Older donors and female donor to male recipient had a negative impact on GVHD, nonrelapse mortality and survival in PTCy Haplo-HSCT.
The use of PB was associated with higher risk of severe acute GVHD and decreased GRFS.
Visual Abstract
There is a paucity of information to guide the selection of the most suitable donor in haploidentical (Haplo) hematopoietic stem cell transplantation (HSCT). For this reason, from the Acute Leukemia Working Party of the European Society for Blood and Marrow Transplantation, we conducted a retrospective analysis to evaluate the impact of Haplo donor characteristics on outcomes in patients with acute myeloid leukemia (AML) who received graft-versus-host disease prophylaxis with posttransplant cyclophosphamide (PTCy). The primary end point was graft-versus-host disease (GVHD)-free and relapse-free survival (GRFS). Overall, 2200 patients were included. The median age of donors was 37 years (range, 8-71); 820 (37%) were females, including 458 (21%) who were used for male recipients. In addition, 1631 donors (74%) donated peripheral blood (PB). Multivariable analysis identified certain donor-related risk factors with a detrimental impact on transplant outcomes. The use of PB, older donors’ ages (>37 years), and female donors to male recipients negatively affected GRFS. Donor’s age and female donor-to-male recipient combination also affected nonrelapse mortality, leukemia-free survival, and overall survival. In conclusion, donor-related variables significantly influence outcomes in patients with AML after Haplo-HSCT with PTCy. When possible, younger donors and male donors for male recipients should be prioritized. The use of bone marrow can additionally prevent GVHD.
Introduction
The availability of stem cell donors is no longer a limitation for patients in need of allogeneic hematopoietic stem cell transplantation (HSCT). This progress has been greatly facilitated by the successful implementation of in vivo T-lymphocyte depletion strategies, such as posttransplant cyclophosphamide (PTCy), which has led to a dramatic increase in HSCT from haploidentical (Haplo) donors.1 In fact, in most cases, several suitable Haplo donors are available within the family, making the selection of the optimal stem cell donor a common and relevant decision for transplant teams in clinical practice.
Several recommendations have been published to guide donor selection.2-4 However, these recommendations are often not fully supported by good-quality scientific evidence. In addition, several issues have complicated the interpretation of the available information. First, the influence of donor characteristics on transplant outcomes may differ depending on the specific transplant procedure. For instance, although a maternal donor may prove advantageous in an ex vivo T-cell–depleted graft setting,5 the same donor might have deleterious effects in an unmanipulated antithymocyte globulin–based scenario.4 Furthermore, focusing on PTCy platforms, different studies have reported conflicting results.6 This inconsistency could be due, at least in part, to the heterogeneity of patient characteristics, encompassing different diseases and stages at transplantation.
The aim of our study was to investigate the key characteristics of Haplo family donors that could have an impact on transplant outcomes in patients with acute myeloid leukemia (AML) receiving graft-versus-host disease (GVHD) prophylaxis with PTCy and registered in the European Society for Blood and Marrow Transplantation (EBMT) database. Our goal was to improve the criteria to guide donor selection in this setting.
Patients and methods
Study design and data source
This is a retrospective, registry-based analysis on behalf of the Acute Leukemia Working Party (ALWP) of the EBMT. The EBMT is a voluntary working group of more than 650 transplantation centers that are required to report all consecutive stem cell transplantations and follow-ups once a year. In the EBMT registry, there is an internal quality control program regarding the accuracy and consistency of entered data, and audits are regularly performed using queries on missing/incorrect data and follow-up requests. All transplantation centers are required to obtain written informed consent before data registration with the EBMT in accordance with the 1975 Declaration of Helsinki. The ALWP of the EBMT group approved this study. All patients gave written informed consent for the use of their data.
Patient eligibility
Patients included were all adults (age ≥18 years) with AML reported via the ProMIse data entry system to the EBMT database, who underwent a first allogeneic HSCT from a Haplo family donor between 2010 and 2022, with an unmanipulated graft and PTCy and reported data on the number of human leucocyte antigen (HLA) mismatches, cytogenetics, donor age, and donor/recipient cytomegalovirus (CMV) serostatus. Haplo was defined as recipient-donor number of HLA mismatches ≥2.
End points and definitions
The primary end points were GVHD-free and relapse-free survival (GRFS). Secondary end points included acute and chronic GVHD, disease relapse, nonrelapse mortality (NRM), leukemia-free survival (LFS), and overall survival (OS). GRFS was defined as survival without disease relapse and severe acute or chronic extensive GVHD. OS was defined as the time between the date of transplant and death. LFS was defined as survival without relapse or progression, and was calculated until the date of first relapse, death from any cause, or the last follow-up. Relapse was defined as disease recurrence and appearance of blasts in the peripheral blood (PB) or bone marrow (BM) (>5%) after complete remission (CR). NRM was defined as death from any cause other than relapse.
