Abstract
To understand the molecular basis for the rapid and robust memory T-cell responses, we examined gene expression and chromatin modification by histone H3 lysine 9 (H3K9) acetylation in resting and activated human naive and memory CD8+ T cells. We found that, although overall gene expression patterns were similar, a number of genes are differentially expressed in either memory or naive cells in their resting and activated states. To further elucidate the basis for differential gene expression, we assessed the role of histone H3K9 acetylation in differential gene expression. Strikingly, higher H3K9 acetylation levels were detected in resting memory cells, prior to their activation, for those genes that were differentially expressed following activation, indicating that hyperacetylation of histone H3K9 may play a role in selective and rapid gene expression of memory CD8+ T cells. Consistent with this model, we showed that inducing high levels of H3K9 acetylation resulted in an increased expression in naive cells of those genes that are normally expressed differentially in memory cells. Together, these findings suggest that differential gene expression mediated at least in part by histone H3K9 hyperacetylation may be responsible for the rapid and robust memory CD8+ T-cell response.
Introduction
Differentiation of naive CD8+ T cells to memory cells after antigenic stimulation is an essential process for establishing long-lasting protective immunity against viruses, intracellular bacteria, and tumors. During this differentiation process, memory CD8+ T cells acquire novel properties that are distinct from their naive CD8+ T-cell precursors, including the ability to mount a rapid and robust response on antigen re-encounter.1-3 Substantial progress has been made in the past decade in understanding the phenotypic and functional characteristics of naive and memory CD8+ T cells.3,4 However, the molecular mechanisms responsible for the enhanced responsiveness of memory T cells are largely unknown.
Recent application of DNA microarray technology to assess global gene expression provides some insights into the transcriptional changes in memory T cells.5-10 At the gene expression level, memory CD8+ T cells were reported to differentially express (relative to naive CD8+ T cells) genes that facilitate memory cell function, including those associated with cytokine production and effector activity.8-10 These gene expression changes account for some functional differences between naive and memory T cells but do not address the mechanisms of the differential gene expression. In addition, it has also been shown that in response to activation in vitro, human memory CD4+ T cells express higher levels yet similar number of the activation-induced genes than do naive cells.11 These qualitative and quantitative changes in gene expression after activation may provide a general paradigm for naive to memory T-cell progression. However, activation-induced gene expression changes in human naive and memory CD8+ T cells have not been determined at the whole genome level, and the mechanisms underlying the enhanced expression of effector function-related genes in memory T cells in general remain undefined.
Modification of chromatin structure via covalent chemical changes (acetylation, methylation, phosphorylation, etc) of histone amino-terminal tails has become increasingly recognized as critical to controlling gene expression.12-14 Accumulating evidence suggests that specific modifications of histone tails or combinations thereof can define the actual or potential transcriptional states.15,16 Acetylation of histone H3 lysine 9 and 14, and H4 lysine 8 is associated with accessible chromatin structure for transcription, whereas methylation of H3 lysine 9 is associated with gene silencing.16-19 In T cells, histone acetylation was observed in the loci of interleukin 4 (IL-4) and interferon γ (IFN-γ) genes during T-cell differentiation to effector cells, where it was associated with elevated transcription.20,21 Furthermore, induced histone hyperacetylation by treatment with histone deacetylase inhibitors (HDACIs) results in altered expression of certain genes in lymphocytes.22,23 Because modified histones can transmit epigenetic information from one cell to its descendants, this mechanism has the potential to transmit memory during clonal expansion.
In the present study, we have examined transcriptional changes at the whole genome level in human naive and memory CD8+ T cells in response to in vitro activation and the differences in histone H3K9 acetylation in the promoters of those differentially expressed genes between naive and memory CD8+ T cells. First, we identified commonly and differentially expressed genes in memory and naive CD8+ T cells at resting and activated states, providing the first glimpse of the transcriptional makeup of memory cells at resting and activated states. We then showed an association of differential gene expression with higher H3K9 acetylation levels in their promoter region in both resting and activated memory CD8+ T cells, and elevated H3K9 acetylation levels in resting memory cells that are poised for activation-induced rapid transcription. Finally, we showed that an increase of H3K9 acetylation levels resulted in an increased expression in memory cell differentially expressed genes in naive cells. Together, these findings suggest that histone H3K9 hyperacetylation may be responsible for the differential and rapid gene expression in memory CD8+ T cells in response to antigen reexposure and thus provide a molecular basis for memory T-cell response.
