Abstract
Background: The survival of mantle cell lymphoma (MCL) has improved (median OS now >5 years) due to the use of dose-intensive strategies in younger patients (pts) achieving a deeper and earlier response (including molecular CR) and the application of novel therapies in the relapsed/refractory setting, where patients are typically chemoresistant. However, given the median age at onset in the mid to late 60's, and the remaining variability in outcomes, additional strategies are needed. A number of prognostic factors have been reported in MCL including MIPI, Ki67 and blastoid variants among others, the latter being frequently associated with del 17p or p53 mutations and a particularly poor outcome. Recent studies have begun to describe the genomic landscape of MCL by whole-genome, whole-exome and targeted sequencing. However, comprehensive evaluation of genomic alterations relevant for MCL pathogenesis and that could be potentially informative for patient's prognosis and patient's stratification remains to be elucidated.
Methods: We studied 33 FFPE or cryopreserved blood MCL specimens by performing integrated DNA and RNA sequencing (N=18) or DNA sequencing alone (N=15). All samples were obtained at diagnosis before patients received Rituximab-HyperCVAD as frontline therapy. In this MCL cohort, treated at our institution, the median age was 59 y (range 35-75), all were stage IV, median Ki-67 was 30 % (range 5-80%), MIPI was low risk (27%), intermediate risk (30%), high risk (42%), and there were 4 blastoid variants (2 with del 17p by FISH or cytogenetics). Genomic DNA and total RNA were extracted and captured using custom bait-sets targeting all exons of 405 cancer-related genes by DNA-Seq, and 265 frequently rearranged genes by RNA-Seq (FoundationOne Heme). Captured libraries were sequenced to high depth in a CLIA-certified, CAP-accredited, NYS-approved clinical laboratory, with an average depth of 400X for DNA and >8M unique pairs for RNA.
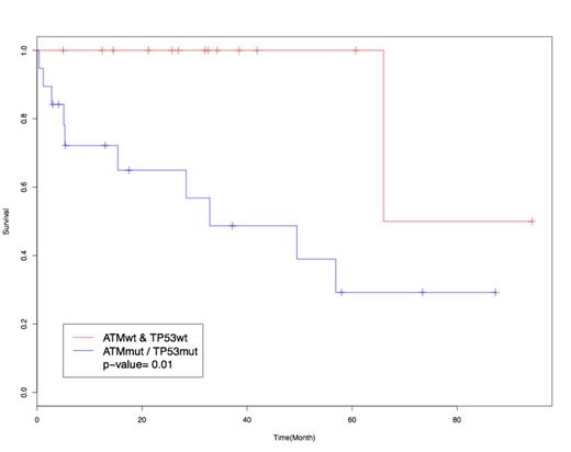
Results: In total, we identified 125 genomic alterations with an average of 3.8 per sample, including 45 base substitutions/indels, 33 truncations, 1 gene amplification, 6 gene deletions, and 40 rearrangements (Figure 1). IGH/CCND1 t(11,14) translocation was detected in 32/33 samples, and CCND1 over-expression was found in all translocation positive cases by RNA-seq, when available. Consistent with published reports, ATM and TP53 were among the most frequently altered genes, found in 45% and 18% of the samples, respectively. Mutations of TP53 and ATM were correlated with the short overall survival (OS) in our cohort. The median OS was not reached in TP53wt pts compared with 5.3 months in TP53mut pts, and not reached in pts with wild-type TP53 and ATM versus 10.4 months in either TP53mut or ATMmut pts (Fisher's exact test p-value=0.01, Figure 2).
Gene alterations of chromatin remodeling pathway were identified in 18 out of 33 samples, including SMARCB1 (4), SMARCA4 (2), ARID1A (3), ARID2 (1), PBRM1 (1), CHD2 (1), WHSC1 (5), MLL2 (2), SETD2 (1), EZH2 (1), and ASXL1 (1). Alterations in SMARCB1 (also known as SNF5 and INI1) and ARID1A, members of the SWI/SNF chromatin-remodeling complex, have not been reported in MCL previously. Other frequently altered genes included NOTCH1/2 (12%), and the cell cycle genes CDKN2A/B (9%). GAs associated with approved agents or clinical trials of targeted therapies were identified in 67% of the samples. The most common genes with potential therapeutic implications were ATM (PARP inhibitors), CDKN2A and CCND1 (CDK4/6 inhibitors) and NOTCH1 (Notch1 inhibitors).
Summary:
1. We identified relevant genomic alterations in MCL patients from baseline peripheral blood and/or tissue (with no significant difference in source of materials) in all samples tested.
2. We discovered novel recurrent mutations in chromatin remodeling genes SMARCB1 and ARID1A in MCL, and demonstrated that 55% of tumors carried alterations in epigenetic regulation overall.
3. In our frontline cohort of MCL patients treated with R-HyperCVAD, we identified the prognostic value of DNA damage response genes ATM and TP53 on outcome. These findings highlight the possibilities for improved prognosis and novel therapeutic strategies based on comprehensive genomic analysis of these pathways
Frequency of genomic alterations in the 33 MCL samples.
Kaplan–Meier overall survival curves according to ATM and TP53 status.
Kaplan–Meier overall survival curves according to ATM and TP53 status.
Wang:Foundation Medicine, Inc.: Employment, Equity Ownership. Nahas:Foundation Medicine, Inc.: Employment, Equity Ownership. Yelensky:Foundation Medicine, Inc.: Employment, Equity Ownership. Otto:Foundation Medicine, Inc.: Employment, Equity Ownership. Lipson:Foundation Medicine, Inc.: Employment, Equity Ownership. He:Foundation Medicine, Inc.: Employment, Equity Ownership. Ross:Foundation Medicine, Inc.: Employment, Equity Ownership. Stephens:Foundation Medicine, Inc.: Employment, Research Funding. Miller:Foundation Medicine, Inc.: Employment, Equity Ownership.
Author notes
Asterisk with author names denotes non-ASH members.


This feature is available to Subscribers Only
Sign In or Create an Account Close Modal