Abstract
Post-remission treatment (PRT) in patients with cytogenetically normal (CN) acute myeloid leukemia (AML) in first complete remission (CR1) is a subject of continued debate. Molecular diagnostic analyses provide additional prognostic information that may be used for a risk adapted approach. While FLT3 internal tandem duplications (FLT3-ITD), particularly FLT3-ITD with a high mutant to wild-type ratio are associated with an unfavorable prognosis, NPM1 mutations in the absence of FLT3-ITD are associated with relatively favorable outcome. Allogeneic hematopoietic stem cell transplantation (alloHSCT) is generally not applied in patients with NPM1 mutations without FLT3-ITD, while the role of alloHSCT and autologous HSCT (autoHSCT) in patients with FLT3-ITD is not settled. In the present study, we compared outcome of PRT with alloHSCT and autoHSCT versus chemotherapy by time-dependent analysis in patients with CN AML in CR1, according to molecular subtype.
A total number of 488 patients were included with newly diagnosed, CN AML, who were treated in HOVON-SAKK phase III trials or in Marseille, France between 1995 and 2013. Patients were excluded if molecular information was not available or if EVI1 overexpression was present. The ratio of FLT3-ITD mutant to wild-type was available for 91% of the patients with FLT3-ITD positive AML. PRT consisted of alloHSCT (n=184) following reduced intensity conditioning (RIC, n=94) or myeloablative conditioning (MAC, n=90), autoHSCT (n=117), or chemotherapy (n=187). Endpoints of this study were 5 year overall survival (OS), relapse-free survival (RFS), relapse and non-relapse mortality (NRM) measured from start of consolidation. All reported estimates of outcome are at 5 years after PRT. To perform a time-dependent statistical analysis of PRTs, a multivariable cox regression model with time-dependent covariates autoHSCT and alloHSCT was applied with adjustment for FLT3-ITD and/or NPM1 mutational status, white blood cell count at diagnosis, late CR, age, and sex.
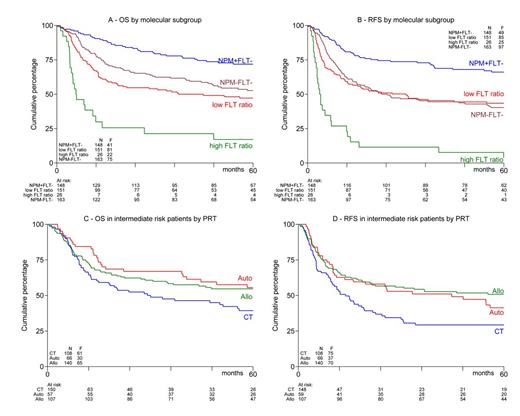
The median age of all patients was 49 (range: 18-65) years, which was not different by type of PRT. A significantly higher proportion of patients that needed two cycles of chemotherapy to reach a CR received an alloHSCT. Both alloHSCT and autoHSCT were more frequently applied in the recent years. Sex, white blood cell count at diagnosis, and FLT3-ITD mutant to wild-type ratio were not significantly different between the types of PRT. Figure 1A/B depicts OS and RFS by molecular subcategory taking the FLT3-ITD allelic ratio into account. Favorable OS was found for patients with NPM1 mutated FLT3-ITD negative AMLs (72±4%), with similar OS for recipients of alloHSCT, autoHSCT, and chemotherapy (69±6%, 77±7%, and, 70±8%, respectively, p=0.56). Outcome in patients with a FLT3-ITD mutant to wild-type ratio of > 0.60 appeared to be very poor with OS and RFS of 17±8% and 4±4%, respectively. In these high risk patients, recipients of chemotherapy (n=13) and autoHSCT (n=3) all relapsed, while 2/5 patients receiving alloHSCT relapsed. Patients with NPM1 negative/FLT3-ITD negative AML or AMLs with a low allelic burden of FLT3-ITD were considered as an intermediate risk group because of similar OS (53±4% and 47±4%, respectively) and RFS (43±4% and 40±4%, respectively). In this intermediate risk group, OS following alloHSCT was 55±4% as compared with 39±5% following chemotherapy (not significant) and RFS was 51±4% vs 29±5%, p=0.004, Figure 1C/D. Multivariable analysis with adjustment for covariates showed better OS (HR 0.69, p=0.04), and better RFS (HR 0.57, p=0.001) following alloHSCT as compared to chemotherapy in this intermediate risk group, with similar results for RIC and MAC. AutoHSCT was associated with a trend towards improved OS (56±6% vs 39±5%, respectively p=0.07, Figure 1C) and significantly improved RFS (41±6% vs 29±5%, p=0.04, Figure 1D) as compared to chemotherapy.
Collectively, these results suggest that alloHSCT may provide better survival than chemotherapeutic PRT in patients with CN, NPM1 negative/FLT3-ITD negative or FLT3-ITD positive AML with a low allelic burden. AutoHSCT may still be an alternative if no donor is available in CR1. Given the poor prognosis in patients with a FLT3-ITD mutant to wild-type ratio of >0.60, we would recommend that particular subgroup for PRT by alloHSCT using sibling or alternative donors early following CR.
No relevant conflicts of interest to declare.
Author notes
Asterisk with author names denotes non-ASH members.

This feature is available to Subscribers Only
Sign In or Create an Account Close Modal