Materials and methods
Isolation and stimulation of naive and memory CD8+ T cells
Peripheral blood was obtained from healthy adults via the NIA Clinical Core Facility (IRP-approved protocol MRI2003-054, “Cytapheresis of Volunteer Donors”). The protocol was approved from the National Institute on Aging, National Institutes of Health, review board for these studies. Informed consent was provided according to the Declaration of Helsinki. The procedure for isolation and stimulation of naive and memory CD8+ T cells was previously described.24 In brief, naive and memory CD8+ T cells were enriched from peripheral blood mononuclear cells (PBMCs) by immunomagnetic separation and then further isolated by cell sorting (MolFlow; Dako Cytomation, Carpentaria, CA) based on the expression of CD8, CD27, and CD45RA (Caltag, Burlingame, CA). The purity of sorted naive and memory CD8+ T cells was greater than 96%. The sorted naive and memory CD8+ T cells were incubated with anti-CD3 and anti-CD28 Ab (anti-CD3/CD28) coupled magnetic beads (Invitrogen, Carlsbad, CA) at the cell-bead ratio of 1:1 in RPMI-1640 with 10% fetal bovine serum and penicillin (10 U/mL)/streptomycin (10 μg/mL) (Invitrogen). The stimulated cells and culture supernatants were harvested at a specified time for gene expression, H3K9 acetylation, cytotoxicity, and cytokine analyses.
DNA microarray experiment
Total RNA was extracted from freshly isolated and stimulated (at 16 and 72 hours) naive and memory CD8+ T cells from 15 different healthy donors. The quality and quantity of total RNA were analyzed by an Agilent Bioanalyzer (Agilent Technologies, Palo Alto, CA). To minimize the differences among individuals that may exist, equal amounts of RNA from 3 donors were combined to generate 5 different RNA pools. Three pools of RNA were used in the microarray experiment, and all 5 pools of RNA were used in real-time quantitative reverse transcriptase–polymerase chain reaction (RT-PCR) confirmation. We used Agilent Whole Human Genome Oligo Chip (Agilent Technologies) for gene expression analysis according to the manufacturer's procedure. Total RNA (400 ng) was used to make a probe through one round of amplification and was followed by cRNA synthesis in the presence of 0.3 mM cyanine 3-CTP (Cy3). In parallel, cyanine 5-CTP (Cy5) was used to label universal human reference RNA (Stratagene, La Jolla, CA). The quantity of amplified cRNA was measured by NanoDrop (Agilent Technologies), and 750 ng cyanine 3-labeled cRNA and 750 ng Cy5-labeled reference cRNA were mixed in a volume of 500 μL hybridization solution with the gene chip at 60°C for 17 hours. After a standard washing step, the slide was air-dried by nitrogen gas and scanned by the Agilent microarray scanner. The output file consisted of processed signal intensities from Cy3 and Cy5 fluorescent channels of 32 769 known genes or transcripts per gene chip using Feature Extraction software (Agilent Technologies). A modified ANOVA analysis was used on log-transformed data (see the website for details, http://lgsun.grc.nia.nih.gov/ANOVA/) and the statistical significance was determined using the false discovery rate (FDR).25 Genes that met both the FDR less than 0.05 and the signal intensity difference greater than 2 were defined as differentially expressed.