Statistical analysis
GRFS, LFS, and OS were estimated using the Kaplan-Meier method.7 Survival probabilities are given at 2 years as percentages and 95% confidence intervals (CIs). Cumulative incidence functions were used to estimate acute GVHD, chronic GVHD, relapse incidence, and NRM.8,9 Competing risks were death for relapse incidence and relapse for NRM, relapse or death for acute and chronic GVHD. Univariate analyses were done using the log-rank test for LFS, GRFS, and OS and Gray’s test for cumulative incidence. Multivariate analyses were performed using the Cox proportional hazard.10 The following patient, disease, and transplant characteristics were included in the final model: age at transplantation, cytogenetic risk group according to the Medical Research Council,11 first CR (CR1) or CR2, transplantation year, CMV serostatus, conditioning regimen, hematopoietic cell transplant–specific comorbidity index.12 In addition, the following donor and graft characteristics were also included in the final model: donor age below or above the median, number of HLA mismatches, stem cell source, donor CMV serostatus, and donor-recipient gender mismatch. To test for a center effect, we introduced a random effect or frailty for each center into the model.13 The significance level was fixed at .05, and P values were 2-sided. Statistical analyses were performed using the R statistical software version 4.2.3 (R Foundation for Statistical Computing, Austria, Vienna; available online at http://www.R-project.org).
Results
Patient and transplantation characteristics
Patient and transplant characteristics are summarized in Table 1. Briefly, a total of 2200 patients were included, with a median age of 56 years (range, 18-75). Distribution of cytogenetic risk was as follows: 161 (7%), 1451 (66%), and 588 (27%) patients had standard, intermediate, and adverse-risk cytogenetics, respectively. Most patients were in CR (80%), with 1331 (61%) in CR1 and 411 (19%) in CR ≥ 2. Regarding the conditioning regimen, 1801 patients (82%) underwent chemotherapy-based conditioning, and 1246 patients (57%) received a reduced-intensity conditioning (RIC) regimen. GVHD prophylaxis consisted of a triple combination with PTCy, mycophenolate-mofetil, and a calcineurin inhibitor in 1924 patients (87%).
Patient, disease, and transplant characteristics
| . | Haplo-HSCT . |
|---|---|
| No. of patients | 2200 |
| Follow-up in mo, median (IQR) | 24 (23-25) |
| Age in y, median (range) | 56 (18-75) |
| Gender, n (%) | |
| Male | 1314 (60) |
| Female | 886 (40) |
| CMV serologic status, n (%) | |
| Negative | 1656 (75) |
| Positive | 544 (25) |
| Karnofsky score at transplant, n (%) | |
| <90 | 611 (29) |
| ≥90 | 1489 (71) |
| Missing | 100 |
| HCT-CI, n (%) | |
| 0 | 1090 (50) |
| 1-2 | 545 (25) |
| ≥3 | 565 (25) |
| Cytogenetic risk, n (%) | |
| Standard | 161 (7) |
| Intermediate | 1451 (66) |
| Adverse | 588 (27) |
| FLT3-ITD, n (%) | |
| Absent | 871 (66) |
| Present | 417 (32) |
| Missing | 912 |
| NPM1, n (%) | |
| Absent | 772 (61) |
| Present | 487 (39) |
| Missing | 941 |
| Disease status at transplant, n (%) | |
| CR1 | 1331 (61) |
| CR2 | 393 (18) |
| CR ≥ 3 | 18 (1) |
| Relapsed/refractory disease | 458 (21) |
| Conditioning intensity, n (%) | |
| Myeloablative | 954 (43) |
| Reduced intensity | 1246 (57) |
| Conditioning regimen, n (%) | |
| Chemotherapy-based | 1801 (82) |
| TBI-based | 399 (18) |
| In vivo T-cell depletion, n (%) | |
| No | 2012 (92) |
| Yes | 188 (9) |
| GVHD prophylaxis, n (%) | |
| PTCy + calcineurin inhibitor + MMF | 1927 (86) |
| PTCy + sirolimus + MMF | 77 (3.5) |
| PTCy + calcineurin inhibitor | 72 (3.3) |
| PTCy + calcineurin inhibitor + MTX | 53 (2.6) |
