15, IL-15 or IL-2 (n = 5). CD16 surface expression was measured on CD56dim NK cells. Bars represent the mean ± SEM. The percentage of NK cells expressing CD16 after cytokine treatment was compared with cells treated with media alone using the paired t test. Statistical significance is indicated as: *P ≤ .05; **P < .01; ***P < .001. (D) Purified NK cells were incubated in either media alone (white bar) or with IL-12 and IL-18 for 18 hours. Cells were washed, incubated in media alone, and CD16 expression was measured at 0, 24, 48, and 72 hours after IL-12 and IL-18 stimulation. Bars represent the mean ± SEM. CD16 expression after IL-12 and IL-18 stimulation was compared with media alone using the Student t test. Statistical significance is indicated as: *P ≤ .05; **P < .01. (E) CD62L expression was measured on CD56bright (left panel) and CD56dim (right panel) NK cells. (F) Intracellular IFN-γ production by CD56bright (left panel) and CD56dim (right panel) NK cells was measured by flow cytometry.
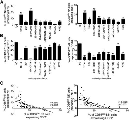
Next we tested the ability of antibody cross-linking of various activating receptors to down-regulate surface expression of CD16 and CD62L. Using combinations of cross-linking antibodies reported by Bryceson et al,30 we observed the expected activation through CD16 and the corresponding up-regulation in intracellular IFN-γ and TNF-α production. Coactivation with anti-2B4 enhanced their production (Figure 2A). Antibody cross-linking of other activating receptors alone (supplemental Figure 2A), in combination or after stimulation with K562 also induced IFN-γ and TNF-α production (Figure 2A). NK cell activation was associated with variable decreases in levels of CD16 (Figure 2B, left; supplemental Figure 2B). It should be noted that our ability to definitively measure the surface levels of CD16 in this experiment could be hampered by potential epitope interference after antibody cross-linking of CD16 (eg, via cross-blocking and/or conformational changes). However, a significant down-regulation of CD62L expression was also observed after cross-linking CD16 (Figure 2B, right), which also indicates induction of ectodomain shedding. The proportion of IFN-γ and TNF-α-producing NK cells inversely correlated with cell surface expression of CD62L, establishing a correlation between the amplitude of NK cell activation and the level of CD62L (Figure 2C) and CD16 down-regulation (not shown). It is possible that CD16 may be internalized following its cross-linking; however, immunoblot analysis revealed little cell-associated CD16 when compared with NK cells treated with an isotype control antibody, suggesting minimal internalization of CD16 (supplemental Figure 2C).
Down-regulation of CD16 and CD62L surface expression upon activating receptor cross-linking. (A-B) Purified NK cells (n = 7) were cross-linked with plates adsorbed with IgG or antibodies to CD16, 2B4, 2B4, and CD16, 2B4 and NKp46, 2B4 and DNAM-1, NKG2D and NKp46, NKp46 and CD2, or NKG2C. Purified NK cells were also stimulated with K562 cells. Intracellular IFN-γ (A, left panel), TNF-α production (A, right panel) and surface expression of CD16 (B, left panel), and CD62L (B, right panel) were measured after 5 hours. NE, not evaluable. Bars represent mean ± SEM. Cytokine production and percentage of CD16 and CD62L expression were compared with the isotype control using the paired t test. Statistical significance is indicated as: *P ≤ .05; **P < .01; ***P < .001. (C) The percentages of CD56dim NK cells producing IFN-γ (left panel) or TNF-α (right panel) after cross-linking with plate bound antibodies were plotted against the percentage of CD62L expression. Each point represents an individual result against 1 activating receptor. The estimated regression line is shown with the r value and significance based on the Pearson correlation coefficient. Significance is calculated as P < .05.
