Abstract
Introduction:
The sFLC assay was introduced in 2006 for diagnosis and monitoring of gammopathies, being currently the normalization of its ratio one of the requirements for defining stringent complete response (sCR). The new sHLC assay allows identifying the different light chain types bound to each heavy chain (i.e. separate the amount of IgG Κ from IgG λ) and may have greater prognostic value than sFLC assay. However, its advantages over immunofixation (IFE) have to be demonstrated and the sHLC assay does not work well for every light chain secretors MM. We wanted to investigate the utility and prognostic impact of serum free-light chains (sFLC) and heavy-light chains (sHLC) studies in multiple myeloma (MM) in the context of three GEM clinical trials (GEM05>65y,GEM05>65y and GEM2010>65y).
Methods and Patients:
Frozen sera from patients were retrospectively analyzed for sFLC and sHLC (623 and 183 patients at diagnosis, respectively) in the context of three GEM/PETHEMA clinical trials. In addition, sHLC measurements performed in 30 healthy individuals were used for control values. After induction, regardless of the achieved response, serum samples were available in 308 cases for sFLC and 89 for sHLC. All patients in which sHLC assay was analyzed were IgG or IgA-MM.
Results and discussion:
In our series, around 95% of the patients had abnormal values of sFLC and sHLC ratios at the time of diagnosis. Normal values did not impact in prognosis, and even when we considered Òvery pathologicalÓ (VP) sFLCr values (0.03-32), no prognostic differences were observed [Figure 1A]. Conversely, after establishing several arbitrary cut-offs, we note that very pathological sHLC values of the ratios (<0.29 or >73) at diagnosis had greater risk of progression (p=0.006) [Figure 1B], confirmed by multivariate analysis ― age [p=0,003; OR 1.04 (1.01-1.06)]; LDH [p= 0.03; OR 0.4 (0.26-0.94)]; VP-sHLCr [p=0.01; OR 1.78 (1.14-2.78)]; high vs low risk FISH [p=0.02; OR 1.75 (1.11-2.74)]―. sHLC non-involved pair suppression (described as a 50% reduction under de lower range limit) at diagnosis wasnÕt related to worse prognosis in our series.
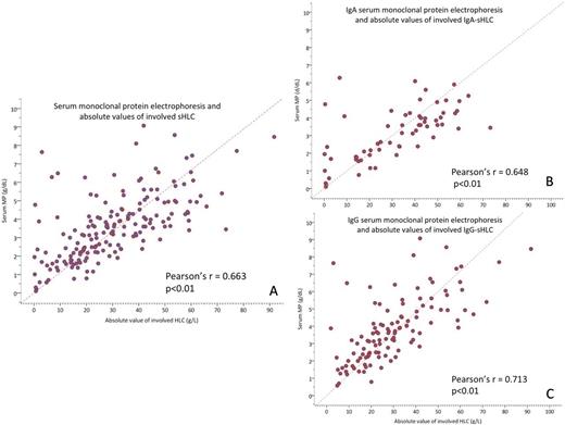
The HLC-involved-Ig values show a strict linear correlation with values of monoclonal protein (MP) by serum protein electrophoresis (sPE) (p= 0,000; Pearson's r=0.676) [Figure 2] and thus the high sensitivity of sHLC for IgA MP should prove useful for monitoring MP migrating within the β fractions.
After treatment, as we might expect, there was a clear association between quality of response and normalization of the sFLC ratio (Pearson's χ2 p<0.001).
Concerning the sFLCr, among the 130 patients in CR after induction, no prognostic difference was observed between patients with a normal (0.26-1.65) vs pathological sFLCr (OS p=0.137; PFS p=0.359). No conclusive results were obtained from the normalization of sHLC in CR due to a low number of samples available for these studies.
Conclusions:
Very pathological (<0.29 or >73) sHLC ratios at diagnosis have bad prognosis impact. However sFLC did not show any prognosis impact. Regarding response measurement sFLC and sHLC did not show any advantages over conventional methods. Additionally, sHLC values are highly related to the M component levels, thus the high sensitivity of sHLC for IgA should prove very useful for monitoring MP migrating within the β fractions.
Impact of "very pathological" (VP) sFLC and sHLC ratios on progression free survival (PFS)
Impact of "very pathological" (VP) sFLC and sHLC ratios on progression free survival (PFS)
Correlation of monoclonal protein (MP) quantification by serum protein electrophoresis (sPE) and HLC-involved-Ig values
Correlation of monoclonal protein (MP) quantification by serum protein electrophoresis (sPE) and HLC-involved-Ig values
San Miguel:Millennium, Celgene, Novartis, Janssen, Onyx, BMS, MSD: Membership on an entity's Board of Directors or advisory committees. Lahuerta:Janssen Cilag, Celgene: Honoraria, Membership on an entity's Board of Directors or advisory committees.
Author notes
Asterisk with author names denotes non-ASH members.


This feature is available to Subscribers Only
Sign In or Create an Account Close Modal