Abstract
Chemokines are involved in the regulation of leukocyte migration and for some of them, T-cell costimulation. To date, the only direct property of lymphotactin (Lptn), the unique member of the C class of chemokines, consists of T-cell chemoattraction. This report describes a novel function for Lptn in human T-lymphocyte biology, by demonstrating the direct ability of Lptn to both inhibit and costimulate CD4+ and CD8+ T-cell activation, respectively. Lptn but not RANTES inhibited CD4+ T-cell proliferation, through a decreased production of Th1 (interleukin [IL]-2, interferon [IFN]-γ) but not Th2 (IL-4, IL-13) lymphokines, and decreased IL-2R expression. Transfections in Jurkat cells showed a Lptn-mediated transcriptional down-regulation of gene-promoter activities specific for Th1-type lymphokines, as well as of nuclear factor of activated T cells (NF-AT) but not AP-1 or NF-ΚB enhancer activities. This suppressive action of Lptn could be compensated by overexpression of NF-ATc but not NF-ATp. CD4+ T-cell proliferation was completely restored by exogenous IL-2 or reversed by pertussis toxin, wortmannin, and genistein, suggesting the involvement of multiple partners in Lptn signaling. In contrast to CD4+ cells, Lptn exerted a potent costimulatory activity on CD8+ T-cell proliferation and IL-2 secretion. These data provide important insights into the role of Lptn in differential regulation of normal human T-cell activation and its possible implication in immune response disorders.
Chemokines play an important role in the recruitment and activation of specific subsets of leukocytes.1 With the exception of lymphotactin (Lptn), all chemokines share a conserved 4-cysteine motif in their N-terminus. They can be divided into 4 subfamilies designated as CXC (α-chemokine), CC (β-chemokine), CX3C (δ-chemokine), or C (γ-chemokine), based on structural, genetic, and functional criteria. Although the number of both CXC and CC members is continually growing, the C and CX3C groups contain only single representatives, named Lptn/SCM-1/ATAC2-4 and fractalkine/neurotactin,5,6 respectively. CXC chemokines mainly target neutrophils and T cells, whereas CC chemokines generally attract monocytes, eosinophils, basophils, and T cells, with variable selectivity. In contrast, both C and CX3C chemokines have a more restricted specificity for T cells. For instance, both in vitro and in vivo, Lptn is efficiently chemotactic toward both CD8+ and CD4+ T cells, but only modestly toward natural killer (NK) cells.2,7-10 CC chemokines play an increasingly important role in lymphocyte functions, promoting proliferation, cytotoxicity, Ig production, adhesion, and protection against apoptosis.11-16 Despite the fact that the receptor for Lptn, XCR1,17 like most chemokine receptors1 belongs to the 7-TM G-protein–coupled receptor (GPCR) superfamily, and that the range of cells producing and responding to Lptn has been broadened to include activated CD8+ and CD4+ T cells,2-4,18 NK cells,9 and mast cells,19 the original direct activity ascribed to Lptn, chemotaxis, remains to date its only known function.
In physiologic situations, commitment to optimal T-cell activation requires both CD3/TcR complex engagement through peptide-major histocompatibility complex combinations, in conjunction with a costimulatory signal such as that provided by interaction between CD28 and its ligands, B7.1/CD80 and B7.2/CD86. The CD28 costimulatory signal synergizes with the CD3/TcR mitogenic signal to promote cell cycle progression, cytokine receptor expression (interleukin [IL]-2R)20,21, and production of cytokines,22,23 as, for instance, some CC chemokines.24 A new emerging negative role for CD28 has, however, been evidenced by several studies showing that this pathway also reduced gene expression such as that of FasL,25 some CC chemokine receptors,26-30 as well as 1 chemokine, Lptn, in human peripheral CD4+ but not CD8+ T cells.31
We describe here that Lptn may act as a negative regulator of human CD4+ T-cell activation. Effectively, Lptn, but not CC chemokines, such as RANTES or macrophage inflammatory protein (MIP)-1α, inhibits CD4+ T-cell proliferation induced by mitogenic signal from CD3/TcR, by inhibiting the production of Th1 (IL-2, interferon [IFN]-γ) but not Th2 (IL-4, IL-13) cytokines, mainly that of IL-2 and consequently the IL-2Rα surface expression. Using luciferase transfection assays in Jurkat cells, we demonstrate a reduced transcriptional activity of gene promoter activities specific for Th1-type lymphokines such as IL-2 and IFN-γ, following CD3 stimulation in the presence of Lptn. The Lptn-mediated Th1-promoter repression correlates with reduced transcription driven by NF-AT but not NF-ΚB or AP-1. It was restored by NF-ATc but not NF-ATp expression, indicating NF-ATc as a potential molecular target for Lptn. We also show that the Lptn-mediated inhibition of CD4+T-cell proliferation is reversed by pertussis toxin (PT), confirming signaling through Gαi proteins, in line with the molecular nature of Lptn receptor, but also by wortmannin and genistein. Furthermore, such blockade of proliferation is likely to be caused by a lack of IL-2/IL-2R signal transmission, as demonstrated by its complete reversal by exogenous IL-2. Lastly, we emphasize a differential role of Lptn in CD4+ and CD8+T-cell activation, showing that Lptn positively regulates CD8+ T-cell proliferation, at least by increasing IL-2 production. From these observations, we conclude that Lptn represents, at least in vitro, a direct regulator of human T-cell activation either negatively or positively depending on the CD4+ or CD8+ subset, opening thus a new potential field for Lptn activity in the regulation of Th1 lymphokine production.
Materials and methods
CD4+ and CD8+ T-cell purification and activation
Total T cells were isolated from mononuclear cells as described elsewhere20 and were purified in CD4+ and CD8+ cells, as recommended by the manufacturer, using antimouse IgG magnetic immunobeads (Immunotech, Marseille, France), that were coupled with CD8 (10B4.6) or CD4 (13B8.2) (D. Olive) monoclonal antibodies (mAbs), respectively. Both subsets were more than 90% pure before activation and remained at this degree of purity over the entire period of stimulation (7 days), as controlled by labeling with specific mAbs. These cells (1 × 106/mL) were activated with coated CD3 (289) mAb, singly or in combination with recombinant human Lptn (PromoCell GmbH, Heidelberg, Germany) that was used either in a soluble form (when stated) or coated (when not stated) on plates at the same time as CD3 mAb. Usually, the optimal concentration of Lptn used was 1 μg/mL, unless otherwise stated. In each experiment, the specificity of Lptn-mediated effects was controlled by using the recombinant human chemokines, RANTES or MIP-1α (R&D Systems Europe Ltd, Abingdon, UK for both, PromoCell GmbH for RANTES), in the same conditions as for Lptn (1μg/mL unless otherwise indicated, coated at the same time as CD3 mAb). In certain proliferation assays, coated CD3 mAb, a combination of PMA (10-9 mol/L, Sigma, St Quentin-Fallavier, France) and ionomycin (2.5 μg/mL, Sigma), a CD2 pair of mAbs20 were used each in combination with CD28 mAb to activate the cells. In the indicated experiments, the following reagents were added to the cells just before activation: recombinant human IL-2 (Chiron, France) at 300 U/mL, soluble Abs, all used at 25 μg/mL, directed against IL-2Rα chain (33B3.1, blocking the high affinity IL-2 binding site or 36A1.2, nonblocking),20 IL-2 (clone IL-2-66, Immunotech), Lptn (PromoCell GmbH), RANTES or MIP-1α (R&D Systems Europe Ltd for both; PromoCell GmbH for RANTES). In some experiments, cells were either left untreated or pretreated at 37°C for 15 minutes before activation for 2 days, with the following signal transduction inhibitors: PT (GPCR), genistein (PTK), wortmannin (PI3K), PD98059 (anti-MEK), and FHP1 (anti-p38).