Real-time quantitative RT-PCR
Primers of PCR were designed by using the Primer Express software (Applied Biosystems, Foster City, CA) and sequence information can be found in Table S1 (available at the Blood website; see the Supplemental Materials link at the top of the online article). To prepare cDNA, 10 μg of 5 pooled RNA of naive and memory CD8+ T cells was mixed with 6 μg yeast RNA and treated with RNase-free DNase to remove any residual chromosomal DNA. DNA-free RNAs were used as the templates to prepare cDNA by reverse transcriptase (SuperScript II; Invitrogen) based on the manufacturer's instructions. PCR was carried out in 25 μL total volume with 0.1 μM primers using a SyBr Green kit (Applied Biosystems) for 40 cycles. The specific amplification of RT-PCR products was confirmed by agarose (2.5%) gel electrophoresis. The threshold cycle (Ct) of genes was normalized with that of β-actin.
Measurement of cytokines
The culture supernatants were collected at 24, 48, and 72 hours for measurement of 17 different cytokines (IL-1b, IL-2, IL-4, IL-5, IL-6, IL-8, IL-10, IL-12 [p70], IL-13, IL-17, CSF2, CSF3, CCL2, CCL4, IFN-γ, and TNF-α) by Bio-Plex protein array system following the manufacturer's instructions (Bio-Rad, Hercules, CA).
Redirected cytotoxicity assay
The cytotoxicity of naive and memory CD8+ T cells was determined by the redirected cytotoxicity assay.24 Briefly, 5 million Fas– L1210 target cells were labeled with 200 μCi (7.4 MBq) 51Cr in 250 μL fetal bovine serum for 1 hour at 37°C and then were biotinylated with 0.2 mM sulfobiotin-X-NHS (EMD Biosciences, San Diego, CA) in HEPES-saline, pH 7.4, for 30 minutes at 4°C, washed, and incubated with 20 μg/mL streptavidin (Sigma-Aldrich, St Louis, MO) in HEPES with 1% BSA for 30 minutes at room temperature. Naive and memory CD8+ T cells were mixed with the target cells in culture medium at effector-target (E/T) ratios from 30:1 to 0.3:1 in the presence or absence of 2.5 μg/mL biotinylated anti-CD3 (mAb UCHT-1). After 4 hours of incubation the supernatants were harvested and the radioactivity was counted in a gamma counter. The corrected percentage of lysis was calculated from the released 51Cr, with the spontaneous release subtracted.
Inhibition of histone deacetylase activity by Trichostatin A
Trichostatin A (TSA; EMD Biosciences), a HDAC inhibitor, was dissolved in ethanol and applied to freshly isolated naive CD8+ T cells at 1 μMinthe presence of anti-CD3/CD28 antibody based on previous reports.22 Cells were harvested at 24 hours after treatment for RT-PCR and chromatin immunoprecipitation (ChIP) analyses.
Chromatin immunoprecipitation (ChIP) assay
We used a kit from Upstate Biotech (Lake Placid, NY) and followed the manufacturer's protocol. Briefly, crosslinking of chromosomal DNA of resting and stimulated naive or memory CD8+ T cells was carried out by incubating with 1% formaldehyde at 37°C for 10 minutes and washing twice with cold PBS containing protease inhibitor cocktail (Complete; Roche, Indianapolis, IN). The cells were lysed with lysis buffer, and the chromosomal DNA was then sheared with sonication (Sonic Dismembrator Model 100; Fisher Scientific, Pittsburgh, PA). To eliminate nonspecific binding, the samples were incubated with protein-A–conjugated agarose at 4°C for 20 minutes, and the supernatant was then mixed with 6 μg anti–acetyl-histone H3 (Lys9) antibody (Upstate Biotech) or the same amount of rabbit IgG overnight at 4°C, followed by incubation with protein-A–conjugated agarose for 1 hour. After washing in low salt, high salt, LiCl, and TE buffer sequentially, the histone complex was eluted with 250 μL elution buffer twice at room temperature for 15 minutes. DNA was released by adding 20 μL 5M NaCl and incubated at 65°C for 4 hours and further purified by phenol/chloroform extraction and ethanol precipitation. Immunoprecipitated DNA was used for analysis of promoter regions of selected genes by real-time PCR. The primer sequences and their corresponding promoter regions can be found in Table S2. The ChIP assay was performed on resting and activated naive and memory CD8+ T cells from a total of 4 to 10 independent donors.
