Introduction - Multiple Myeloma (MM) is a hematologic malignancy characterized by clonal growth of differentiated plasma cells (PCs). Despite improvement in MM therapy, the disease remains mostly incurable and is characterized by recurrent relapses with development of resistant clones that eventually lead to patient death. The pathways that lead to resistant and aggressive MM are not fully understood highlighting the need to improve our understanding of MM biology to identify potential new pathways and therapeutical targets. PHD Finger Protein 19 (PHF19) is a regulator of Polycomb Repressive Complex 2 (PRC2), the sole methyltransferase complex capable of catalyzing H3K27me3 to induce and enforce gene repression. PRC2 employs enhancer of zeste homolog 1 and 2 (EZH1/EZH2) as enzymatic subunits to hypermethylate H3K27. While overexpression and gain of function mutations of EZH1/2 have been observed in many cancers the role of this particular pathway in MM remains poorly understood. In the present study, we report on PHF19 as a new candidate gene to play a potential crucial role in MM oncogenesis.
Methods- Gene expression profiling (GEP; Affymetrix U133 Plus 2.0) was performed on 739 MM patients (from total therapy trials [TT] 3-5; low risk MM n=636, high risk MM n=103), 42 patients with monoclonal gammopathy of undetermined significance (MGUS), 73 smoldering MM patients, 42 patients with primary plasma cell leukemia and 34 healthy donors. Myeloma risk was determined by the GEP 70 signature as previously defined. To test the implications of functional PHF19 knock down (KD) we used TRIPZ inducible PHF19 shRNA vs. scrambled control (Dharmacon) in two MM cell lines (JJN3 and ARP1). Real time PCR as well as western blotting was used to confirm PHF19 KD as well as to elucidate the effect on H3K27me3 (Cell Signaling). Functional in vitro studies included proliferation (Promega), clonogenic assays (StemCell), cell cycle and apoptosis assays (both Invitrogen). In vivo studies were performed using SCID mice that were subjected to tail vain injection with PHF19 KD JJN3 cells (n=10) or scrambled shRNA control (n=10). Weekly ELISA (Bethyl) and in vivo imaging (Xenogen) were performed and survival was recorded.
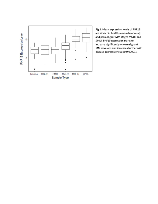
Results- GEP of the previously mentioned patient populations and healthy controls identified PHF19 (chr9q33.2) as a candidate gene that was consistently dysregulated in MM patients. Mean expression levels at different MM stages correlated with disease aggressiveness (ANOVA, p<0.0001), Figure 1. High expression of PHF19 (log2>10.46) at diagnosis correlated significantly with adverse clinical parameters, including ISS III, anemia and elevated LDH, as well as worse overall survival (5 yr OS = 29% for patients with high PHF19 expression vs 77% for patients with low PHF19 expression [log2<10.46], p< 0.0001). These results led us to test the implications of functional PHF19 KD using TRIPZ inducible PHF19 shRNA vs. scrambled control in the JJN3 and ARP1 MM cell lines. PHF19 KD led to a drastic reduction of H3K27me3 thereby resulting in significantly reduced proliferation via cell cycle arrest, while apoptosis was not substantially altered. Clonogenic assays showed a significant reduction in colony numbers and size of MM cells with PHF19 KD compared to the control (>75% reduction in both cell lines, p<0.05). Xenograft studies showed consistently less tumor burden in the mice injected with PHF19 KD cells compared to scrambled control, evident through ELISA testing for IgG Kappa (Median =180 mg/ml for scrambled control vs 80 mg/ml for PHF19 KD at week 8, p=0.07) and bioimaging (Median bioilumisence 2.1x108 p/s for scrambled control vs. 0.8x108 p/s for PHF19 KD at week 8, non-significant). Median OS in mice injected with PHF19 KD cell was substantially longer (66 days) compared to mice subjected to scrambled control cells (54 days), p=0.052.
Conclusion- In summary we show that PHF19 is upregulated in malignant plasma cells of MM patients and that PHF19 expression levels increase with advanced MM stages. High PHF19 expression was a marker of adverse prognosis in our total therapy (TT 3-5) cohort. Most importantly, in-vitro and in-vivo functional studies showed that PHF19 has important biological functions in MM. These results suggest that epigenetic regulation through histone methylation, in particular, H3K27 trimethylation, plays a crucial role in MM and the affected downstream pathways should be further elucidated.
Boyle:Janssen: Honoraria, Other: Travel; Abbvie: Honoraria; Amgen: Honoraria, Other: travel; Takeda: Honoraria, Other: travel; Celgene Corporation: Honoraria, Other: Travel. van Rhee:Kite Pharma: Consultancy; Adicet Bio: Consultancy; Karyopharm Therapeutics: Consultancy; Takeda: Consultancy; Sanofi Genzyme: Consultancy; Castleman Disease Collaborative Network: Consultancy; EUSA: Consultancy. Walker:Celgene: Research Funding.
Author notes
Asterisk with author names denotes non-ASH members.

This feature is available to Subscribers Only
Sign In or Create an Account Close Modal