Proliferation assays
The T cells were plated at 1 × 106/well in flat-bottom 24-well plates (Costar Corporation, Cambridge, MA), previously coated with CD3 mAb, alone or in conjunction with Lptn or the control chemokines. After 96 hours, wells were pulsed with 1μCi of [3H]-thymidine (Amersham France, Les Ulis, France) for the remaining 18 hours and then harvested onto glass fiber filters. Thymidine incorporation was measured in a direct beta counter (Matrix 9600, Packard Instruments, Paris, France). In parallel with thymidine incorporation, T-cell viability was assessed by trypan blue exclusion counting, at various days after activation.
Lymphokine secretion assays
Supernatants were collected from cultures of CD4+ or CD8+ T cells at various times after activation and frozen at −80°C until analysis. Quantitative determination of lymphokine production was assessed by enzyme-linked immunosorbent assays (ELISA), using commercial kits from Immunotech, for IL-2 and IL-4, and from both Immunotech and TEBU for IFN-γ (Pelikine compact human IFN-γ, CLB, Amsterdam, The Netherlands). Serial dilutions of the supernatants were performed to ensure measuring in the linear range, and the sensitivity of each ELISA assay was 5 pg/mL. Preliminary assays determined that day 3 lymphokine levels were most consistent for IFN-γ and IL-4, whereas for IL-2 the peak of production occurred at day 1. Therefore, extensive analyses were performed at these time points.
Analysis of cell surface antigen expression
Fluorescence activated cell sorter (FACS) analysis was undertaken using standard protocols. Briefly, T cells were resuspended at 2 × 105/well in 96-well V-bottom plates (Costar) and incubated for 45 minutes at 4°C, with fluorescein isothiocyanate (FITC)- or phycoerythrin (PE)-coupled mAbs directed against the following markers: CD3, IL-2Rα, IL-2Rβ, CD4, CD8, CD2, CD50, CD54, CD11a, CD11b, CD11c, CD28, CTLA-4, CD80, CD86, CD40, CD40L, CD45RO, CD45RA, CD95, and CD19 as a negative control. After staining, cells were washed, fixed with 0.02% paraformaldehyde, and analyzed with a Becton Dickinson (Mountain View, CA) FACScan flow cytometer. Acquisitions were based on the forward and side-scatter characteristics and 10 000 events were acquired.
Transient transfections of Jurkat cells and luciferase assays
The human Jurkat T leukemia subclone JA1632 was maintained in RPMI 1640 medium supplemented with 10% fetal calf serum (FCS), penicillin, and streptomycin. Cells (1 × 107) were electrotransfected using a BioRad Gene Pulser (250 V, 960 μF) with 15 μg (unless otherwise stated) of the following plasmids: pIL-2(−541/+57)/FLuc (Fluc forfirefly luciferase), pIFN-γ(−538/+64)/Fluc (respective gifts of E. Verdin,33 N. Tanaka,34 L. Penix35), and pIL-4(−269/+11)/FLuc (gift of M. Li-Weber 36). Cells were always cotransfected with 2.5 μg of pβactin-Rluc reporter gene composed of β-actin promoter fused with Renilla luciferase (Rluc) (gift of R. Castellano). In some experiments, transfections were performed using pIL-2/Fluc, alone or in conjunction with 2.5 μg of the complimentary DNA (cDNA) expression vectors pRSV-NF-ATc/C or pRSV-NF-ATp.37 Following transfection, cells were maintained for 2 hours in RPMI 10% FCS and then left unstimulated or stimulated overnight, as described for primary T cells. They were then washed and lysed. Proteins were quantified by Bradford reagent (Bio-Rad). Ten micrograms of protein cell lysate was subjected to dual-luciferase reporter assay (DLR cat. N°E1910, Promega, Cherbonnières, France), according to the manufacturer's instruction. The efficiency of transfection was corrected by the activity of Fluc normalized to that of Rluc. The enhancer assay plasmids p3 × NF-AT-FLuc, p5 × AP-1-Fluc, and p2 × NF-KB-Fluc linked with minimal promoter were previously referenced.38
Reverse transcription-polymerase chain reaction (RT-PCR)
The CD4+ T cells were activated for 24 or 48 hours as described above, after which total RNA was prepared by the RNAzol method (RNA-B, BIOPROBE Systems, Montreuil, France) according to the manufacturer's instructions. cDNA was prepared from 1 μg of RNA using an hexanucleotide random primer (Pharmacia Biotech) and II reverse transcriptase (GIBCO BRL, LifeTechnologies) in a total volume of 20 μL. A volume of 2.5 μL (1/8 of the total cDNA product) was used for PCR amplification, simultaneously using 2 pairs of primers specific for the lymphokine messenger RNA (mRNA) tested and for the β2-microglobulin mRNA (Huβ2m), that was used as an internal and invariant control. Each PCR reaction was conducted in a total volume of 25 μL containing 1 × PCR buffer, dNTP (200 nmol/L final), MgCl2 (1.5 mmol/L final), sense and antisense primers (100 ng/μL), and 2.5 U of Taq polymerase (except for the primers, all the reagents were supplied by GIBCO BRL, LifeTechnologies), according to the manufacturer's instructions. The primers were as follows: either CCAGCAGAGAATGGAAAGTC and TAAGTTGCCAGCCCTCCTAG or CCAGCAGAGAATGGAAAGTC and GATGCTGCTTACATGTCTCG (sense and antisense for the Huβ2m 460 bp or 268 bp fragments, respectively); GTCACAAACAGTGCACCTAC and ATGGTTGCTGTCTCATCAGC (sense and antisense for IL-2); GCAGAGCCAAATTGTCTCCT and ATGCTCTTCGACCTCGAAAC (sense and antisense for IFN-γ); and TGCAATGGCAGCATGGTATG and GCAGGTCCTTTACAAACTGG (sense and antisense for IL-13). Each sample was amplified for 30 cycles in a Perkin/Elmer 480 (94°C for 5 minutes for preheating, 94°C for 50 seconds to denature the DNA, 65°C for 45 seconds for annealing, and 72°C for 45 seconds for extension) resulting in 460-bp, 352-bp, 290-bp, and 214-bp products, for Huβ2m, IL-2, IFN-γ, and IL-13, respectively. The number of 30 amplification rounds was previously determined to produce linear increases in target cDNAs. Electrophoresis was performed on 25 μL of each sample loaded onto 2% agarose gel stained with ethidium bromide. Integrated intensities of the specific bands were determined using a transilluminator 320 nm camera (Raytest, GmbH, Straubenhardt, Germany), and the results were normalized to the intensity of the Huβ2m and expressed in arbitrary units as the ratio of the 2 intensities.
Results
Lptn inhibits the proliferation of human peripheral CD4+ T cells
Although CC chemokines such as RANTES or MIP-1α were described to be positively involved in costimulation of human T-cell proliferation, cytokine production, and expression of various adhesion and activation receptors,11,13,14 the C chemokine, Lptn, has never been observed to have any effect other than chemotaxis. Because we already demonstrated that the production of Lptn was strongly induced by CD3/TcR activation alone, but down-regulated by CD28 costimulation in CD4+ but not in CD8+ T cells,31 we sought to determine whether Lptn might directly interfere with T-cell activation. For this purpose, we examined the effect of recombinant Lptn on the proliferation of purified CD4+ T cells activated via CD3/TcR alone. Surprisingly, when these cells were subjected to this stimulus, in presence of coated (Figure1A, C), or to a lesser extent, soluble Lptn (Figure 1B), they displayed markedly decreased proliferation, compared to the same cells activated in the absence of Lptn. A respective 2.5- and 2-fold reduction was observed with coated and soluble forms of Lptn, irrespective of whether the proliferation was measured by thymidine uptake (peak at day 5, Figure 1) or viable cell counting (not shown). Equivalent concentrations of either soluble (not shown) or coated RANTES (Figure 1A, C) or MIP-1α (not shown), as well as their specific neutralizing antibodies (Figure 1A, C for anti-RANTES) did not noticeably affect proliferation, indicating the selectivity of Lptn in down-regulating CD4+ T-cell proliferation. Controlling the same experiments, the addition of either exogenous IL-2 or a blocking IL-2+IL-2Rα mAb combination caused a drastic increase or reduction of thymidine uptake, respectively (not shown). A typical curve dose response of Lptn showed a plateau effect of inhibition of thymidine uptake at doses ranging from 500 ng/mL up to at least 10 μg/mL (Figure 1C). The proliferation was not affected at all by concentrations of RANTES varying from 100 ng/mL to 10 μg/mL (Figure1C for 10 μg/mL, and not shown). Taken together, these results indicated for the first time that Lptn could negatively interfere with human CD4+ T-cell proliferation.