Statistical analysis
Student t test was used in analysis of the levels of histone H3K9 acetylation of those differentially expressed genes and those similarly expressed genes between naive and memory CD8+ T cells. A z test was used to find the probability that the ratios of histone H3K9 acetylation levels between naive and memory cells were significant or not. A z test was also used to determine the significance in H3K9 acetylation levels between TSA-treated and nontreated naive cells. The significance was defined by a P value less than .05 (for both Student t test and z test) and an intensity difference greater than 2.0.
Results
Identification of differentially expressed genes in memory and naive CD8+ T cells
To understand the molecular mechanisms of human memory CD8+ T-cell response, we analyzed gene expression profile at the whole genome scale of naive and memory CD8+ T cells. Naive and memory CD8+ T cells were isolated from peripheral blood of 15 healthy donors based on their surface expression of CD45RA and CD275 by cell sorting, and Agilent whole genome microarray chip was used for gene expression profiling analysis. Three independent microarray experiments were carried out with 3 pooled RNAs from a total of 9 donors. Differentially expressed genes were selected based on statistical analysis (FDR ≤ 0.05) and intensity change (fold ≥ 2). Selected differentially expressed genes were further confirmed by the real-time RT-PCR with the same pools and additional 2 pools of RNA to ensure the changes identified here were common between human naive and memory CD8+ T cells. The confirmation rate was 92.5% (134 of 145 genes/time points). Overall, we identified 72 genes or transcripts that were differentially expressed in memory CD8+ T cells and 21 genes or transcripts that were differentially expressed in naive CD8+ T cells from assessing more than 30 000 unique genes or transcripts (Table S3).
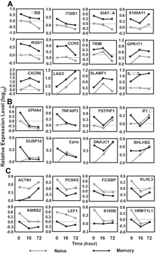
On the basis of their known functions, these differentially expressed genes were further divided into 6 groups: (1) cell adhesion, (2) cell proliferation, (3) signal transduction, (4) immune response, (5) structure and metabolism, and (6) regulation of transcription (Table 1; Figure 1). Some of the memory cell differentially expressed genes (such as KLRB1, GMZK, CCR5, CXCR6, SLAMF1, CEBPD, RAS1, and ITGB1) were involved in the fast effector response of memory cells, whereas others (such as IL18R1, IFI44, TNFAIP3, CREM, and DNAJC1) participate in cellular structure and transcription (Figure 1A-B). Although only a few genes were differentially expressed in naive cells, we identified genes that were consistently higher expressed in naive cells than in memory cells (ACTN1, AK5, FCGBP, LEF1, etc) (Figure 1C). To further analyze the kinetic changes of these genes after activation, we found that approximately half of the memory cell differentially expressed genes maintained or increased their expression differences to naive cells at 16- and 72-hour time points after activation in vitro (Figure 1A) and that the other half of the genes diminished or reversed the difference to the naive CD8+ T cells after activation (Figure 1B). (The complete sets of the microarray data can be found in Tables S4-S7.) Together, these findings provide a transcriptional basis for some unique features of memory CD8+ T cells; although the roles of most of those memory cell differentially expressed genes in memory cell response remain to be determined.