Down-regulation of CD16 and CD62L surface expression upon activating receptor cross-linking. (A-B) Purified NK cells (n = 7) were cross-linked with plates adsorbed with IgG or antibodies to CD16, 2B4, 2B4, and CD16, 2B4 and NKp46, 2B4 and DNAM-1, NKG2D and NKp46, NKp46 and CD2, or NKG2C. Purified NK cells were also stimulated with K562 cells. Intracellular IFN-γ (A, left panel), TNF-α production (A, right panel) and surface expression of CD16 (B, left panel), and CD62L (B, right panel) were measured after 5 hours. NE, not evaluable. Bars represent mean ± SEM. Cytokine production and percentage of CD16 and CD62L expression were compared with the isotype control using the paired t test. Statistical significance is indicated as: *P ≤ .05; **P < .01; ***P < .001. (C) The percentages of CD56dim NK cells producing IFN-γ (left panel) or TNF-α (right panel) after cross-linking with plate bound antibodies were plotted against the percentage of CD62L expression. Each point represents an individual result against 1 activating receptor. The estimated regression line is shown with the r value and significance based on the Pearson correlation coefficient. Significance is calculated as P < .05.
ADAM17 is expressed on NK cells and leads to loss of CD16 and CD62L
ADAM17 has been shown to mediate the shedding of CD62L,21 as well as various other molecules.31 Thus, we hypothesized that ADAM17 may be an important effector protease to regulate the surface density of CD16 and CD62L in NK cells. We assessed the relative surface expression levels of ADAM17 on freshly isolated NK cells, NK T cells (CD56+CD3+), and T cells (CD56−CD3+) from healthy donors by flow cytometry. Although bulk NK cells uniformly express ADAM17 (Figure 3A), CD56dim cells express significantly higher levels than CD56bright cells. Compared with bulk NK cells, ADAM17 expression was similar in NK T cells, but significantly less in T cells (Figure 3B).
NK cells express ADAM17. Surface expression of ADAM17 was assessed on different lymphocyte subsets. (A) ADAM17 expression was measured on CD56+CD3- NK cells from 4 healthy donors. (B) ADAM17 mean fluorescent intensity (MFI) was compared between CD56bright, CD56dim, CD3+CD56+ and CD3+CD56-lymphocytes (n = 4). Bars represent mean ± SEM. Subsets were compared with total NK cells using the paired t test. Statistical significance is indicated as: *P ≤ .05; **P < .01; ***P < .001. NS, nonsignificant.
NK cells express ADAM17. Surface expression of ADAM17 was assessed on different lymphocyte subsets. (A) ADAM17 expression was measured on CD56+CD3- NK cells from 4 healthy donors. (B) ADAM17 mean fluorescent intensity (MFI) was compared between CD56bright, CD56dim, CD3+CD56+ and CD3+CD56-lymphocytes (n = 4). Bars represent mean ± SEM. Subsets were compared with total NK cells using the paired t test. Statistical significance is indicated as: *P ≤ .05; **P < .01; ***P < .001. NS, nonsignificant.
To determine whether ADAM17 plays a role in the shedding of CD16, NK cells were treated with the highly selective ADAM17 inhibitor BMS56639423 followed by stimulation with IL-12 and IL-18. The ADAM17 inhibitor greatly attenuated the down-regulation of CD16 surface expression, as indicated by a restoration of both the frequency of CD16+ NK cells and the level of CD16 surface expression (Figure 4A). The expression of CD62L was also maintained on CD56bright and CD56dim NK cells in the presence of BMS566394 after stimulation with IL-12 and IL-18, further confirming the role of ADAM17 in affecting receptor expression after NK cell activation (Figure 4B). The ADAM17 inhibitor had no effect on the ability of cytokine-stimulated NK cells to produce IFN-γ (Figure 4C), indicating that BMS566394 did not inhibit the down-regulation of CD16 and CD62L by blocking cell activation. To further establish the role of ADAM17 in CD16 and CD62L shedding after IL-12 and IL-18 stimulation, we used a specific ADAM17 inhibitory monoclonal antibody generated by phage display that contains individual antibody variable domains to 2 distinct ADAM17-specific epitopes.25,32 This antibody effectively blocked CD16 down-regulation (Figure 4D), further demonstrating that ADAM17 cleaves CD16 on the cell surface of NK cells. Moreover, the level of inhibition of CD16 shedding by the ADAM17 inhibitor and antibody were equivalent, indicating that the inhibitor did not block additional sheddases (Figure 4D).