Inhibition of human CD4+ T cell proliferation by Lptn.
(A) [3H]-TdR incorporation of 1 × 105cells purified CD4+ T cells activated with plate-bound CD3 mAb for 5 days, in the presence or absence of the following reagents: Lptn or RANTES coated at the same time as CD3 mAb, and their specific antibodies. The [3H]-TdR pulse was undertaken as described in “Materials and methods.” Results are expressed as the mean values of cpm from quadruplicate cultures, obtained from 7 independent experiments. The error bars were derived from standard deviations of the determinations. The 33 × 103 cpm were obtained in response to CD3 and CD28 costimulation (positive control) as compared with 11.5 × 103 cpm for CD3 alone (not shown). (B) The [3H]-TdR incorporation was measured from CD4+ T cells activated in the same conditions as in panel A, except for the presence of soluble instead of coated Lptn. The figure represents the mean values ± SD of 3 independent experiments. (C) The CD4+ T cell [3H]-TdR pulse induced by CD3 stimulation is reduced in a dose-dependent manner by Lptn. Each point of the curve represents the mean ± SD of cpm from 2 independent experiments performed in triplicate.
Inhibition of human CD4+ T cell proliferation by Lptn.
(A) [3H]-TdR incorporation of 1 × 105cells purified CD4+ T cells activated with plate-bound CD3 mAb for 5 days, in the presence or absence of the following reagents: Lptn or RANTES coated at the same time as CD3 mAb, and their specific antibodies. The [3H]-TdR pulse was undertaken as described in “Materials and methods.” Results are expressed as the mean values of cpm from quadruplicate cultures, obtained from 7 independent experiments. The error bars were derived from standard deviations of the determinations. The 33 × 103 cpm were obtained in response to CD3 and CD28 costimulation (positive control) as compared with 11.5 × 103 cpm for CD3 alone (not shown). (B) The [3H]-TdR incorporation was measured from CD4+ T cells activated in the same conditions as in panel A, except for the presence of soluble instead of coated Lptn. The figure represents the mean values ± SD of 3 independent experiments. (C) The CD4+ T cell [3H]-TdR pulse induced by CD3 stimulation is reduced in a dose-dependent manner by Lptn. Each point of the curve represents the mean ± SD of cpm from 2 independent experiments performed in triplicate.
Lptn inhibits Th1 but spares Th2 lymphokine secretion by CD4+ T cells
Because Lptn drastically inhibited the proliferation of CD4+ T cells, we next evaluated its role in the production of Th1 and Th2 lymphokines. Supernatants of CD4+ T cells activated via CD3, in presence or absence of Lptn, were harvested daily from days 1 to 4, and the concentrations of IL-2, IFN-γ (Th1), and IL-4 (Th2) were determined by ELISA. The mean concentrations of secreted lymphokines, at day 1 for IL-2 or day 3 for the others, are presented in Table 1 and Figure2 (for IL-2 only). In cells treated with coated Lptn on CD3 stimulation, the peak levels of IL-2 and IFN-γ were reduced 5- and 2-fold, respectively, compared with untreated cells or cells treated with either RANTES or Lptn antibodies, confirming the specificity of the Lptn-mediated effect (Table 1). As shown in Figure2, the down-regulation of IL-2 secretion was also observed though to a lesser extent (2.5-fold less) in the presence of soluble Lptn. Interestingly, major differences were discerned in the regulation of Th1 and Th2 lymphokine secretion, because the levels of IL-4 were totally unaffected by the addition of Lptn from days 1 to 3 (Table 1and not shown). Except for IL-4 (Table 1 footnote), the secreted lymphokine levels measured in CD3 and CD28 costimulated cells were consistently higher than in CD3 activated cells (Table 1) and served as a positive control.
Th1 but not Th2 lymphokine secretion is impaired by Lptn
| Stimulus . | IL-2 (day 1) . | IFN-γ (day 3) . | IL-4 (day 3) . |
|---|---|---|---|
| CD3 | 0.44 (0.04) | 7.03 (2.30) | 0.75 (0.45) |
| CD3 + Lptn | 0.09 (0.04) | 3.77 (1.99) | 0.75 (0.49) |
| CD3 + Lptn + anti-Lptn | 0.39 (0.09) | 7.65 (2.17) | 0.74 (0.44) |
| CD3 + RANTES | 0.44 (0.19) | 8.43 (0.81) | 0.67 (0.41) |
| CD3 + RANTES + anti-RANTES | 0.38 (0.08) | 7.43 (1.20) | 0.63 (0.36) |
| CD3 + CD28 | 2.76 (1.55) | 17.2 (7.85) | 0.45 (0.23) |
| Stimulus . | IL-2 (day 1) . | IFN-γ (day 3) . | IL-4 (day 3) . |
|---|---|---|---|
| CD3 | 0.44 (0.04) | 7.03 (2.30) | 0.75 (0.45) |
| CD3 + Lptn | 0.09 (0.04) | 3.77 (1.99) | 0.75 (0.49) |
| CD3 + Lptn + anti-Lptn | 0.39 (0.09) | 7.65 (2.17) | 0.74 (0.44) |
| CD3 + RANTES | 0.44 (0.19) | 8.43 (0.81) | 0.67 (0.41) |
| CD3 + RANTES + anti-RANTES | 0.38 (0.08) | 7.43 (1.20) | 0.63 (0.36) |
| CD3 + CD28 | 2.76 (1.55) | 17.2 (7.85) | 0.45 (0.23) |
The CD4+ T cells were activated with the indicated stimuli, as described in “Materials and methods.” Supernatants were collected each day from days 1 to 3 and were analyzed for lymphokine concentrations by ELISA. Concentration mean values (ng/mL) are followed by the SD in parentheses. In our hands, only stimulation with PMA and ionomycin gave 2 times higher IL-4 secreted levels than CD3 stimulation, alone or combined with CD28. For each lymphokine, data are representative of 4 independent experiments, except for conditions using RANTES, where 2 experiments were done.
Both soluble and coated forms of Lptn inhibit IL-2 secretion.
CD4+ T cells were activated with the indicated stimuli, as described in “Materials and methods.” Supernatants (day 1 after activation) were analyzed by ELISA for IL-2 secretion, as indicated in footnote of Table 1. The mean concentration values (pg/mL) with SD between parentheses are derived from 5 independent experiments.
Both soluble and coated forms of Lptn inhibit IL-2 secretion.
CD4+ T cells were activated with the indicated stimuli, as described in “Materials and methods.” Supernatants (day 1 after activation) were analyzed by ELISA for IL-2 secretion, as indicated in footnote of Table 1. The mean concentration values (pg/mL) with SD between parentheses are derived from 5 independent experiments.
