Abstract
In acute myeloid leukemia (AML) the subset with complex karyotype (CK) is traditionally regarded as the worst prognostic group. However, ≥ 3, ≥ 4, or ≥ 5 abnormalities have been variably used for its definition. Recently, monosomal karyotype (MSK) was suggested to indicate an even inferior outcome. We tested which definition fits best to identify the most unfavorable subgroup. After excluding patients with t(15;17)/PML-RARA, t(8;21)/RUNX1-RUNX1T1, inv (16)/t(16;16)/CBFB-MYH11, and normal karyotype, 824 patients with AML with cytogenetic abnormalities were analyzed. Patients with MSK or CK defined as ≥ 3, ≥ 4, or ≥ 5 abnormalities showed an inferior overall survival compared with the respective remaining patients not fulfilling these criteria (for all, P < .001). Hazard ratios were 1.93, 1.68, 1.94, and 1.92. CK ≥ 4 as a single parameter identified the largest proportion of patients with very poor risk. However, combining CK ≥ 4 and MSK detected an even larger number of patients with very unfavorable outcome (261 of 824; 31.7%).
Introduction
Different cytogenetic classifications are used in acute myeloid leukemia (AML). However, the assignment to the unfavorable risk group is largely concordant. Consistently included are −5/5q−, 7q−/−7, −17/abn17p, inv(3)(q21q26)/t(3;3)(q21;q26), and complex karyotype (CK). With respect to CK, the following 3 definitions are used: ≥ 3,1–4 ≥ 4,5 or ≥ 56 unrelated chromosomal abnormalities. Recently, the so-called monosomal karyotype (MSK) defined as a karyotype showing ≥ 2 distinct autosomal chromosome monosomies or 1 single autosomal monosomy in the presence of structural abnormalities was introduced.7,8 It was suggested that patients with MSK have a poor outcome being even inferior to CK. We tested the prognostic power of these differently defined cytogenetic subsets of poor-risk AML to identify the best definition for the prognostically most unfavorable subgroup.
Methods
The study is based on 1959 patients with newly diagnosed AML analyzed between August 2005 and May 2011. We excluded all patients with t(15;17)/PML-RARA, t(8;21)/RUNX1-RUNX1T1, inv(16)/t(16;16)/CBFB-MYH11 (n = 170), and normal karyotype (n = 965). Thus, 824 patients with cytogenetic abnormalities remained for further investigation. 643 patients had de novo AML, 87 had t-AML, and 94 had secondary AML after myelodysplastic syndrome or myeloproliferative neoplasms. All patients with CK were analyzed by 24-color FISH in addition to chromosome banding analysis to resolve the karyotype in detail.9 Patients agreed with the use of laboratory data for research studies. The study was approved by the Munich Leukemia Laboratory Internal Review Board and adhered to the tenets of the Declaration of Helsinki.
Results and discussion
Of the 824 patients in the study, 428 (51.9%) with chromosomal abnormalities showed an intermediate risk karyotype according to revised Medical Research Council (MRC) criteria (MRC-I),5 whereas the remaining 396 cases (48.1%) belonged to the unfavorable MRC group (MRC-U). In addition, we applied the definition of MSK7 and evaluated the numbers of monosomies. In 188 cases (22.8%) ≥ 1 autosomal monosomy was detected. Overall, 285 autosomal monosomies were observed. The most frequent monosomy was −7 (n = 101), followed by monosomies 17 (n = 32), 18 (n = 28), 16 (n = 19), 5 (n = 18), and 3 (n = 17). Only monosomies 7 and 10 occurred as sole chromosome abnormalities in 19 cases and 1 case, respectively. It was found that 164 of 188 cases fulfilled the criteria of MSK. The proportion of cases with MSK was lower in our cohort (164 of 824; 19.9%) compared with the study by Breems et al7 (184 of 733; 25.1%) and Kayser et al10 (319 of 1058; 30%). This is most probably because all cases with CK in our cohort have been analyzed by 24-color FISH in addition to chromosome banding analysis. With this approach many monosomies described by chromosome banding analysis were deciphered as rearranged chromosomes.9,11 Thus, a more accurate cytogenetic evaluation results in a lower proportion of MSK cases.