| PTCy + MMF | 45 (2) |
| Other | 26 (1.2) |
| . | Haplo-HSCT . |
|---|---|
| No. of patients | 2200 |
| Follow-up in mo, median (IQR) | 24 (23-25) |
| Age in y, median (range) | 56 (18-75) |
| Gender, n (%) | |
| Male | 1314 (60) |
| Female | 886 (40) |
| CMV serologic status, n (%) | |
| Negative | 1656 (75) |
| Positive | 544 (25) |
| Karnofsky score at transplant, n (%) | |
| <90 | 611 (29) |
| ≥90 | 1489 (71) |
| Missing | 100 |
| HCT-CI, n (%) | |
| 0 | 1090 (50) |
| 1-2 | 545 (25) |
| ≥3 | 565 (25) |
| Cytogenetic risk, n (%) | |
| Standard | 161 (7) |
| Intermediate | 1451 (66) |
| Adverse | 588 (27) |
| FLT3-ITD, n (%) | |
| Absent | 871 (66) |
| Present | 417 (32) |
| Missing | 912 |
| NPM1, n (%) | |
| Absent | 772 (61) |
| Present | 487 (39) |
| Missing | 941 |
| Disease status at transplant, n (%) | |
| CR1 | 1331 (61) |
| CR2 | 393 (18) |
| CR ≥ 3 | 18 (1) |
| Relapsed/refractory disease | 458 (21) |
| Conditioning intensity, n (%) | |
| Myeloablative | 954 (43) |
| Reduced intensity | 1246 (57) |
| Conditioning regimen, n (%) | |
| Chemotherapy-based | 1801 (82) |
| TBI-based | 399 (18) |
| In vivo T-cell depletion, n (%) | |
| No | 2012 (92) |
| Yes | 188 (9) |
| GVHD prophylaxis, n (%) | |
| PTCy + calcineurin inhibitor + MMF | 1927 (86) |
| PTCy + sirolimus + MMF | 77 (3.5) |
| PTCy + calcineurin inhibitor | 72 (3.3) |
| PTCy + calcineurin inhibitor + MTX | 53 (2.6) |
| PTCy + MMF | 45 (2) |
| Other | 26 (1.2) |
IQR, interquartile range; MMF, mycophenolate mofetil; MTX, methotrexate; TBI, total body irradiation.
Donor characteristics
Donor characteristics are summarized in Table 2. The median age was 37 years (range, 8-71). Among the 820 female donors (37%), 458 (21%) were used for male recipients. CMV serostatus was positive in 1252 donors (57%). PB and BM were used in 74% and 26%, respectively. Donor/recipient HLA mismatch was ≥4/8 in 1638 transplants (75%).
Donor characteristics
| . | Haplo donors . |
|---|---|
| Age in y, median (range) | 37 (8-71) |
| Group age, n (%) | |
| <40 | 1304 (59.3) |
| ≥40 | 896 (40.7) |
| Gender, n (%) | |
| Male | 1380 (62.7) |
| Female | 820 (37.3) |
| Donor/recipient gender combination, n (%) | |
| Donor female to male recipient | 458 (20.8) |
| Other | 1742 (79.2) |
| CMV serologic status, n (%) | |
| Negative | 948 (43.1) |
| Positive | 1252 (56.9) |
| Stem cell source, n (%) | |
| PB | 1631 (74.1) |
| BM | 569 (25.9) |
| Donor/recipient HLA mismatch, n (%) | |
| 2-3/8 | 562 (25.5) |
| ≥ 4/8 | 1638 (74.5) |
| . | Haplo donors . |
|---|---|
| Age in y, median (range) | 37 (8-71) |
| Group age, n (%) | |
| <40 | 1304 (59.3) |
| ≥40 | 896 (40.7) |
| Gender, n (%) | |
| Male | 1380 (62.7) |
| Female | 820 (37.3) |
| Donor/recipient gender combination, n (%) | |
| Donor female to male recipient | 458 (20.8) |
| Other | 1742 (79.2) |
| CMV serologic status, n (%) | |
| Negative | 948 (43.1) |
| Positive | 1252 (56.9) |
| Stem cell source, n (%) | |
| PB | 1631 (74.1) |
| BM | 569 (25.9) |
| Donor/recipient HLA mismatch, n (%) | |
| 2-3/8 | 562 (25.5) |
| ≥ 4/8 | 1638 (74.5) |
Transplant outcomes
Patient outcomes after HSCT are shown in Table 3. For the overall cohort, the 180-day cumulative incidence of acute GVHD grades 2-4 and 3-4 was 28% (95% CI, 26-30) and 11% (95% CI, 10-12), respectively. The 2-year cumulative incidence of chronic and chronic extensive GVHD was 33% (95% CI, 31-35) and 14% (95% CI, 12-15), respectively. The 2-year cumulative incidence of relapse and NRM was 26% (95% CI, 24-28) and 22% (95% CI, 20-24), respectively. The LFS, OS, and GRFS at 2 years were 52% (95% CI, 50-55), 57% (95% CI, 55-60), and 41% (95% CI, 39-43), respectively.