A selective inhibition of ADAM17 reduces cytokine-induced shedding of CD16 and CD62L. Purified NK cells (n = 8) were incubated overnight in either media alone or with IL-12 and IL-18, with (white bars) or without (black bars) the addition of BMS566394 (10 μM). The percentage of CD16-positive cells (left) and mean fluorescent intensity (MFI) (right) was determined for CD56dim NK cells (A), the percentage of CD62L-expressing cells was determined for CD56bright (left) and CD56dim (right) NK cells (B), and intracellular IFN-γ levels for CD56dim NK cells was measured by flow cytometry (C). Bars represent mean ± SEM. NK cells were compared with NK cells incubated with BMS566394 using the paired t test. (D) Purified NK cells (n = 4) were incubated overnight in either media alone (light gray bars) or with IL-12 and IL-18 (dark gray bars), in the presence of the BMS566394 (ADAM17 inhibitor) (10 μM) or D1(A12) (ADAM17 inhibitory antibody) (6 μg/mL). Bars represent mean ± SEM of CD56dim NK cells expressing CD16 at baseline or with cytokine activation with or without the ADAM17 inhibition method indicated on the x-axis. NK cells incubated in media alone were compared with NK cells incubated with IL-12 and IL-18 using the paired t test. Statistical significance is indicated as: *P ≤ .05; **P < .01; ***P < .001.
A selective inhibition of ADAM17 reduces cytokine-induced shedding of CD16 and CD62L. Purified NK cells (n = 8) were incubated overnight in either media alone or with IL-12 and IL-18, with (white bars) or without (black bars) the addition of BMS566394 (10 μM). The percentage of CD16-positive cells (left) and mean fluorescent intensity (MFI) (right) was determined for CD56dim NK cells (A), the percentage of CD62L-expressing cells was determined for CD56bright (left) and CD56dim (right) NK cells (B), and intracellular IFN-γ levels for CD56dim NK cells was measured by flow cytometry (C). Bars represent mean ± SEM. NK cells were compared with NK cells incubated with BMS566394 using the paired t test. (D) Purified NK cells (n = 4) were incubated overnight in either media alone (light gray bars) or with IL-12 and IL-18 (dark gray bars), in the presence of the BMS566394 (ADAM17 inhibitor) (10 μM) or D1(A12) (ADAM17 inhibitory antibody) (6 μg/mL). Bars represent mean ± SEM of CD56dim NK cells expressing CD16 at baseline or with cytokine activation with or without the ADAM17 inhibition method indicated on the x-axis. NK cells incubated in media alone were compared with NK cells incubated with IL-12 and IL-18 using the paired t test. Statistical significance is indicated as: *P ≤ .05; **P < .01; ***P < .001.
We also developed a sandwich ELISA to evaluate the production of soluble CD16 by activated NK cells. Increases in soluble CD16 were rapidly detected by 1 hour after NK cell stimulation with PMA or IL-12 and IL-18 (Figure 5), which increased further after 6 hours of stimulation. Moreover, BMS566394 abrogated the release of soluble CD16 induced by NK cell stimulation.
Inhibition of ADAM17 reduces soluble CD16 production. Soluble CD16 was measured in the supernatant after incubation in either media alone, with 1 μg/mL PMA or with IL-12 (10 ng/mL) + IL-18 (100 ng/mL) for 1 (upper panel) or 6 hours (lower panel) in the presence or absence of 10 μM ADAM17 inhibitor (n = 4). Bars represent mean ± SEM. Activated NK cells were compared with resting NK cells using the paired t test. NK cells incubated without ADAM17 inhibitor were compared with NK cells incubated with ADAM17 inhibitor, using the paired t test. Statistical significance is indicated as: *P ≤ .05.