Because inhibition of CD4+ T-cell proliferation by Lptn could apparently occur through decreased IL-2 production, we examined whether IL-2Rα expression could consequently be affected, as already demonstrated.20 39 On exposure to Lptn, only the IL-2Rα mAb, of 21 evaluated mAbs directed against T-cell surface markers (as listed in “Materials and methods”), showed a decreased binding to CD4+ T cells, at day 3 after CD3 stimulation (Figure3). In the presence of Lptn, an approximate 2-fold reduction in both surface density and percentage of positive cells for IL-2Rα was specifically observed, as shown by the complete reversion by anti-Lptn antibody, the absence of effect of RANTES, and the increased IL-2Rα surface density induced by CD28 costimulation (Figure 3). The lack of variation in the expression of various adhesion/activation molecules tested (as listed in “Materials and methods,” not shown), in particular of IL-2Rβ (Figure 3) suggested that the down-regulation of IL-2Rα expression is probably a consequence of the reduced IL-2 production by Lptn.
Down-regulation of IL-2R expression by Lptn.
CD4+ T cells were activated for 3 days with the indicated stimuli, then stained with the FITC- or PE-conjugated mAbs listed in “Materials and methods,” including IL-2Rα mAb, and analyzed by FACS. Mean fluorescence intensity (MFI) and percent of positive cells relative to IL-2Rα expression are indicated. For unstimulated cells, these values were 11% and 6%. For IL-2Rβ, expression of which is not affected by Lptn, they were 8% and 4% (medium), 17% and 61% (CD3), 16% and 50% (CD3+Lptn), 22% and 71% (CD3+Lptn+anti-Lptn), 20% and 64% (CD3+RANTES), 17% and 55% (CD3+RANTES+anti-RANTES). This experiment is 1 among 3 independent determinations performed with different donors.
Down-regulation of IL-2R expression by Lptn.
CD4+ T cells were activated for 3 days with the indicated stimuli, then stained with the FITC- or PE-conjugated mAbs listed in “Materials and methods,” including IL-2Rα mAb, and analyzed by FACS. Mean fluorescence intensity (MFI) and percent of positive cells relative to IL-2Rα expression are indicated. For unstimulated cells, these values were 11% and 6%. For IL-2Rβ, expression of which is not affected by Lptn, they were 8% and 4% (medium), 17% and 61% (CD3), 16% and 50% (CD3+Lptn), 22% and 71% (CD3+Lptn+anti-Lptn), 20% and 64% (CD3+RANTES), 17% and 55% (CD3+RANTES+anti-RANTES). This experiment is 1 among 3 independent determinations performed with different donors.
Transcriptional repression contributes to the Lptn-mediated inhibition of Th1 lymphokine production
Based on these observations, we postulated that the inhibition of Th1 lymphokine secretion by Lptn occurs at the transcriptional level. To test this, we performed 2 types of experiments. We first determined the relative mRNA levels of Th1- but not Th2-type lymphokines by semiquantitative RT-PCR, using RNA from purified CD4+ T cells activated for 24 and 48 hours. Representative experiments are shown in Figure 4A and their quantification in Figure 4B. As can be seen, mRNA levels of both IL-2 and IFN-γ were decreased in presence of Lptn, compared to those without Lptn or with its specific antibody. This reduction was approximately 55% for IL-2 at day 1 and 60% for IFN-γ at day 2. However, for both IL-2 and IFN-γ, the intensity of the Lptn-mediated inhibition of mRNA expression was variable depending on the donors. Two types of response were effectively encountered in half of the donors: either very weak signals resulting in marked reduction of mRNA levels (60-90%), relative to those measured on CD3 activation alone (Figure4A), or signals resulting in modest reduction of mRNA levels (20-35%). In contrast to Lptn, under identical conditions there was no significant effect of RANTES or its specific antibody on the expression of both mRNAs (Figure 4A, B). Regarding the expression of Th2-type lymphokines, the expression of IL-4 mRNA was barely detectable under these conditions conversely to that of IL-13, which displayed similar levels to the conditions of CD3 activation, with or without Lptn (not shown).
Lptn impairs the induction of Th1 but not Th2 type genes.
(A) CD4+ T cells were collected after activation for 24 or 48 hours, followed by RNA extraction, reverse transcription, and PCR using primer pairs specific for both Huβ2m and IL-2 at 24 hours, and for both Huβ2m and IFN-γ or IL-13 (not shown for IL-13) at 48 hours, as described in “Materials and methods.” One experiment of 4 is shown for either IL-2 or INF-γ. (B) Quantification of the RT-PCR experiments shown in panel A. Integrated intensity of the respective bands was determined as described in “Materials and methods.” Data shown represent the mean value ± SD (error bar) of the lymphokine/Huβ2m signal ratio, calculated from 4 different experiments. The expression of IL-13 mRNA gave similar intensities with or without Lptn (not shown). (C) JA16 cells were electroporated with pIL-2, pIFN-γ, or pIL-4-Fluc constructs, together with pβ-actin-Rluc, as described in “Materials and methods.” After transfection, cells were either left unstimulated (not shown) or stimulated overnight as indicated. For each lymphokine promoter construct and each activation condition, the relative luciferase activity (RLU) corresponds to the ratio of Fluc expression to that of Rluc, and each RLU value is representative of at least 3 independent experiments. RLU obtained for PMA+ionomycin were 123.2 (2.44), 1.77 (0.024), 1.07 (0.81) for pIL-2, pIFN-γ, pIL-4, respectively, with SD in parentheses. Whatever the promoter used, RLU of unstimulated cells was 5- to 15-fold lower than in CD3-stimulated cells (not shown).
Lptn impairs the induction of Th1 but not Th2 type genes.
(A) CD4+ T cells were collected after activation for 24 or 48 hours, followed by RNA extraction, reverse transcription, and PCR using primer pairs specific for both Huβ2m and IL-2 at 24 hours, and for both Huβ2m and IFN-γ or IL-13 (not shown for IL-13) at 48 hours, as described in “Materials and methods.” One experiment of 4 is shown for either IL-2 or INF-γ. (B) Quantification of the RT-PCR experiments shown in panel A. Integrated intensity of the respective bands was determined as described in “Materials and methods.” Data shown represent the mean value ± SD (error bar) of the lymphokine/Huβ2m signal ratio, calculated from 4 different experiments. The expression of IL-13 mRNA gave similar intensities with or without Lptn (not shown). (C) JA16 cells were electroporated with pIL-2, pIFN-γ, or pIL-4-Fluc constructs, together with pβ-actin-Rluc, as described in “Materials and methods.” After transfection, cells were either left unstimulated (not shown) or stimulated overnight as indicated. For each lymphokine promoter construct and each activation condition, the relative luciferase activity (RLU) corresponds to the ratio of Fluc expression to that of Rluc, and each RLU value is representative of at least 3 independent experiments. RLU obtained for PMA+ionomycin were 123.2 (2.44), 1.77 (0.024), 1.07 (0.81) for pIL-2, pIFN-γ, pIL-4, respectively, with SD in parentheses. Whatever the promoter used, RLU of unstimulated cells was 5- to 15-fold lower than in CD3-stimulated cells (not shown).
To emphasize the inhibitory role of Lptn in the transcription of Th1 but not Th2-type lymphokine genes, inferred from RT-PCR experiments, we transfected into Jurkat cells the constructs for IL-2, IFN-γ, and IL-4 promoters, linked to firefly luciferase gene and analyzed luciferase expression, under similar stimulation conditions (except for duration) as for primary CD4+ T cells. Consistent with the data from primary cells, CD3-activated Jurkat cells showed a 2-fold reduction of IL-2 and IFN-γ promoter induction by Lptn, whereas the IL-4 promoter induction remained unaffected (Figure4C). This inhibitory effect was completely abrogated by the addition of anti-Lptn antibody (Figure 4C), indicative of specificity for Lptn, that was reinforced by the inability of RANTES or its blocking antibody to affect these lymphokine promoter-driven luciferase expressions (Figure 4C). The activity of each promoter was, however, strongly enhanced by a stimulation driven via a combination of either ionomycin or CD3 and PMA (Figure 4C). Taken together, our data show that Lptn impairs Th1 lymphokine secretion at the transcriptional level.