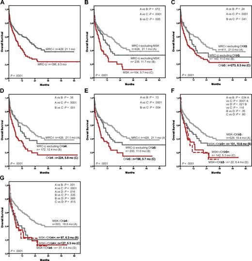
According to revised MRC criteria,5 4 of the 164 cases with MSK were classified MRC-I, whereas 160 were classified MRC-U. The overlap in classification between CK and MRC-U differed depending on the number of aberrations used to define CK (Table 1). As such, the numbers of cases with CK were 273 (33.1%; MRC-I, n = 17; MRC-U, n = 256) with the use of ≥ 3 clonal aberrations, 224 (27.2%; all MRC-U) with the use of ≥ 4 clonal aberrations, and 196 (23.8%; all MRC-U) cases when applying the criterion of ≥ 5 clonal aberrations, respectively. Univariable Cox regression analysis found unfavorable cytogenetics as defined by MRC-U, MSK, CK ≥ 3, ≥ 4, or ≥ 5 unrelated abnormalities as significantly associated with inferior overall survival (OS) compared with the respective remaining patients with aberrant karyotype (for all, P < .001). Hazard ratios were 1.61, 1.93, 1.70, 1.98, and 1.94 (95% CIs, 1.25-2.07, 1.45-2.59, 1.31-2.21, 1.51-2.60, and 1.46-2.58). Median OS in the respective categories was 8.5, 5.7, 6.3, 5.8, and 5.7 months, respectively. We then tested the clinical importance of the 4 different definitions for unfavorable subsets in comparison to the remaining cases separated into MRC-I and MRC-U subsets (Figure 1A-E). In each comparison the median OS was significantly shorter for the subset with MSK or CK defined as ≥ 3, ≥ 4, or ≥ 5 abnormalities compared with the remaining MRC-U cases (5.7 vs 11.7 months, P = .005; 6.3 vs 11.0 months, P = .041; 5.8 vs 12.4 months, P = .001; and 5.7 vs 11.0 months, P = .004). Furthermore, in each comparison OS of the remaining MRC-U cases was compared with OS of the remaining MRC-I cases (Figure 1B-E). No significant differences were observed in contrast to comparing OS between the total MRC-I and MRC-U group (Figure 1A), thus showing that MSK and CK define the most unfavorable prognostic subset within MRC-U.
Distribution of cases within the different subgroups, showing the extent of overlap between subgroups
| . | MRC-I . | MRC-U . | MSK . | CK ≥ 3 . | CK ≥ 4 . | CK ≥ 5 . | OS, mo . |
|---|---|---|---|---|---|---|---|
| MRC-I, n = 428 | 428 | 0 | 4 | 17 | 0 | 0 | 21.1 |
| MRC-U, n = 396 | 0 | 396 | 160 | 256 | 224 | 196 | 8.5 |
| MSK, n = 164 | 4 | 160 | 164 | 142 | 127 | 118 | 5.7 |
| CK ≥ 3, n = 273 | 17 | 256 | 142 | 273 | 224 | 196 | 6.3 |
| CK ≥ 4, n = 224 | 0 | 224 | 127 | 224 | 224 | 196 | 5.8 |
| CK ≥ 5, n = 196 | 0 | 196 | 118 | 196 | 196 | 196 | 5.7 |
| . | MRC-I . | MRC-U . | MSK . | CK ≥ 3 . | CK ≥ 4 . | CK ≥ 5 . | OS, mo . |
|---|---|---|---|---|---|---|---|
| MRC-I, n = 428 | 428 | 0 | 4 | 17 | 0 | 0 | 21.1 |
| MRC-U, n = 396 | 0 | 396 | 160 | 256 | 224 | 196 | 8.5 |
| MSK, n = 164 | 4 | 160 | 164 | 142 | 127 | 118 | 5.7 |
| CK ≥ 3, n = 273 | 17 | 256 | 142 | 273 | 224 | 196 | 6.3 |
| CK ≥ 4, n = 224 | 0 | 224 | 127 | 224 | 224 | 196 | 5.8 |
| CK ≥ 5, n = 196 | 0 | 196 | 118 | 196 | 196 | 196 | 5.7 |
Overall survival of patients with AML and an intermediate or unfavorable karyotype according to revised MRC criteria. (A) Survival of patients with intermediate compared with unfavorable cytogenetics. (B) Survival of patients with MSK compared with patients with intermediate or unfavorable cytogenetics without MSK. (C) Survival of patients with CK defined as ≥ 3 unrelated abnormalities compared with patients with intermediate or unfavorable cytogenetics without CK. (D) Survival of patients with CK defined as ≥ 4 unrelated abnormalities compared with patients with intermediate or unfavorable cytogenetics without