Differentially expressed genes in memory and naive CD8+ T cells*
Gene name . | Gene symbol . | Accession no. . | Function . | Group† . |
|---|---|---|---|---|
| Memory cells highly expressed genes | ||||
| Integrin, beta 1 | ITGB1 | NM_002211 | Cell adhesion and signal transduction | M-1 |
| Proline-serine-threonine phosphatase interacting protein 1 | PSTPIP1 | NM_003978 | Cell adhesion and signal transduction | M-2 |
| Epstein-Barr virus induced gene 2 | EBI2 | NM_004951 | G-protein coupled receptor signaling | M-1 |
| Platelet activating receptor homolog | GPR171 | AF002986 | G-protein coupled receptor signaling | M-1 |
| G protein-coupled receptor 65 | GPR65 | BC035633 | G-protein coupled receptor signaling | M-2 |
| Arachidonate 5-lipoxygenase-activating protein | ALOX5AP | NM_001629 | Immune response | M-1 |
| Chemokine (C-C motif) receptor 5 | CCR5 | NM_000579 | Immune response | M-1 |
| Chemokine (C-X-C motif) receptor 6 | CXCR6 | NM_006564 | Immune response | M-1 |
| Granzyme K | GZMK | NM_002104 | Immune response | M-1 |
| Killer cell lectin-like receptor subfamily B-1 | KLRB1 | NM_002258 | Immune response | M-1 |
| Interferon-induced protein 44 | IFI44 | NM_006417 | Immune response | M-2 |
| Interleukin 18 receptor 1 | IL18R1 | NM_003855 | Immune response | M-2 |
| Interleukin 18 receptor accessory protein | IL18RAP | NM_003853 | Immune response | M-2 |
| S100 calcium binding protein A11 (calgizzarin) | S100A11 | NM_005620 | Regulation of cell proliferation | M-1 |
| Signaling lymphocytic activation molecule family 1 | SLAMF1 | NM_003037 | Regulation of cell proliferation | M-1 |
| CCAAT/enhancer binding protein delta | CEBPD | NM_005195 | Regulation of transcription | M-1 |
| Sin3-associated polypeptide | SAP30 | NM_003864 | Regulation of transcription | M-1 |
| Basic helix-loop-helix domain containing class B-2 | BHLHB2 | NM_003670 | Regulation of transcription | M-2 |
| Tumor necrosis factor, alpha-induced protein 3 | TNFAIP3 | NM_006290 | Regulation of transcription | M-2 |
| cAMP responsive element modulator | CREM | NM_183013 | Regulation of transcription | M-2 |
| Regulator of G-protein signaling 1 | RGS1 | NM_002922 | Signal transduction | M-1 |
| Dual specificity phosphatase 10 | DUSP10 | NM_007207 | Signal transduction | M-2 |
| EphA4 | EPHA4 | NM_004438 | Signal transduction | M-2 |
| Protein kinase C and casein kinase substrate in neurons 1 | PACSIN1 | NM_020804 | Signal transduction | M-2 |
| Regulator of G-protein signaling 2, 24 kDa | RGS2 | NM_002923 | Signal transduction | M-2 |
| T-cell receptor interacting molecule | TRIM | NM_016388 | Signal transduction | M-1 |
| Interleukin 4 induced 1 | IL4I1 | NM_172374 | Structure and metabolism | M-1 |
| Lymphocyte-activation gene 3 | LAG3 | NM_002286 | Structure and metabolism | M-1 |
| Sialyltransferase 8A | SIAT8A | NM_003034 | Structure and metabolism | M-1 |
| DnaJ (Hsp40) homolog, subfamily C, member 1 | DNAJC1 | NM_022365 | Structure and metabolism | M-2 |
| Villin 2 (ezrin) | Ezrin | AF188896 | Structure and metabolism | M-2 |
| Wiskott-Aldrich syndrome protein interacting protein | WASPIP | NM_003387 | Structure and metabolism | M-2 |
| Naive cells highly expressed genes | ||||
| Nerve growth factor receptor associated protein 1 | NGFRAP1 | NM_014380 | Immune response | N-1 |
| Fc fragment of IgG binding protein | FCGBP | NM_003890 | Immune response | N-1 |
| Adenylate kinase 5 | AK5 | BC012467 | Signal transduction | N-1 |
| Lymphoid enhancer-binding factor 1 | LEF1 | NM_016269 | Signal transduction | N-1 |
| Proprotein convertase subtilisin/kexin type 5 | PCSK5 | NM_006200 | Signal transduction | N-1 |