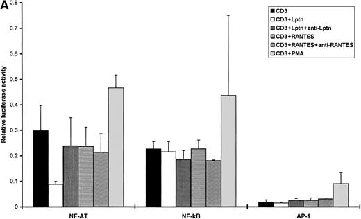
NF-ATc appears to be a target for the Lptn-mediated transcriptional repression
Because the transcriptional factors NF-AT, NF-kB, and AP-1 are involved in the expression of lymphokine genes, their participation as targets for Lptn was investigated, using luciferase reporter plasmids bearing multiple binding sites for these factors. As shown in Figure 5A, only NF-AT but neither NF-ΚB nor AP-1 activities following CD3 stimulation could be specifically inhibited by Lptn to an approximate 3.5-fold level, as controlled by the absence of effect of RANTES and the up-regulation by PMA of the 3 transcription factor activities (Figure 5A). These results suggest that Lptn could link the signals from CD3/TcR to promoters of lymphokine genes characteristic of Th1 cells, mainly through NF-AT modulation of activity. Because both NF-ATc and NF-ATp isoforms are highly expressed in peripheral T cells and strongly activate the IL-2 promoter in transfection assays,40 we wanted to investigate the contribution of these individual NF-AT factors to the Lptn-mediated down-regulation of CD3/TcR-induced IL-2 promoter activity. For this purpose, we cotransfected in Jurkat cells the IL-2 promoter luciferase reporter plasmid in conjunction with expression vectors for NF-ATc/C or NF-ATp, and analyzed luciferase expression. As shown in Figure 5B, NF-ATc/C and NF-ATp expression increased the IL-2 promoter-driven transactivation induced by CD3 stimulation alone. However, the NF-ATp expression did not affect the suppression of CD3-mediated IL-2 promoter induction by Lptn, and the addition of anti-Lptn antibody restored the IL-2 promoter transcription activity to the level induced by CD3 stimulation alone (Figure 5B). In contrast, in the presence of Lptn, NF-ATc/C expression increased the IL-2 promoter transcription activity above the level induced by CD3 stimulation alone, and such a restoration was not abrogated by the anti-Lptn antibody (Figure 5B). As a control of their specificity, the 2 NF-AT factors displayed a similar transacting activity on the NF-AT but not the NF-ΚB–luciferase reporter plasmids (not shown). Altogether these data suggested that NF-ATc/C could overcome the Lptn-mediated inhibition of IL-2 promoter transcription and so, appears to be a better candidate than NF-ATp as a molecular target for Lptn.
NF-AT-but not NF-ΚB- or AP-1-driven transcription is strongly reduced by Lptn.
(A) JA16 cells were electroporated with p5xAP-1, p3xNF-AT, or p2xNF-ΚB-Fluc constructs, activated with the indicated stimuli for overnight. Luciferase expression was measured as described above. The increases in RLU in CD3-stimulated cells as compared with unstimulated cells were approximately of 10-, 1.5-, and 20-fold for NF-ΚB, AP-1, and NF-AT, respectively. Data are representative of at least 4 independent experiments. (B) NF-ATc but not NF-ATp is able to overcome the Lptn-mediated inhibition of IL-2 promoter-driven transcription. JA16 cells were cotransfected with 7.5 μg of pIL-2-FLuc and either the empty pBluescript SK as control (vector), NF-ATp, or NF-ATc/C cDNA expression vectors at the indicated doses. Relative luciferase activity (RLU) was measured in cultures activated overnight with the indicated stimuli, as explained in the legend of Figure 4. Data represent mean values with SD between brackets (ND = not determined) of 5 independent experiments, except for CD3+Lptn+anti-Lptn, where 2 and 1 experiments were done, respectively, with NF-ATc and NF-ATp.
NF-AT-but not NF-ΚB- or AP-1-driven transcription is strongly reduced by Lptn.
(A) JA16 cells were electroporated with p5xAP-1, p3xNF-AT, or p2xNF-ΚB-Fluc constructs, activated with the indicated stimuli for overnight. Luciferase expression was measured as described above. The increases in RLU in CD3-stimulated cells as compared with unstimulated cells were approximately of 10-, 1.5-, and 20-fold for NF-ΚB, AP-1, and NF-AT, respectively. Data are representative of at least 4 independent experiments. (B) NF-ATc but not NF-ATp is able to overcome the Lptn-mediated inhibition of IL-2 promoter-driven transcription. JA16 cells were cotransfected with 7.5 μg of pIL-2-FLuc and either the empty pBluescript SK as control (vector), NF-ATp, or NF-ATc/C cDNA expression vectors at the indicated doses. Relative luciferase activity (RLU) was measured in cultures activated overnight with the indicated stimuli, as explained in the legend of Figure 4. Data represent mean values with SD between brackets (ND = not determined) of 5 independent experiments, except for CD3+Lptn+anti-Lptn, where 2 and 1 experiments were done, respectively, with NF-ATc and NF-ATp.
The inhibition of Lptn-mediated CD4+ T-cell proliferation is overcome by IL-2 or the signal transduction inhibitors, PT, wortmannin, and genistein
Because one mechanism of inhibition of CD4+ T-cell proliferation by Lptn might be due to a decreased IL-2 production, experiments were conducted to examine whether exogenous IL-2 might overcome such an inhibition. Table 2 shows that this was indeed the case because a complete reversion was observed of the 2-fold Lptn-mediated inhibition of CD3-induced thymidine uptake by exogenous IL-2. This reversion was partly abolished by the addition of IL-2Rα mAb (Table 2).
Exogenous IL-2 overcomes the Lptn-mediated inhibition of CD4+ T-cell proliferation
| Stimulus . | [3H]-Thymidine uptake (cpm)* . |
|---|---|
| CD3 | 13.6 (4) |
| CD3 + IL-2 | 17.2 (6) |
| CD3 + anti-IL-2Rα | 4.9 (4) |
| CD3 + Lptn | 6.6 (2) |
| CD3 + Lptn + IL-2 | 16.2 (7) |
| CD3 + Lptn + anti-IL-2Rα | 9.9 (4) |
| CD3 + CD28 | 30 (13) |
| Stimulus . | [3H]-Thymidine uptake (cpm)* . |
|---|---|
| CD3 | 13.6 (4) |
| CD3 + IL-2 | 17.2 (6) |
| CD3 + anti-IL-2Rα | 4.9 (4) |
| CD3 + Lptn | 6.6 (2) |
| CD3 + Lptn + IL-2 | 16.2 (7) |
| CD3 + Lptn + anti-IL-2Rα | 9.9 (4) |
| CD3 + CD28 | 30 (13) |
The CD4+ T cells were purified, activated for 4 days with the indicated stimulus, before an overnight pulse with [3H]-thymidine, as described in “Materials and methods.”
Numbers represent the mean values of cpm, with SD given in parentheses, obtained from triplicate cultures. The data are representative of 4 experiments performed with different donors.
In an attempt to decipher putative signal transduction pathways involved in Lptn-mediated inhibitory effects on CD4+ T-cell proliferation, we checked a panel of various protein kinase inhibitors, in addition to PT, an inhibitor of GPCR, the receptor for Lptn.17 As shown in Table3, pretreatment with PT completely reversed the Lptn-mediated inhibition of CD3-induced proliferation, without any effect on it, in absence of Lptn (not shown). Such a result confirmed the binding to and signaling of Lptn through Gαi class of G proteins. In addition, both wortmannin and genistein released the suppressive effects of Lptn, suggesting that wortmannin- and genistein-sensitive protein kinases are also involved in Lptn signaling (Table 3).