CK. (E) Survival of patients with CK defined as ≥ 5 unrelated abnormalities compared with patients with intermediate or unfavorable cytogenetics without CK. (F) Survival of patients fulfilling definition of CK defined as ≥ 3 unrelated abnormalities and MSK compared with patients with MSK not fulfilling the criteria of CK compared with patients with CK but not MSK compared with patients with neither CK nor MSK. (G) Survival of patients fulfilling definition of CK defined as ≥ 4 unrelated abnormalities and MSK compared with patients with MSK not fulfilling the criteria of CK compared with patients with CK but not MSK compared with patients with neither CK nor MSK.
Overall survival of patients with AML and an intermediate or unfavorable karyotype according to revised MRC criteria. (A) Survival of patients with intermediate compared with unfavorable cytogenetics. (B) Survival of patients with MSK compared with patients with intermediate or unfavorable cytogenetics without MSK. (C) Survival of patients with CK defined as ≥ 3 unrelated abnormalities compared with patients with intermediate or unfavorable cytogenetics without CK. (D) Survival of patients with CK defined as ≥ 4 unrelated abnormalities compared with patients with intermediate or unfavorable cytogenetics without CK. (E) Survival of patients with CK defined as ≥ 5 unrelated abnormalities compared with patients with intermediate or unfavorable cytogenetics without CK. (F) Survival of patients fulfilling definition of CK defined as ≥ 3 unrelated abnormalities and MSK compared with patients with MSK not fulfilling the criteria of CK compared with patients with CK but not MSK compared with patients with neither CK nor MSK. (G) Survival of patients fulfilling definition of CK defined as ≥ 4 unrelated abnormalities and MSK compared with patients with MSK not fulfilling the criteria of CK compared with patients with CK but not MSK compared with patients with neither CK nor MSK.
This is the first study to evaluate the 4 currently used definitions of the most unfavorable subset of AML, applying these definitions on a large cohort of patients and excluding only those with favorable and normal karyotypes (824 of 1959; 42.1%). Grimwade et al5 evaluated the effect of complexity, excluding patients with chromosome 5, 7, and 17p abnormalities (860 of 5876; 14.6%), and concluded that patients with ≥ 4 unrelated abnormalities exhibited a significantly poorer prognosis (hazard ratio, 1.58), which is in line with our results. Breems et al only compared CK ≥ 3 and CK ≥ 5 with MSK but did not analyze CK ≥ 4.7 They found that 34 cases fulfilling the criteria of MSK but not CK ≥ 3 showed an unfavorable outcome comparable to 150 cases fulfilling both criteria, whereas 70 patients with CK ≥ 3 but lacking features of MSK showed an outcome comparable to patients without both CK ≥ 3 and MSK. In our cohort 22 cases were MSK+/CK ≥ 3−, 142 MSK+/CK ≥ 3+, and 131 MSK−/CK ≥ 3+. In line with the study by Breems et al outcome of MSK+/CK ≥ 3+ and MSK+/CK ≥ 3− did not differ and were both worse compared with MSK−/CK ≥ 3+ (Figure 1F).7 However, performing the respective analysis for CK ≥ 4 showed that the subset of 97 cases with MSK−/CK ≥ 4+ showed the same unfavorable outcome as MSK+/CK ≥ 4− (n = 37) and MSK+/CK ≥ 4+ (n = 127; Figure 1G). Therefore, applying MSK as the sole most unfavorable parameter would miss 97 cases with poor outcome, whereas the definition CK ≥ 4 does not identify 37 cases. Thirty of these 37 cases showed a −7 and 16 and 3q26/EVI1 rearrangement; only 7 