| Mal, T-cell differentiation protein | MAL | NM_002371 | Signal transduction | N-2 |
| SNF-1 related kinase | SNRK | NM_017719 | Signal transduction | N-2 |
| HMT1 hnRNP methyltransferase-like 1 | HRMTIL1 | NM_001535 | Signal transduction | N-2 |
| Actinin, alpha 1 | ACTN1 | NM_001102 | Structure and metabolism | N-1 |
| Keratin protein K6irs | K6IRS2 | NM_080747 | Structure and metabolism | N-1 |
| Kelch-like 3 (Drosophila) | KLHL3 | NM_017415 | Structure and metabolism | N-1 |
| S100 calcium binding protein, beta (neural) | S100B | NM_006272 | Structure and metabolism | N-2 |
Gene name . | Gene symbol . | Accession no. . | Function . | Group† . |
|---|---|---|---|---|
| Memory cells highly expressed genes | ||||
| Integrin, beta 1 | ITGB1 | NM_002211 | Cell adhesion and signal transduction | M-1 |
| Proline-serine-threonine phosphatase interacting protein 1 | PSTPIP1 | NM_003978 | Cell adhesion and signal transduction | M-2 |
| Epstein-Barr virus induced gene 2 | EBI2 | NM_004951 | G-protein coupled receptor signaling | M-1 |
| Platelet activating receptor homolog | GPR171 | AF002986 | G-protein coupled receptor signaling | M-1 |
| G protein-coupled receptor 65 | GPR65 | BC035633 | G-protein coupled receptor signaling | M-2 |
| Arachidonate 5-lipoxygenase-activating protein | ALOX5AP | NM_001629 | Immune response | M-1 |
| Chemokine (C-C motif) receptor 5 | CCR5 | NM_000579 | Immune response | M-1 |
| Chemokine (C-X-C motif) receptor 6 | CXCR6 | NM_006564 | Immune response | M-1 |
| Granzyme K | GZMK | NM_002104 | Immune response | M-1 |
| Killer cell lectin-like receptor subfamily B-1 | KLRB1 | NM_002258 | Immune response | M-1 |
| Interferon-induced protein 44 | IFI44 | NM_006417 | Immune response | M-2 |
| Interleukin 18 receptor 1 | IL18R1 | NM_003855 | Immune response | M-2 |
| Interleukin 18 receptor accessory protein | IL18RAP | NM_003853 | Immune response | M-2 |
| S100 calcium binding protein A11 (calgizzarin) | S100A11 | NM_005620 | Regulation of cell proliferation | M-1 |
| Signaling lymphocytic activation molecule family 1 | SLAMF1 | NM_003037 | Regulation of cell proliferation | M-1 |
| CCAAT/enhancer binding protein delta | CEBPD | NM_005195 | Regulation of transcription | M-1 |
| Sin3-associated polypeptide | SAP30 | NM_003864 | Regulation of transcription | M-1 |
| Basic helix-loop-helix domain containing class B-2 | BHLHB2 | NM_003670 | Regulation of transcription | M-2 |
| Tumor necrosis factor, alpha-induced protein 3 | TNFAIP3 | NM_006290 | Regulation of transcription | M-2 |
| cAMP responsive element modulator | CREM | NM_183013 | Regulation of transcription | M-2 |
| Regulator of G-protein signaling 1 | RGS1 | NM_002922 | Signal transduction | M-1 |
| Dual specificity phosphatase 10 | DUSP10 | NM_007207 | Signal transduction | M-2 |
| EphA4 | EPHA4 | NM_004438 | Signal transduction | M-2 |
| Protein kinase C and casein kinase substrate in neurons 1 | PACSIN1 | NM_020804 | Signal transduction | M-2 |
| Regulator of G-protein signaling 2, 24 kDa | RGS2 | NM_002923 | Signal transduction | M-2 |
| T-cell receptor interacting molecule | TRIM | NM_016388 | Signal transduction | M-1 |
| Interleukin 4 induced 1 | IL4I1 | NM_172374 | Structure and metabolism | M-1 |
| Lymphocyte-activation gene 3 | LAG3 | NM_002286 | Structure and metabolism | M-1 |
| Sialyltransferase 8A | SIAT8A | NM_003034 | Structure and metabolism | M-1 |
| DnaJ (Hsp40) homolog, subfamily C, member 1 | DNAJC1 | NM_022365 | Structure and metabolism | M-2 |
| Villin 2 (ezrin) | Ezrin | AF188896 | Structure and metabolism | M-2 |
| Wiskott-Aldrich syndrome protein interacting protein | WASPIP | NM_003387 | Structure and metabolism | M-2 |