Transplant outcomes of the entire cohort and according to the number of donor-related risk factors
| Outcome∗ . | Overall % (95% CI) . |
|---|---|
| Acute GVHD | |
| Grade 2-4 | 28 (26-30) |
| Grade 3-4 | 11 (10-12) |
| Chronic GVHD | |
| Overall | 33 (31-35) |
| Extensive | 14 (12-15) |
| NRM | 22 (20-24) |
| RI | 26 (24-28) |
| LFS | 52 (50-55) |
| OS | 57 (55-60) |
| GRFS | 41 (39-43) |
| Outcome∗ . | Overall % (95% CI) . |
|---|---|
| Acute GVHD | |
| Grade 2-4 | 28 (26-30) |
| Grade 3-4 | 11 (10-12) |
| Chronic GVHD | |
| Overall | 33 (31-35) |
| Extensive | 14 (12-15) |
| NRM | 22 (20-24) |
| RI | 26 (24-28) |
| LFS | 52 (50-55) |
| OS | 57 (55-60) |
| GRFS | 41 (39-43) |
RI, relapse incidence.
Acute GVHD: 180-day cumulative incidence; cGvHD, NRM, and RI: cumulative incidence at 2 years; LFS, OS, and GRFS: survival probability at 2 years.
Analysis of risk factors
The comprehensive multivariable analysis of transplant outcomes is shown in Table 4.
Multivariate analysis of transplants outcomes
| . | aGvHD III-IV . | cextGvHD . | NRM . | RI . | LFS . | OS . | GRFS . | |||||||
|---|---|---|---|---|---|---|---|---|---|---|---|---|---|---|
| HR (95% CI) . | P value . | HR (95% CI) . | P value . | HR (95% CI) . | P value . | HR (95% CI) . | P value . | HR (95% CI) . | P value . | HR (95% CI) . | P value . | HR (95% CI) . | P value . | |
| Patient, disease, and transplant-related variables | ||||||||||||||
| Patient’s age per 10 years∗ | 0.98 (0.88-1.09) | .65 | 1.05 (0.94-1.16) | .39 | 1.29 (1.18-1.41) | <.001 | 0.94 (0.88-1.01) | .10 | 1.08 (1.02-1.13) | .009 | 1.14 (1.07-1.21) | <.001 | 1.04 (0.99-1.09) | .09 |
| Patient’s CMV serostatus | ||||||||||||||
| Negative | 1 | 1 | 1 | 1 | 1 | 1 | 1 | |||||||
| Positive | 1.0 (0.72-1.39) | .99 | 1.26 (0.91-1.76) | .17 | 1.2 (0.94-1.53) | .14 | 1.07 (0.86-1.34) | .53 | 1.13 (0.96-1.33) | .14 | 1.17 (0.98-1.39) | .08 | 1.13 (0.98-1.31) | .10 |
| HCT-CI | ||||||||||||||
| 0 | 1 | 1 | 1 | 1 | 1 | 1 | 1 | |||||||
| 1-2 | 0.96 (0.69-1.34) | .81 | 0.63 (0.44-0.89) | .01 | 1.32 (1.04-1.67) | .03 | 0.86 (0.68-1.09) | .22 | 1.05 (0.89-1.24) | .55 | 1.12 (0.94-1.33) | .20 | 1.0 (0.86-1.16) | .97 |
| ≥3 | 1 (0.71-1.4) | .99 | 1.11 (0.79-1.55) | .54 | 1.46 (1.14-1.86) | .002 | 1.08 (0.87-1.35) | .49 | 1.21 (1.03-1.42) | .02 | 1.25 (1.05-1.48) | .01 | 1.16 (1.01-1.35) | .05 |
| Disease status | ||||||||||||||
| CR1 | 1 | 1 | 1 | 1 | 1 | 1 | 1 | |||||||
| CR ≥ 2 | 1.21 (0.84-1.74) | .31 | 0.88 (0.61-1.27) | .49 | 1.28 (0.98-1.65) | .06 | 1.39 (1.06-1.82) | .02 | 1.33 (1.1-1.60) | .003 | 1.28 (1.05-1.57) | .02 | 1.24 (1.05-1.46) | .01 |
| Relapsed/refractory | 1.37 (0.98-1.91) | .06 | 1.67 (1.2-2.32) | .003 | 1.6 (1.26-2.04) | <.001 | 3.48 (2.84-4.26) | <.001 | 2.45 (2.11-2.85) | <.001 | 2.52 (2.15-2.95) | <.001 | 2.13 (1.84-2.45) | <.001 |
| Cytogenetic risk | ||||||||||||||
| Standard | 1 | 1 | 1 | 1 | 1 | 1 | 1 | |||||||
| Intermediate | 0.88 (0.88-1.09) | .60 | 0.76 (0.48-1.22) | .26 | 0.92 (0.63-1.34) | .65 | 1.52 (0.99-2.35) | .06 | 1.18 (0.89-1.57) | .26 | 1.13 (0.83-1.53) | .45 | 1.01 (0.79-1.29) | .93 |