Lptn-mediated inhibition of CD4+ T-cell proliferation is reversed by pertussis toxin, wortmannin, and genistein
| . | [3H]-Thymidine uptake (cpm)3-150 . | |
|---|---|---|
| CD3 stimulation . | CD3 + Lptn stimulation . | |
| Medium | 11 (7) | 4.6 (4) |
| GPCR inhibitor | ||
| Pertussis toxin (0.5 μg/mL) | 13 (9) | 14 (10) |
| PI3K inhibitor | ||
| Wortmannin (5 nmol/L) | 5 (6) | 9.5 (5) |
| MAPK inhibitors | ||
| Anti-MEK (PD98059, 5 μmol/L) | 11 (8) | 4.7 (2) |
| Anti-p38 (FHP1, 0.5 μmol/L) | 11 (7.5) | 4.8 (4) |
| PTK inhibitors | ||
| Genistein (1 μmol/L) | 6.5 (5) | 8.5 (5) |
| Anti-src (PP1, 20 nmol/L) | 9 (6.5) | 4.8 (4) |
| . | [3H]-Thymidine uptake (cpm)3-150 . | |
|---|---|---|
| CD3 stimulation . | CD3 + Lptn stimulation . | |
| Medium | 11 (7) | 4.6 (4) |
| GPCR inhibitor | ||
| Pertussis toxin (0.5 μg/mL) | 13 (9) | 14 (10) |
| PI3K inhibitor | ||
| Wortmannin (5 nmol/L) | 5 (6) | 9.5 (5) |
| MAPK inhibitors | ||
| Anti-MEK (PD98059, 5 μmol/L) | 11 (8) | 4.7 (2) |
| Anti-p38 (FHP1, 0.5 μmol/L) | 11 (7.5) | 4.8 (4) |
| PTK inhibitors | ||
| Genistein (1 μmol/L) | 6.5 (5) | 8.5 (5) |
| Anti-src (PP1, 20 nmol/L) | 9 (6.5) | 4.8 (4) |
The CD4+ T cells were preincubated with either medium or the indicated signal transduction inhibitors and then stimulated for 2 days via CD3 alone, or in presence of Lptn, before determination of [3H]-thymidine uptake, as described in “Materials and methods.”
Values represent the cpm means, with SD in parentheses, obtained from at least 3 independent experiments performed in triplicate cultures.
Lptn displays a differential activity toward CD4+ and CD8+ T-cell activation
Based on our observation that Lptn did not affect the proliferation of unseparated T cells, we examined the effect of Lptn on CD8+ T cells, by measuring their thymidine uptake as well as secretion of IL-2 and IL-4. As can be seen in Figure6, Lptn but not RANTES (not shown) appeared as a potent protagonist of CD8+ T-cell costimulation, almost as potent as CD28 costimulation (Figure 6) or exogenous IL-2 (not shown), in increasing thymidine uptake of purified CD8+ T cells. In the same experiments, Lptn inhibited the thymidine uptake of CD4+ T cells (Figure 6). In a similar fashion to that in CD4+ cells, Lptn only affected Th1 but not Th2 secretion of CD8+ cells, but in this case, by increasing IL-2 but not IL-4 secretion (Table4). It is unclear whether this effect could explain the observed enhancement of CD8+ T-cell proliferation. Such an opposite effect of Lptn on the proliferation of CD4+ and CD8+ subsets was totally abrogated by anti-Lptn Ab (Figure 6), suggesting the specificity of the chemokine, all the more as CD28 costimulation was confirmed in the same experiments, to strongly up-regulate the IL-2 secretion in both subsets, as already known22 23 (Table 4).
Lptn displays a differential activity on CD4+ and CD8+ T-cell proliferation.
CD4+ or CD8+ T cells were purified and activated with the indicated stimuli, for 5 days, including overnight [3H]-thymidine uptake, as described in “Materials and methods.” Results are expressed as stated in legend of Figure 1 and are representative for each activation condition of 7 and 5 independent experiments for the CD4+ and CD8+ subsets, respectively.
Lptn displays a differential activity on CD4+ and CD8+ T-cell proliferation.
CD4+ or CD8+ T cells were purified and activated with the indicated stimuli, for 5 days, including overnight [3H]-thymidine uptake, as described in “Materials and methods.” Results are expressed as stated in legend of Figure 1 and are representative for each activation condition of 7 and 5 independent experiments for the CD4+ and CD8+ subsets, respectively.
Lptn differentially regulates IL-2 but not IL-4 secretion in DC4+ and CD8+ T-cell subsets
| Stimulus . | CD4+ subset4-150 . | CD8+ subset4-150 . | ||
|---|---|---|---|---|
| IL-2 (day 1) . | IL-4 (day 3) . | IL-2 (day 1) . | IL-4 (day 3) . | |
| CD3 | 0.44 | 0.75 | 0.18 | 0.87 |
| CD3 + Lptn | 0.09 | 0.75 | 0.3 | 0.95 |
| CD3 + Lptn + anti-Lptn | 0.39 | 0.74 | 0.21 | 0.84 |
| CD3 + RANTES | 0.44 | 0.67 | 0.21 | 0.88 |
| CD3 + RANTES + anti-RANTES | 0.38 | 0.63 | 0.18 | 0.93 |
| CD3 + CD28 | 2.76 | 0.45 | 2.6 | 0.79 |
| Stimulus . | CD4+ subset4-150 . | CD8+ subset4-150 . | ||
|---|---|---|---|---|
| IL-2 (day 1) . | IL-4 (day 3) . | IL-2 (day 1) . | IL-4 (day 3) . | |
| CD3 | 0.44 | 0.75 | 0.18 | 0.87 |
| CD3 + Lptn | 0.09 | 0.75 | 0.3 | 0.95 |
| CD3 + Lptn + anti-Lptn | 0.39 | 0.74 | 0.21 | 0.84 |
| CD3 + RANTES | 0.44 | 0.67 | 0.21 | 0.88 |
| CD3 + RANTES + anti-RANTES | 0.38 | 0.63 | 0.18 | 0.93 |
| CD3 + CD28 | 2.76 | 0.45 | 2.6 | 0.79 |
The CD4+ and CD8+ T-cell subsets were purified before activation. They were then activated with the indicated stimulus for the indicated times, after which supernatants were collected and analyzed for IL-2 and IL-4 contents by ELISA, as stated in “Materials and methods.”
Data are expressed as concentration mean values in ng/mL and are representative of 4 and 3 independent experiments for the CD4+ and CD8+ T-cell subsets, respectively, except for the conditions using RANTES, where 2 experiments were done for both subsets.
Discussion
Chemotaxis induced by Lptn is now beginning to be well documented in different human cell types and in T cells in particular. Besides this role, no direct effect has been observed for Lptn on T-cell activation. In the present study, we demonstrate that Lptn acts as a direct inhibitor of human CD4+ T-cell proliferation and secretion of Th1 but not Th2 lymphokines. Interestingly, Lptn exerts an opposite effect on CD8+ proliferation and IL-2 secretion. The addition of Lptn antibody to CD4+ T cells activated via CD3 alone induced proliferation of similar intensity to that induced by CD3 and CD28 costimulation (not shown). The same tendency of Lptn antibody was observed toward CD8+ T-cell activation, with an opposite effect (not shown), suggesting that endogenous Lptn, which is optimally produced on CD3 stimulation alone in both subsets, as previously shown by us,31 could also affect T-cell proliferation, at least in vitro.
Interestingly, the soluble form of Lptn was a bit less potent than the coated form in inhibiting proliferation or IL-2 secretion. If aggregation of chemokines seems to be increasingly important for effective chemokine binding to the rolling leukocytes,41 or additional activities, the cause for such a difference of efficacy between the 2 forms is not understood. Alternatively, a contribution of glycosylation in biologic functions of Lptn42 could be proposed and be partly overcome by the coated form of recombinant Lptn.
Notably, a negative involvement of MIP-1α in murine splenic T-cell activation was reported,43 through an inhibition of CD3-induced proliferation and IL-2 production. Lptn did not block the CD4+ T-cell proliferation induced on CD28 costimulation, in conjunction with CD2 or CD3 (not shown). This suggested that Lptn likely interferes most specifically with the TcR complex-associated molecules.