Inhibition of ADAM17 reduces soluble CD16 production. Soluble CD16 was measured in the supernatant after incubation in either media alone, with 1 μg/mL PMA or with IL-12 (10 ng/mL) + IL-18 (100 ng/mL) for 1 (upper panel) or 6 hours (lower panel) in the presence or absence of 10 μM ADAM17 inhibitor (n = 4). Bars represent mean ± SEM. Activated NK cells were compared with resting NK cells using the paired t test. NK cells incubated without ADAM17 inhibitor were compared with NK cells incubated with ADAM17 inhibitor, using the paired t test. Statistical significance is indicated as: *P ≤ .05.
Inhibition of ADAM17 with BMS566394 also reduced shedding of CD16 and CD62L from NK cells after antibody cross-linking of various cell surface receptors or stimulation by K562 (Figure 6A-B). After cross-linking with CD16 the frequency of NK cells expressing IFN-γ was higher in the presence of the ADAM17 inhibitor (28.1 ± 4.6% vs 19.3% ± 4.8%; P = .0064) (Figure 6C). This result is consistent with the maintenance of CD16 on the cell surface. Intracellular TNF-α levels also trended higher in NK cells after CD16 cross-linking in the presence of the ADAM17 inhibitor (Figure 6D). Importantly, the inhibition of ADAM17 had no effect on cytokine production when the activating stimuli involved antibody cross-linking of NKp46 or 2B4 or exposure to K562 cells, as CD16 is not engaged by these stimuli. Taken together, the findings previously described indicate that inhibition of ADAM17 impairs ectodomain shedding of CD16 and CD62L, and increases NK cell stimulation via CD16 engagement.
Inhibition of ADAM17 reduces antibody cross-linking induced shedding of CD16 and CD62L, and increases IFN-γ production by CD16 signaling. Purified NK cells (n = 8) were cross-linked with plate bound anti-immunoglobulin, -CD16, -2B4, and -NKp46, and with K562 cells in the presence of 10 μM ADAM 17 inhibitor (white bars) or no inhibitor (black bars). After 5 hours incubation surface expression of CD16 (A), CD62L (B) intracellular IFN-γ (C, left panel) and intracellular TNF-α (D) was measured. Bars represent mean ± SEM. NK cells incubated without ADAM17 inhibitor were compared with NK cells incubated with ADAM17 inhibitor using the paired t test. Statistical significance is indicated as: *P ≤ .05; **P < .01; ***P < .001.
Inhibition of ADAM17 reduces antibody cross-linking induced shedding of CD16 and CD62L, and increases IFN-γ production by CD16 signaling. Purified NK cells (n = 8) were cross-linked with plate bound anti-immunoglobulin, -CD16, -2B4, and -NKp46, and with K562 cells in the presence of 10 μM ADAM 17 inhibitor (white bars) or no inhibitor (black bars). After 5 hours incubation surface expression of CD16 (A), CD62L (B) intracellular IFN-γ (C, left panel) and intracellular TNF-α (D) was measured. Bars represent mean ± SEM. NK cells incubated without ADAM17 inhibitor were compared with NK cells incubated with ADAM17 inhibitor using the paired t test. Statistical significance is indicated as: *P ≤ .05; **P < .01; ***P < .001.