| High | 0.99 (0.58-1.68) | .96 | 0.96 (0.57-1.6) | .86 | 1.18 (0.78-1.79) | .42 | 3.03 (1.93-4.75) | <.001 | 1.94 (1.44-2.62) | <.001 | 1.94 (1.41-2.67) | <.001 | 1.53 (1.18-1.97) | <.001 |
| Conditioning intensity | ||||||||||||||
| MAC | 1 | 1 | 1 | 1 | 1 | 1 | 1 | |||||||
| RIC | 1.07 (0.78-1.47) | .68 | 1.14 (0.82-1.58) | .43 | 1.17 (0.93-1.48) | .18 | 1.32 (1.07-1.63) | .01 | 1.25 (1.08-1.46) | .004 | 1.29 (1.1-1.53) | .002 | 1.2 (1.04-1.38) | .013 |
| In vivo T-cell depletion | ||||||||||||||
| No | 1 | 1 | 1 | 1 | 1 | 1 | 1 | |||||||
| Yes | 0.73 (0.43-1.25) | .25 | 0.88 (0.5-1.54) | .65 | 1.07 (0.73-1.56) | .72 | 1.05 (0.74-1.47) | .80 | 1.09 (0.85-1.39) | .5 | 1.05 (0.81-1.38) | .7 | 1.04 (0.82-1.31) | .74 |
| Year of transplant∗ | 0.93 (0.88-0.99) | .02 | 0.99 (0.93-1.06) | .77 | 0.99 (0.94-1.04) | .62 | 1 (0.96-1.04) | .96 | 1 (0.97-1.03) | .97 | 1 (0.97-1.04) | .78 | 0.99 (0.96-1.02) | .59 |
| Donor-related variables | ||||||||||||||
| Donor’s age ≥37 y† | 2.05 (1.55-2.71) | <.001 | 1.65 (1.26-2.16) | <.001 | 1.36 (1.12-1.65) | .002 | 1.12 (0.94-1.34) | .21 | 1.22 (1.07-1.39) | .002 | 1.29 (1.12-1.48) | <.001 | 1.32 (1.17-1.48) | <.001 |
| Donor’s CMV serostatus | ||||||||||||||
| Negative | 1 | 1 | 1 | 1 | 1 | 1 | 1 | |||||||
| Positive | 1.06 (0.88-1.27) | .57 | 1 (0.75-1.34) | .98 | 0.91 (0.74-1.12) | .36 | 0.96 (0.79-1.17) | .71 | 0.94 (0.81-1.08) | .37 | 0.95 (0.82-1..1) | .51 | 0.95 (0.84-1.09) | .48 |
| Donor/recipient gender | ||||||||||||||
| Other | 1 | 1 | 1 | 1 | 1 | 1 | 1 | |||||||
| Female donor/male recipient | 1.0 (0.72-1.38) | .98 | 1.95 (1.46-2.61) | <.001 | 1.35 (1.09-1.69) | .007 | 1.04 (0.84-1.29) | .72 | 1.18 (1-01.38) | .03 | 1.25 (1.06-1.47) | .007 | 1.29 (1.12-1.48) | <.001 |
| Donor/recipient HLA mismatch | ||||||||||||||
| 2-3/8 | 1 | 1 | 1 | 1 | 1 | 1 | 1 | |||||||
| ≥4/8 | 1.35 (0.98-1.87) | .07 | 0.95 (0.71-1.28) | .74 | 1.04 (0.84-1.30) | .71 | 0.96 (0.78-1.18) | .71 | 0.99 (0.85-1.15) | .87 | 1.02 (0.87-1.19) | .82 | 1.03 (0.9-1.18) | .62 |
| Stem cell source | ||||||||||||||
| BM | 1 | 1 | 1 | 1 | 1 | 1 | 1 | |||||||
| PB | 1.74 (1.20-2.51) | .003 | 1.38 (0.97-1.97) | .08 | 1.15 (0.90-1.48) | .26 | 1.06 (0.85-1.32) | .62 | 1.09 (0.93-1.28) | .30 | 1.04 (0.87-1.23) | .69 | 1.19 (1.02-1.39) | .03 |
| . | aGvHD III-IV . | cextGvHD . | NRM . | RI . | LFS . | OS . | GRFS . | |||||||
|---|---|---|---|---|---|---|---|---|---|---|---|---|---|---|
| HR (95% CI) . | P value . | HR (95% CI) . | P value . | HR (95% CI) . | P value . | HR (95% CI) . | P value . | HR (95% CI) . | P value . | HR (95% CI) . | P value . | HR (95% CI) . | P value . | |
| Patient, disease, and transplant-related variables | ||||||||||||||
| Patient’s age per 10 years∗ | 0.98 (0.88-1.09) | .65 | 1.05 (0.94-1.16) | .39 | 1.29 (1.18-1.41) | <.001 | 0.94 (0.88-1.01) | .10 | 1.08 (1.02-1.13) | .009 | 1.14 (1.07-1.21) | <.001 | 1.04 (0.99-1.09) | .09 |
| Patient’s CMV serostatus | ||||||||||||||
| Negative | 1 | 1 | 1 | 1 | 1 | 1 | 1 | |||||||
| Positive | 1.0 (0.72-1.39) | .99 | 1.26 (0.91-1.76) | .17 | 1.2 (0.94-1.53) | .14 | 1.07 (0.86-1.34) | .53 | 1.13 (0.96-1.33) | .14 | 1.17 (0.98-1.39) | .08 | 1.13 (0.98-1.31) | .10 |
| HCT-CI | ||||||||||||||