cases showed neither −7 nor 3q26/EVI1 rearrangement. The comparison of cases with 3q26/EVI1 rearrangements without an additional monosomy versus cases with both a 3q26/EVI1 rearrangement and a MSK versus cases with MSK but without 3q26/EVI1 rearrangement yielded no differences in outcome (supplemental Figure 1, available on the Blood Web site; see the Supplemental Materials link at the top of the online article). Furthermore, comparison of cases with sole −7 and AML with MSK showed no differences in survival (supplemental Figures 2-3). Thus, the reason for MSK identifying more patients with unfavorable prognosis is largely because of cases with a 3q26/EVI1 rearrangement or a sole −7, for which an association with unfavorable outcome was shown in previous studies.5,12,13 Although none of the analyzed definitions is perfect and CK ≥ 4 identifies the largest cohort with unfavorable outcome, the combination of CK ≥ 4 and MSK will miss the least number of patients with unfavorable prognosis.
In conclusion, all definitions of very poor risk AML allow clinicians to identify a subset within MRC-U that shows significantly shorter OS than the remaining MRC-U cases. CK defined as ≥ 4 unrelated abnormalities clearly identifies the largest proportion of patients with very poor risk, particularly compared with MSK. However, MSK is still capable of identifying ∼ 5% of patients with poor-risk karyotypes who are not classified as CK ≥ 4. Therefore, we suggest that the most reasonable approach is the combined application of the categories CK ≥ 4 and MSK for prognostication and clinical guidance in AML. Novel therapeutic options have to be evaluated in this subset because allogeneic hematopoietic stem cell transplantation resulted in a limited improvement of OS as shown in a recently published study.10
The online version of this article contains a data supplement.
The publication costs of this article were defrayed in part by page charge payment. Therefore, and solely to indicate this fact, this article is hereby marked “advertisement” in accordance with 18 USC section 1734.
Acknowledgments
The authors thank all coworkers in their laboratory for excellent technical assistance as well as all physicians for referring sample material to their center. The centers and investigators (contributing ≥ 10 cases) in order of the number of cases provided are listed as follows: Vivantes Klinikum Neukölln, Berlin (A. Grüneisen), Klinikum Krefeld (M. Planker), Krankenhaus Düren (M. Flaßhove), Johanniter Krankenhaus Bonn (Y. Ko), Städtisches Krankenhaus München-Schwabing (C. Wendtner), Universitätsklinikum Marburg (A. Neubauer), Asklepios Klinik St Georg (N. Schmitz), Krankenhaus Barmherzige Brüder Regensburg (J. Braess), and Städtisches Klinikum Kassel (M. Wolf).
Authorship
Contribution: C.H. and T.H. performed and designed the study; T.A. and W.K. performed data analysis; C.H. was responsible for chromosome banding analysis and FISH; S.S. was responsible for molecular analysis; and all authors contributed to the writing of the manuscript and approved the final version.
Conflict-of-interest disclosure: C.H., S.S., W.K., and T.H. declare part ownership of the Munich Leukemia Laboratory. T.A. is employed by the Munich Leukemia Laboratory. The remaining authors declare no competing financial interests.
Correspondence: Claudia Haferlach, MLL Munich Leukemia Laboratory, Max-Lebsche-Platz 31, Munich, 81377 Germany; e-mail: claudia.haferlach@mll.com.

This feature is available to Subscribers Only
Sign In or Create an Account Close Modal