ADAM17 inhibition increases NK cell cytokine production after antibody-mediated recognition of targets
CD16-mediated activation of NK cells is a potent signal for inducing ADCC and is a major mechanism of anti-tumor efficacy by therapeutic antibodies to tumor antigens. Rituximab and trastuzumab, for example, have significantly improved the outcome for patients with CD20-expressing lymphomas or with Her2-expressing breast cancers, respectively.33-36 Therefore, shedding of CD16 may limit the efficacy of antibody therapy that involves ADCC. To test this hypothesis, the human CD20-positive Burkitt’s lymphoma cell line Raji was pre-coated with rituximab and incubated with purified NK cells for 5 hours in the presence or absence of BMS566394. Inhibition of ADAM17 significantly attenuated shedding of both CD16 and CD62L from NK cells after incubation with rituximab-coated Raji cells (Figure 7A). ADAM17 inhibition significantly increased intracellular levels of IFN-γ and TNF-α (Figure 7B). CD107a expression was marginally, but significantly increased, as well upon ADAM17 inhibition; however, this treatment did not significantly increase specific lysis of rituximab-coated target cells even at multiple effector:target (E:T) ratios (only E:T 2:1 shown). These differences may be explained by the kinetics of CD16 loss and/or that direct cytotoxicity that requires a lower threshold of signaling compared with cytokine production.37,38 To better resolve these possibilities, we designed experiments to test NK cell-mediated function after CD16 expression has been partially down-regulated from the surface after overnight stimulation with IL-12 and IL-18. This allowed evaluation of whether CD16 clipping results in diminished cytokine production, degranulation, or direct ADCC (Figure 7C). CD16 clipping was blocked by the ADAM17 inhibitor. After overnight stimulation, the percentage of NK cells expressing CD16 was greatly decreased in the absence of the inhibitor (51.6% vs 93.6%). Both intracellular IFN-γ and TNF-α, as well as CD107a expression, was significantly reduced after incubation with Raji cells pre-incubated with Rituximab when the NK cells were stimulated the night before with IL-12 and IL-18 in the absence of ADAM17 inhibitor. With ADAM17 inhibition, cytokine production was greater than degranulation or ADCC, consistent with differing thresholds of CD16 signaling. Therefore, these results suggest that preserving high CD16 density is more important for cytokine production than direct cytotoxicity through ADCC.
ADAM17 inhibition increases cytokine production upon NK cell stimulation by antibody-coated target cells. Purified NK cells (n = 11) were incubated in media alone, with the HLA class I expressing B cell line Raji, or with Raji cells pre-incubated with 10 µg/mL rituximab at a 2:1 E:T ratio. (A) CD16 and CD62L were measured after the 5-hour assay. (B) Corresponding function for intracellular IFN-γ, TNF-α, CD107a expression, and direct ADCC is shown. Bars represent mean ± SEM. NK cells incubated without ADAM17 inhibitor were compared with NK cells incubated with ADAM17 inhibitor using the paired t test. Statistical significance is indicated as: *P ≤ .05; **P < .01; ***P < .001. (C) To test function after partial CD16 loss, purified NK cells (n = 4) were incubated with and without ADAM17 inhibitor, along with IL-12 and IL-18 activation overnight. NK cells were then tested against Raji cells in the presence of 10 µg/mL rituximab. Intracellular IFN-γ, TNF-α, CD107a expression, and ADCC were then measured. Bars represent mean ± SEM. (D) Purified NK cells (n = 5) pre-incubated with and without ADAM17 were cross-linked with plates adsorbed with antibodies directed to 2B4, 2B4 and NKp46, NKp46, and NKG2D overnight. CD16 expression was measured (left panel) prior to incubation with Raji cells coated with 10 μg/mL rituximab. Intracellular cytokine production (middle panels) and CD107a expression (right panel) were measured after 5 hours incubation with rituximab-coated Raji cells. Bars represent mean ± SEM. Statistical significance is indicated as: *P ≤ .05; **P < .01; ***P < .001.
ADAM17 inhibition increases cytokine production upon NK cell stimulation by antibody-coated target cells. Purified NK cells (n = 11) were incubated in media alone, with the HLA class I expressing B cell line Raji, or with Raji cells pre-incubated with 10 µg/mL rituximab at a 2:1 E:T ratio. (A) CD16 and CD62L were measured after the 5-hour assay. (B) Corresponding function for intracellular IFN-γ, TNF-α, CD107a expression, and direct ADCC is shown. Bars represent mean ± SEM. NK cells incubated without ADAM17 inhibitor were compared with NK cells incubated with ADAM17 inhibitor using the paired t test. Statistical significance is indicated as: *P ≤ .05; **P < .01; ***P < .001. (C) To test function after partial CD16 loss, purified NK cells (n = 4) were incubated with and without ADAM17 inhibitor, along with IL-12 and IL-18 activation overnight. NK cells were then tested against Raji cells in the presence of 10 µg/mL rituximab. Intracellular IFN-γ, TNF-α, CD107a expression, and ADCC were then measured. Bars represent mean ± SEM. (D) Purified NK cells (n = 5) pre-incubated with and without ADAM17 were cross-linked with plates adsorbed with antibodies directed to 2B4, 2B4 and NKp46, NKp46, and NKG2D overnight. CD16 expression was measured (left panel) prior to incubation with Raji cells coated with 10 μg/mL rituximab. Intracellular cytokine production (middle panels) and CD107a expression (right panel) were measured after 5 hours incubation with rituximab-coated Raji cells. Bars represent mean ± SEM. Statistical significance is indicated as: *P ≤ .05; **P < .01; ***P < .001.