| 0 | 1 | 1 | 1 | 1 | 1 | 1 | 1 | |||||||
| 1-2 | 0.96 (0.69-1.34) | .81 | 0.63 (0.44-0.89) | .01 | 1.32 (1.04-1.67) | .03 | 0.86 (0.68-1.09) | .22 | 1.05 (0.89-1.24) | .55 | 1.12 (0.94-1.33) | .20 | 1.0 (0.86-1.16) | .97 |
| ≥3 | 1 (0.71-1.4) | .99 | 1.11 (0.79-1.55) | .54 | 1.46 (1.14-1.86) | .002 | 1.08 (0.87-1.35) | .49 | 1.21 (1.03-1.42) | .02 | 1.25 (1.05-1.48) | .01 | 1.16 (1.01-1.35) | .05 |
| Disease status | ||||||||||||||
| CR1 | 1 | 1 | 1 | 1 | 1 | 1 | 1 | |||||||
| CR ≥ 2 | 1.21 (0.84-1.74) | .31 | 0.88 (0.61-1.27) | .49 | 1.28 (0.98-1.65) | .06 | 1.39 (1.06-1.82) | .02 | 1.33 (1.1-1.60) | .003 | 1.28 (1.05-1.57) | .02 | 1.24 (1.05-1.46) | .01 |
| Relapsed/refractory | 1.37 (0.98-1.91) | .06 | 1.67 (1.2-2.32) | .003 | 1.6 (1.26-2.04) | <.001 | 3.48 (2.84-4.26) | <.001 | 2.45 (2.11-2.85) | <.001 | 2.52 (2.15-2.95) | <.001 | 2.13 (1.84-2.45) | <.001 |
| Cytogenetic risk | ||||||||||||||
| Standard | 1 | 1 | 1 | 1 | 1 | 1 | 1 | |||||||
| Intermediate | 0.88 (0.88-1.09) | .60 | 0.76 (0.48-1.22) | .26 | 0.92 (0.63-1.34) | .65 | 1.52 (0.99-2.35) | .06 | 1.18 (0.89-1.57) | .26 | 1.13 (0.83-1.53) | .45 | 1.01 (0.79-1.29) | .93 |
| High | 0.99 (0.58-1.68) | .96 | 0.96 (0.57-1.6) | .86 | 1.18 (0.78-1.79) | .42 | 3.03 (1.93-4.75) | <.001 | 1.94 (1.44-2.62) | <.001 | 1.94 (1.41-2.67) | <.001 | 1.53 (1.18-1.97) | <.001 |
| Conditioning intensity | ||||||||||||||
| MAC | 1 | 1 | 1 | 1 | 1 | 1 | 1 | |||||||
| RIC | 1.07 (0.78-1.47) | .68 | 1.14 (0.82-1.58) | .43 | 1.17 (0.93-1.48) | .18 | 1.32 (1.07-1.63) | .01 | 1.25 (1.08-1.46) | .004 | 1.29 (1.1-1.53) | .002 | 1.2 (1.04-1.38) | .013 |
| In vivo T-cell depletion | ||||||||||||||
| No | 1 | 1 | 1 | 1 | 1 | 1 | 1 | |||||||
| Yes | 0.73 (0.43-1.25) | .25 | 0.88 (0.5-1.54) | .65 | 1.07 (0.73-1.56) | .72 | 1.05 (0.74-1.47) | .80 | 1.09 (0.85-1.39) | .5 | 1.05 (0.81-1.38) | .7 | 1.04 (0.82-1.31) | .74 |
| Year of transplant∗ | 0.93 (0.88-0.99) | .02 | 0.99 (0.93-1.06) | .77 | 0.99 (0.94-1.04) | .62 | 1 (0.96-1.04) | .96 | 1 (0.97-1.03) | .97 | 1 (0.97-1.04) | .78 | 0.99 (0.96-1.02) | .59 |
| Donor-related variables | ||||||||||||||
| Donor’s age ≥37 y† | 2.05 (1.55-2.71) | <.001 | 1.65 (1.26-2.16) | <.001 | 1.36 (1.12-1.65) | .002 | 1.12 (0.94-1.34) | .21 | 1.22 (1.07-1.39) | .002 | 1.29 (1.12-1.48) | <.001 | 1.32 (1.17-1.48) | <.001 |
| Donor’s CMV serostatus | ||||||||||||||
| Negative | 1 | 1 | 1 | 1 | 1 | 1 | 1 | |||||||
| Positive | 1.06 (0.88-1.27) | .57 | 1 (0.75-1.34) | .98 | 0.91 (0.74-1.12) | .36 | 0.96 (0.79-1.17) | .71 | 0.94 (0.81-1.08) | .37 | 0.95 (0.82-1..1) | .51 | 0.95 (0.84-1.09) | .48 |
| Donor/recipient gender | ||||||||||||||
| Other | 1 | 1 | 1 | 1 | 1 | 1 | 1 | |||||||
| Female donor/male recipient | 1.0 (0.72-1.38) | .98 | 1.95 (1.46-2.61) | <.001 | 1.35 (1.09-1.69) | .007 | 1.04 (0.84-1.29) | .72 | 1.18 (1-01.38) | .03 | 1.25 (1.06-1.47) | .007 | 1.29 (1.12-1.48) | <.001 |
| Donor/recipient HLA mismatch | ||||||||||||||
| 2-3/8 | 1 | 1 | 1 | 1 | 1 | 1 | 1 | |||||||
| ≥4/8 | 1.35 (0.98-1.87) | .07 | 0.95 (0.71-1.28) | .74 | 1.04 (0.84-1.30) | .71 | 0.96 (0.78-1.18) | .71 | 0.99 (0.85-1.15) | .87 | 1.02 (0.87-1.19) | .82 | 1.03 (0.9-1.18) | .62 |