In CD4+ T cells, Lptn highly impairs the secretion of IL-2 and, to a lesser extent, IFN-γ, but spares that of IL-4. This observation suggested either a differential activity of Lptn on Th1- and Th2-type T cells or a differential expression of Lptn receptor on these subsets, as shown for expression of CC and CXC receptors.44-46 If so, Lptn, by inhibiting Th1 but not Th2 lymphokine production, could negatively act on the effectors of cell-mediated immune responses and inflammatory or autoimmune disorders, without affecting humoral responses. We can speculate that the reduction in both IFN-γ secretion and IL-2Rα but not IL-2Rβ expression may be consecutive to the great reduction in IL-2 production, which is in agreement with the known up-regulation by IL-2 of IFN-γ production,47 as well as IL-2Rα expression.20,39 Such speculations are reinforced by the ability of exogenous IL-2 to completely overcome the Lptn-mediated inhibitory effects. As additional consequences, the reduced production of both IL-2 and IFN-γ could potentially lead to down- or up-regulation of expression of both chemokines or their receptors.48
Although Lptn caused a significant decrease in IL-2 and IFN-γ mRNA concentrations, as measured by RT-PCR experiments, the intensity of reduction varied between the donors and seemed to be insufficient to explain the intensity of down-regulation of lymphokine secretion by Lptn, especially of IL-2. This could be explained either by a trivial kinetics shifting, considering that both mRNA and protein levels for IL-2 were measured at the same time (24 hours) and that mRNA expression might have been down-regulated before that of the protein. Alternatively, it suggested that additional regulatory mechanisms occurring at posttranscriptional levels could be involved.
This work showed that the Lptn-mediated decreased activities of Th1 (IL-2, IFN-γ) but not Th2 (IL-4) lymphokine promoter cells was predominantly associated with a reduced activity of NF-AT but not of NF-ΚB or AP-1 activities. The presence of NF-AT49 but also of NF-ΚB and AP-1 binding sites in both Th1 and Th2 lymphokine promoters suggested that the Lptn-mediated specificity toward Th1 lymphokines could be ascribed to a complex regulation. Among the 2 main NF-AT family members expressed predominantly in peripheral T cells, our data show that NF-ATc but not NF-ATp was able to completely oppose the inhibitory effect of Lptn on the CD3-mediated IL-2 promoter induction. The results of transient transfection experiments using NF-AT, NF-ΚB, or AP-1 controlled luciferase reporter genes showed that Lptn suppressed the activity of NF-AT but not of NF-ΚB or AP-1 transcription factors. This observation appears to contradict the observations that (1) a luciferase transgene controlled by multiple NF-AT binding sites appeared approximately 40-fold more active in Th2 than Th1 cells,50 and (2) the synthesis of Th2- but not Th1-type lymphokines was found to be impaired in NF-ATc-deficient T lymphocytes.51,52 However, the concentrations of NF-AT factors do not differ markedly between Th1 and Th2 cells,37and multiple NF-AT binding sites are located within both the Th1 and Th2 promoters.40 Thus the interaction of NF-ATc with 1 or several transcription factors controlling Th1 development53might be a target through which Lptn interferes with the induction of Th1-type lymphokine genes. Interestingly, the reduced NF-AT–driven transcription induced by Lptn could also negatively influence the transactivation of IL-2Rα promoter, as already reported.54
Multiple signaling pathways can be linked to activation by 1 chemokine. In the case of Lptn, as expected from the affiliation of its receptor to the GPCR superfamily,17 and as already demonstrated for its chemotactic activity, we confirmed the engagement by Lptn of a signaling pathway linked to G-proteins, through PT-induced reversion of the inhibition of CD4+ T-cell proliferation, with a plateau effect between 10 ng/mL and 10 μg/mL of PT (not shown). Antiprotein kinase C and anti-Jak2 inhibitors have been tested also, with no detectable effect (not shown). Besides PT, both wortmannin and genistein also overcome this inhibition, suggesting the existence of either more than 1 pathway linked to Lptn signaling or a complex cascade involving both phosphoinositide and tyrosine kinases downstream or upstream the G-protein coupling of Lptn receptor. In line with these results, chemotaxis of NK cells induced by Lptn has been shown to be mediated by a ternary complex including G-proteins, pleckstrin and PI3K.55 Also in support of this, costimulation of human T-cell activation by RANTES was reported to require multiple signaling transducers, involving PT-sensitive G-proteins, and protein tyrosine kinases.11 56
Several studies in murine models have proposed Lptn as an adjuvant of immune responses, promoting antitumor immunity through enhancement of CD8+ T-cell–mediated cytotoxic activity, of CD4+ T-cell proliferation, and cytokine production.57-60 The investigation by such studies of these biologic functions of Lptn on T-cell responses, was analyzed after systemic administration of the protein, and failed to demonstrate a direct effect of Lptn on CD4+ or CD8+ T cells. Hence, in marked contrast to murine studies, our work clearly provides the first demonstration of a differential regulation of CD4+ and CD8+ human T-cell activation, provided directly by a cytokine, belonging to the chemokine superfamily, namely Lptn. By inhibiting normal CD4+ T-cell activation, Lptn can be added to the list of well-known negative regulators of T-cell activation such as CTLA-461 and FasL.62Furthermore, because Lptn was unable to inhibit IL-2 production in response to CD3 and CD28 costimulation, a speculative role of Lptn may be to exert a negative feedback to prevent complete activation of CD4+ T cells, that might have been inappropriately stimulated through CD3/TcR alone, contributing to phenomena such as anergy, apoptosis, and keeping of self-tolerance. The absence of inhibition seen in the case of CD28-costimulated cells may result from the poor efficacy of these cells to produce Lptn, as previously shown by us,31 or from the absence of expression of Lptn receptor on them. By increasing normal CD8+ T-cell activation, Lptn potentially represents a new effector of T-cell costimulation, as for instance exogenous IL-2, remaining, however, much less efficient than CD28 costimulation in increasing IL-2 production (Table 4). In light of this, the role played by Lptn in other CD8+ T-cell responses, such as IFN-γ production and cytotoxic activity is of great interest and is actually under investigation.
Cytokines (such as IFN-γ or IL-4) present during the initiation of a T-cell response by ligation of the TcR have clearly defined and opposite functions in determining the polarization of Th subsets, and then in the different effector responses.63 64 In this context, it remains to be elucidated whether the inhibition of Th1 production by Lptn may also occur after polarization of T cells, in memory or effector precursor cells. Such key information could help us to develop applicable approaches to use Lptn in immunologic intervention, in particular, for replacement of defective T-helper functions. Our work thus opens up a new field for finely controlled biologic functions of Lptn in human T lymphocytes.
Acknowledgments
We are grateful to Y. Collette and R. Castellano for the gift of pβactin-Rluc reporter gene. We thank R. Galindo for technical assistance for FACS analyses.
Supported by INSERM.
Reprints:Chantal Cerdan, INSERM U119, UniversitéMéditerranée, 27 Boulevard Leı̈ Roure, 13009 Marseille, France; e-mail: cerdan@marseille.inserm.fr.
The publication costs of this article were defrayed in part by page charge payment. Therefore, and solely to indicate this fact, this article is hereby marked “advertisement” in accordance with 18 U.S.C. section 1734.