As CD16 is also shed from the surface of NK cells after activation through antibody cross-linking of activating receptors, NK cells may also be impaired in their ability to mediate subsequent ADCC similar to what was observed after preactivation with IL-12 and IL-18. To assess this, purified NK cells were preactivated with either plate-bound anti-2B4, anti-2B4 combined with anti-NKp46, or anti-NKp46 combined with anti-NKG2D, to partially cleave CD16 prior to incubation with rituximab coated Raji (Figure 7D). In the absence of the ADAM17 inhibitor, CD16 expression was significantly decreased after overnight activation. This partial reduction in CD16 expression resulted in a significant decrease in both intracellular cytokine production and expression of CD107a degranulation after a secondary ADCC assay. Collectively, these results suggest that prior NK cell activation, either through cytokines or receptor cross-linking, results in partial loss of CD16 and diminished ADCC function to subsequent antibody-coated targets.
Discussion
NK cells are highly efficient at killing and producing cytokines without prior antigen sensitization. The functional response of NK cells is tightly regulated by a balance of activation and inhibitory signals and by their educational status.3,39 We, and others, have previously shown that PMA activation and exposure to tumor targets causes metalloproteinase-mediated down-regulation of CD16 on NK cells.12,13 Here we report for the first time that human NK cells express ADAM17 and that this protease mediates activation-induced shedding of CD16 and CD62L. Although all NK cells were found to express ADAM17, the expression was highest in CD56dim cells, with lower expression in CD56bright cells, and even less in T cells. NK cell activation induced by PMA, cytokine exposure, cross-linking of activating receptors or exposure to K562 target cells resulted in decreased expression of CD16 on the cell surface and increased levels of the soluble receptor, both of which were blocked by the selective ADAM17 inhibitor BMS566394. This mechanism has been difficult to study in the mouse because CD16 is not shed and is therefore human specific.32 Although little is known how ADAM17 directly interacts with its various substrates in resting (constitutive shedding) and activated cells, our data suggests a role for ADAM17 in the cleavage of CD16 and regulating NK cell function mediated through ADCC.
In contrast to many NK cell-activating receptors that require costimulation, ligation of CD16 alone provides a potent signal to induce cytokines.30 Because costimulation with other receptors enhances its strong activating signal, shedding of CD16 may be a regulatory mechanism by which NK cell activity is controlled to prevent auto-aggressiveness or activation-induced cell death. The majority of soluble CD16 in human blood is derived from neutrophils, which express the glycosylphosphatidylinositol-linked protein CD16B. We have determined that CD16B shedding from neutrophils also requires ADAM17.32 The cleaved portion of the receptor may be involved in removing excess free antibody during antibody-mediated responses. In neutrophils, cleaved CD16B can bind to: complement receptors (CR3 and CR4) to induce monocyte production of IL-6 and IL-8,40 B cells to suppress antibody production,41 and dendritic cells to induce maturation.42 Further studies are required to determine the exact role of soluble CD16 cleaved from NK cells. Sabry et al43 described shedding of CD16 after stimulation of NK cells with a leukemic cell line, CTV-1. They hypothesized that shedding of CD16 might enable CD3ζ, which dimerizes with CD16, to associate with CD2. Under normal homeostatic conditions, CD2 is not complexed with CD3ζ, which is required for its signaling. Thus, CD16 shedding may be important not only to dampen CD16-mediated activity, but also to modulate other NK cell effector functions.