| Stem cell source | ||||||||||||||
| BM | 1 | 1 | 1 | 1 | 1 | 1 | 1 | |||||||
| PB | 1.74 (1.20-2.51) | .003 | 1.38 (0.97-1.97) | .08 | 1.15 (0.90-1.48) | .26 | 1.06 (0.85-1.32) | .62 | 1.09 (0.93-1.28) | .30 | 1.04 (0.87-1.23) | .69 | 1.19 (1.02-1.39) | .03 |
aGvHD, acute GVHD; cextGvHD, chronic extensive GVHD; RI, relapse incidence; TBI, total body irradiation; MAC, myeloablative conditioning.
Continuous variable
Median
Patient, disease, and transplant factors
We found that no specific patient, disease, or transplant characteristic was significantly associated with an increased risk of severe acute GVHD, except for a lower incidence of acute GVHD grade 3-4 in more recent years. However, the analysis did reveal that patients in the active disease phase at the time of HSCT showed a higher risk of chronic extensive GVHD. In addition, older recipient age and a high hematopoietic cell transplant–specific comorbidity index score had an adverse impact on NRM, LFS, and OS. Furthermore, disease stage CR >1, adverse-risk cytogenetics, and RIC were associated with a higher risk of relapse and a lower LFS and OS.
Donor-related factors
When considering the stem cell source, patients receiving PB had a higher risk of severe acute GVHD (hazard ratio [HR], 1.74; 95% CI, 1.2-2.52; P = .003) and worse GRFS (HR, 1.19; 95% CI, 1.02-1.39; P = .003) compared with those receiving BM (Figure 1).
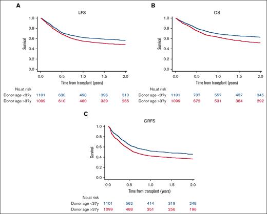
Donor age significantly influenced outcomes. Patients who underwent transplantation with donors older than 37 years of age had a higher risk of severe acute GVHD (HR = 2.05; 95% CI = 1.55-2.71; P < .001), chronic extensive GVHD (HR, 1.65; 95% CI, 1.26-2.16; P < .001), and NRM (HR, 1.36; 95% CI, 1.12-1.65; P = .002) that translated into decreased LFS (HR, 1.22; 95% CI, 1.07-1.39; P = .002), OS (HR, 1.29; 95% CI, 1.12-1.48; P < .001), and GRFS (HR, 1.32; 95% CI, 1.17-1.48; P < .001) (Figure 2).
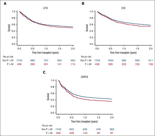
Regarding donor gender, the female donor-to-male recipient combination had a deleterious effect on chronic extensive GVHD (HR, 1.95; 95% CI, 1.46-2.61; P < .001), NRM (HR, 1.56; 95% CI, 1.09-1.69; P = .007), as well as on LFS (HR, 1.18; 95% CI, 1-1.38; P = .03), OS (HR, 1.25; 95% CI, 1.06-1.47; P = .007), and GRFS (HR, 1.29; 95% CI, 1.12-1.48; P < .001) (Figure 3).
No specific variable was significantly associated with the risk of relapse. The degree of HLA and donor CMV serostatus did not significantly affect any transplant outcomes. The impact of stem cell source and donor gender on transplant outcomes did not significantly change when age was introduced as a continuous variable in the multivariable model.
Discussion
This study shows that certain donor characteristics, such as age, gender, and stem cell source, can have a significant impact on Haplo-HSCT outcomes using PTCy in patients with AML. Of note, the use of PB as the source of stem cells was associated with an increased risk of GVHD, whereas older donor age and the use of female donors to male recipients were also associated with higher GVHD and worse survival.