![Fig. 1. Inhibition of human CD4+ T cell proliferation by Lptn. / (A) [3H]-TdR incorporation of 1 × 105cells purified CD4+ T cells activated with plate-bound CD3 mAb for 5 days, in the presence or absence of the following reagents: Lptn or RANTES coated at the same time as CD3 mAb, and their specific antibodies. The [3H]-TdR pulse was undertaken as described in “Materials and methods.” Results are expressed as the mean values of cpm from quadruplicate cultures, obtained from 7 independent experiments. The error bars were derived from standard deviations of the determinations. The 33 × 103 cpm were obtained in response to CD3 and CD28 costimulation (positive control) as compared with 11.5 × 103 cpm for CD3 alone (not shown). (B) The [3H]-TdR incorporation was measured from CD4+ T cells activated in the same conditions as in panel A, except for the presence of soluble instead of coated Lptn. The figure represents the mean values ± SD of 3 independent experiments. (C) The CD4+ T cell [3H]-TdR pulse induced by CD3 stimulation is reduced in a dose-dependent manner by Lptn. Each point of the curve represents the mean ± SD of cpm from 2 independent experiments performed in triplicate.](https://ash.silverchair-cdn.com/ash/content_public/journal/blood/96/2/10.1182_blood.v96.2.420/5/m_bloo01403001ax.jpeg?Expires=1765921288&Signature=Vc0wYdaMNVPK-Zg6Ogt8kBVxXvZyOYsONsPv9~SSHVTCBCXXKzmG1cUKuU4eJSOCBxJre2Y~5nTNqyHPZkRMnrdiyykUQdl9WsUr1ppZNdvmvDHDPzDSoQ-0ilaXnoOypT5LcnLCXjxTEfzJXcrzHSG8c-QoSFcdDmNqSo8RpuzJEF67HyScdYpyYLl6hg6Aef2QpRiC7p-fPe17x62fkopi81cHY3N4a3ln~hSLz02gJzXOLnt93OoD49yRmCAfEL4a6d4Kg3umwwyVkX16O4ZPNGKw4onfobyJ5tNZ4Cfs4~-2Fjb3rL7gtxeS8W9d~4eYjQCFtpzTYWEiRlcRZg__&Key-Pair-Id=APKAIE5G5CRDK6RD3PGA)
![Fig. 1. Inhibition of human CD4+ T cell proliferation by Lptn. / (A) [3H]-TdR incorporation of 1 × 105cells purified CD4+ T cells activated with plate-bound CD3 mAb for 5 days, in the presence or absence of the following reagents: Lptn or RANTES coated at the same time as CD3 mAb, and their specific antibodies. The [3H]-TdR pulse was undertaken as described in “Materials and methods.” Results are expressed as the mean values of cpm from quadruplicate cultures, obtained from 7 independent experiments. The error bars were derived from standard deviations of the determinations. The 33 × 103 cpm were obtained in response to CD3 and CD28 costimulation (positive control) as compared with 11.5 × 103 cpm for CD3 alone (not shown). (B) The [3H]-TdR incorporation was measured from CD4+ T cells activated in the same conditions as in panel A, except for the presence of soluble instead of coated Lptn. The figure represents the mean values ± SD of 3 independent experiments. (C) The CD4+ T cell [3H]-TdR pulse induced by CD3 stimulation is reduced in a dose-dependent manner by Lptn. Each point of the curve represents the mean ± SD of cpm from 2 independent experiments performed in triplicate.](https://ash.silverchair-cdn.com/ash/content_public/journal/blood/96/2/10.1182_blood.v96.2.420/5/m_bloo01403001bx.jpeg?Expires=1765921288&Signature=DsgPAJBbL8cY3bXFyol-1dV-Q7LxCvtCfw7TGzDaA7QQmEYO0HiaSPZ-RGALIksl7bpGbP8yZDcJJOvkBWWRA0dVSIg0kT~CXjcf21PSWsy~mJUQ5bIhiWOVhLmFVdxerZs7loXwGIEYX4kZDxFGNyh~kXOP~V6uDKBf5fMK~yRMBkSoWNE46qV4xVclQIAdMQeQaJb80B9JX-VMfjCuJk2ulgaiwm9b88kGAH-7jYKv24~pra9bAVGgvS73VMd7OaVOF5p-5qgmSXdDDy-syWa~trDnsGyTbiyA8G5MNgzFBg4FlL57HkV-ekALole~0GQHLjsvoflpcMnilgbESg__&Key-Pair-Id=APKAIE5G5CRDK6RD3PGA)
![Fig. 1. Inhibition of human CD4+ T cell proliferation by Lptn. / (A) [3H]-TdR incorporation of 1 × 105cells purified CD4+ T cells activated with plate-bound CD3 mAb for 5 days, in the presence or absence of the following reagents: Lptn or RANTES coated at the same time as CD3 mAb, and their specific antibodies. The [3H]-TdR pulse was undertaken as described in “Materials and methods.” Results are expressed as the mean values of cpm from quadruplicate cultures, obtained from 7 independent experiments. The error bars were derived from standard deviations of the determinations. The 33 × 103 cpm were obtained in response to CD3 and CD28 costimulation (positive control) as compared with 11.5 × 103 cpm for CD3 alone (not shown). (B) The [3H]-TdR incorporation was measured from CD4+ T cells activated in the same conditions as in panel A, except for the presence of soluble instead of coated Lptn. The figure represents the mean values ± SD of 3 independent experiments. (C) The CD4+ T cell [3H]-TdR pulse induced by CD3 stimulation is reduced in a dose-dependent manner by Lptn. Each point of the curve represents the mean ± SD of cpm from 2 independent experiments performed in triplicate.](https://ash.silverchair-cdn.com/ash/content_public/journal/blood/96/2/10.1182_blood.v96.2.420/5/m_bloo01403001cx.jpeg?Expires=1765921288&Signature=FByeTBA9gRTB9KYBBWLfVP4ErtsLf7LfqcoGtfnW4XsH03swre4b~Le4jy0mEhBQi8lUAiZ2V9iwICyQw4SUbpGuhDFlf~aBs7tzW1ZgKp6ql-vHoKotLP3pTY1YqBngr7ViVNW-baNb3cyAIRJ0YYaXlXMjr6DXQoTvXhRAXyG2kOGof4S9YjYBq64BatL9f2kb-MNfZ2dkNyv-ByPFwlG8F~O6Gs94TF5MDPiGHp9nXLLQn7otkSUy~3kMXnG4N01WMycciJw7NFynpS1QY1SqStLnx8daPcl3lpbdKwQgRPmGe-uaQ2hikUk8Mjd1GrXCTvY9ZCWCO6dL9n2TLQ__&Key-Pair-Id=APKAIE5G5CRDK6RD3PGA)







![Fig. 6. Lptn displays a differential activity on CD4+ and CD8+ T-cell proliferation. / CD4+ or CD8+ T cells were purified and activated with the indicated stimuli, for 5 days, including overnight [3H]-thymidine uptake, as described in “Materials and methods.” Results are expressed as stated in legend of Figure 1 and are representative for each activation condition of 7 and 5 independent experiments for the CD4+ and CD8+ subsets, respectively.](https://ash.silverchair-cdn.com/ash/content_public/journal/blood/96/2/10.1182_blood.v96.2.420/5/m_bloo01403006x.jpeg?Expires=1765921288&Signature=q-ank5h4c8m94YrQ47jTXOD4f5HhXPTr7FuQxqYMGh~aYRpId1L2NvC5~Ozxv2MRwfSulZ5QEMqm9hoWzMx9V3-8SzzrA9wi7ngyRYF8J0kCLkAh5LPwwTsjyb8qOI0aDOV6qXsbzrX4-tdJ3JVKqgJL6fP8vHwM5-Y~yrGNQx9LbWukGv9HJzziC89L6QWrWftb33dk7A425HlJu-nMp6iIkNvxJdqj1SIH~ZjRFqGN1JyjWh0ZitA41A5ylN3lhvMt3eIJr~2MVUSwJX6I2CSHZFw~XZUgD~GqYkq910ehYQoTnO5Yw9aW-VZ3B4abXxXcqqjuMvZVs5YMAKyJPg__&Key-Pair-Id=APKAIE5G5CRDK6RD3PGA)
This feature is available to Subscribers Only
Sign In or Create an Account Close Modal