Here we demonstrate that ADAM17, which leads to cleavage of CD62L in lymphocytes and neutrophils,21 also performs this function in NK cells. In murine models of inflammation or bone marrow transplantation, NK cells home to lymph nodes and other tissues in a CD62L-dependent manner.44,45 It is not currently known what effects ADAM17 inhibition will have on NK cell trafficking and their function. In a sepsis model, neutrophils were recruited to the infectious locus in ADAM17 knockout mice lacking ADAM17 in their leukocytes, more rapidly then in wild-type mice,46 which was due to their higher levels of CD62L expression.47 Furthermore, the ADAM17 knockout mice demonstrated increased bacterial clearance and survival.46 Hence, it is interesting to speculate that inhibiting ADAM17 in NK cells may also increase NK cell recruitment to tumor locations and/or lymph nodes, and enhance their effector activities.
Therapeutic monoclonal antibodies are used to treat a variety of malignancies. CD16-mediated activation of NK cells is a potent signal for inducing ADCC when using these antibodies. NK cells can eliminate CD20-expressing Burkitt’s lymphoma cells pre-coated with the monoclonal antibody rituximab through CD16 binding to the Fc portion of the antibody. We have demonstrated that ADAM17 inhibition markedly increases the production of intracellular cytokines, but its effect on degranulation and cytotoxicity is far less. As CD16 signals potent activation, changes in its surface density may be dependent on the differing activation thresholds required for killing compared with cytokine production.8,37,38 Therefore, based on our data, ADAM17 inhibition plays a greater role in increasing cytokine production. As IFN-γ is important for anti-tumor responses,48 increased CD16-induced production of IFN-γ may enhance activation of neighboring NK cells, activation and recruitment of macrophages, and recruitment of T cells to the tumor site. Additionally, we can demonstrate that activation induced shedding of CD16 significantly decreases the potential of an NK cell for mediating subsequent antibody-dependent cytokine production by NK cells. This would suggest that once an NK cell sheds CD16 from the surface, high threshold functions are reduced highlighting a potential benefit for the use of ADAM17 inhibitors clinically. Increased ADAM17 expression is associated with poor prognosis in breast cancer,49 perhaps because it can cleave EGFR ligands to promote metastasis. The monoclonal antibody trastuzumab, currently used to treat breast cancer, works at least in part through NK cell mediated ADCC.50 Inhibition of ADAM17 during treatment of breast cancer may provide a dual benefit by enhancing NK cell-mediated effector activities and by preventing the release of particular epidermal growth factor receptor ligands. Based on our findings, application of an inhibitor for a number of weeks may be needed, and twice daily oral dosing has been shown to be safe.51,52 Therefore, the combined use of monoclonal antibodies and an ADAM17 inhibitor in a clinical setting may be useful in enhancing NK cell mediated anti-tumor responses.
The online version of this article contains a data supplement.
The publication costs of this article were defrayed in part by page charge payment. Therefore, and solely to indicate this fact, this article is hereby marked “advertisement” in accordance with 18 USC section 1734.
Acknowledgments
This work was supported by grants from the National Institutes of Health (R01 HL55417, P01-CA111412, R56-AI082291, and 1R21AI103328).
Authorship
Contribution: R.R., B.F., and J.M. designed research, analyzed data, and wrote the manuscript. R.R. and B.F. performed research. T.L., D.A., S.C., M.V, B.W., and J.M. interpreted data. T.L., D.A., S.C., M.V., and B.W. prepared the manuscript. Y.W. performed ADAM17 analyses. B.Z. helped with cell isolation and ELISA optimization. X.L. provided statistical analysis.
Conflict of interest disclosure: The authors declare no competing financial interests.
Correspondence: Jeffrey S. Miller, University of Minnesota Cancer Center, MMC 806, Division of Hematology, Oncology, and Transplantation, Harvard Street at East River Rd, Minneapolis, MN 55455; e-mail: mille011@umn.edu.
References
Author notes
R.R. and B.F. contributed equally to this study.