Our study included a large cohort of patients with AML from the EBMT registry who underwent Haplo-HSCT in the last decade using PTCy as GVHD prophylaxis. This data set represents the prevailing Haplo-HSCT practice in Europe, marked by a predominant use of PB as the stem cell source (74%), most patients in CR, and a well-balanced distribution of RIC and myeloablative conditioning (MAC) chemotherapy-based conditioning regimens. This stands in contrast to previous studies,6,14,15 highlighting the importance of our contribution. It should be emphasized that, to minimize heterogeneity and mitigate potential confounding factors, the analysis was restricted to patients with AML. However, it is imperative to acknowledge the inherent limitations of our study due to its retrospective and registry-based nature. Certain information regarding graft and donor characteristics, which could be relevant for donor selection, was either incomplete or unavailable, such as kinship, the presence of anti-HLA antibodies, cell dose, specific HLA mismatches, or natural killer alloreactivity, all of which could not be evaluated in our analysis.
Regarding transplant outcomes, our study confirms the efficacy of Haplo-HSCT in a high-risk AML population. Not surprisingly, patient-related features such as older age and the presence of comorbidities were associated with an increased NRM, whereas disease-related variables such as adverse-risk cytogenetics and advanced disease status at HSCT increased the risk of relapse. In contrast to these inherent and therefore unmodifiable patient and disease characteristics, the intensification of the conditioning regimen demonstrated clear benefits. The use of MAC decreased relapse without compromising NRM, ultimately resulting in superior survival compared with RIC. It is worth noting that this finding remains somewhat controversial. Although a prospective, randomized trial16 reported improved outcomes with MAC, other retrospective studies have suggested similar survival rates.17-19 In the context of PTCy, a retrospective study of the ALWP of the EBMT described a significant reduction of relapse with MAC that translated into improved survival when compared with RIC,20 suggesting that increasing conditioning intensity in transplant platforms with effective GVHD control, such as with the use of PTCy may be particularly relevant.
This analysis confirmed that degree of HLA match, as long as at least Haplo, did not influence outcomes when using PTCy. This important finding, potentially relevant in clinical practice, aligns with PTCy ability to mitigate HLA-related negative impacts observed in previous studies.20-23
As expected, donor age was an important determinant of transplant outcomes. Younger donor age has long been recognized as a factor that reduces the incidence of GVHD and improves survival in HLA-matched HSCT.24,25 In the Haplo-HSCT setting, donor age has consistently been highlighted as a pivotal criterion for donor selection.15,26,27 Although 1 study suggested that increasing donor age was associated with a lower incidence of disease relapse,28 this finding has not been consistently validated. Furthermore, transplants from female donors to male recipients were associated with adverse outcomes. In HLA-matched HSCT, an increased risk of GVHD with female donors for male recipients has been well documented.29,30 However, information regarding the gender of Haplo donors is less clear. The maternal donors were preferred in the ex vivo T-cell–depleted setting,5 but they were associated with higher NRM for male recipients in unmanipulated Haplo-HSCT without PTCy.4 To our knowledge, this association has not been previously described in the context of PTCy-based Haplo-HSCT. The precise mechanism underlying the heightened predisposition to GVHD of male recipients of female grafts remains unknown, although alloreactivity to male-specific Y antigens has been speculated as a potential explanation.
The use of PB as the source of stem cells was also associated with a higher risk of acute and chronic GVHD compared with that of BM, consequently reducing GRFS. However, this choice of stem cell source did not affect the risk of relapse, NRM, LFS, or OS. This consistent finding aligns with observations from 2 randomized trials in matched sibling31 and matched unrelated donor HSCT.32 In PTCy Haplo-HSCT, several retrospective studies have reported a similar effect.20,33-35
In conclusion, donor age, gender, and stem cell source are important variables to consider when selecting an optimal donor for Haplo-HSCT using PTCy. When possible, younger donors and male donors for male recipients should be prioritized. The use of BM can also prevent GVHD.
Authorship
Contribution: J.S., M.L., M.M., S.P., and F.C. designed the study; M.L. performed statistical analysis and helped with the interpretation of the results; J.S. wrote the manuscript; S.B., A.M.R., A.B., J.V., J.T., P.C., S.B., R.F., G.S., E.F., N.K., Y.K., M.I-.R., and M.Z. provided cases for the study; and all authors reviewed and approved the manuscript.
Conflict-of-interest disclosure: The authors have no competing financial interests.
Correspondence: Jaime Sanz, Hematology Department, La Fe University and Polytechnic Hospital Fernando Abril Martorell, 106 46026 Valencia, Spain; email: Jaime.Sanz@uv.es.
References
Author notes
The data set supporting the conclusions of this article are available in the Acute Leukemia Working Party of European Society for Blood and Marrow Transplantation in Paris, Saint Antoine Hospital at myriam.labopin@upmc.fr