| Naive cells highly expressed genes | ||||
| Nerve growth factor receptor associated protein 1 | NGFRAP1 | NM_014380 | Immune response | N-1 |
| Fc fragment of IgG binding protein | FCGBP | NM_003890 | Immune response | N-1 |
| Adenylate kinase 5 | AK5 | BC012467 | Signal transduction | N-1 |
| Lymphoid enhancer-binding factor 1 | LEF1 | NM_016269 | Signal transduction | N-1 |
| Proprotein convertase subtilisin/kexin type 5 | PCSK5 | NM_006200 | Signal transduction | N-1 |
| Mal, T-cell differentiation protein | MAL | NM_002371 | Signal transduction | N-2 |
| SNF-1 related kinase | SNRK | NM_017719 | Signal transduction | N-2 |
| HMT1 hnRNP methyltransferase-like 1 | HRMTIL1 | NM_001535 | Signal transduction | N-2 |
| Actinin, alpha 1 | ACTN1 | NM_001102 | Structure and metabolism | N-1 |
| Keratin protein K6irs | K6IRS2 | NM_080747 | Structure and metabolism | N-1 |
| Kelch-like 3 (Drosophila) | KLHL3 | NM_017415 | Structure and metabolism | N-1 |
| S100 calcium binding protein, beta (neural) | S100B | NM_006272 | Structure and metabolism | N-2 |
Selected differentially expressed genes in memory and naive CD8+ T cells are presented (the complete list of genes and transcripts can be found in Table S3).
Based on the expression changes after activation, genes are divided into 2 groups: (1) differences are maintained at 16 and 72 hours designated as M-1 or N-1, and (2) differences are decreased at 16 and 72 hours designated as M-2 and N-2, where M indicates memory cell and N indicates naive cell.
Enhanced changes in gene expression and in corresponding protein levels related to the effector functions in memory CD8+ T cells
To determine the gene expression changes after activation, we compared gene expression between freshly isolated and stimulated (anti-CD3/CD28 activated for 16 and 72 hours) naive and memory CD8+ T cells. Overall, we identified more than 1600 genes or transcripts that were significantly altered after in vitro activation (Table S8). Surprisingly, we found that most of the activation-induced gene expression changes were similar between naive and memory CD8+ T cells (Figure S1; Table S9). We then focused on gene expression changes related to the effector functions by comparing activation-induced expression of cytokines and effector molecules. We found that 16 essential cytokines were highly induced after activation, and all of them were significantly more highly expressed in memory cells than in naive cells (Figure 2A). Correspondingly, the protein levels of 8 of these cytokines examined in the culture supernatant were also higher in memory cells than in naive cells, especially for IL-5 and IL-13 which were not detected in naive cells but significantly induced in memory cells (Figure 2B).
Next, we analyzed genes related to cytotoxicity. In Figure 3A, cytotoxicity-related genes, including granzyme (A, B, and K), Fas ligand, cathepsin (C and H), CASP8 and FADD-like apoptosis regulator (CFLAR), and OX40 were expressed significantly higher in memory cells than in naive cells. Again, the high levels of expression of these effector genes correlated with faster and stronger induced cytotocixity in memory T cells than in naive cells (Figure 3B-C). No significant cytotoxicity was detected from resting naive or memory CD8+ T cells, but activated memory cells exerted a potent cytotoxicity whereas activated naive cells were marginally cytotoxic 48 hours after activation. By 72 hours after activation, both naive and memory cells exhibited potent cytotoxicity (Figure 3B-C). Together, the faster and higher expression of cytokines and effector molecules in activated memory cells than in activated naive cells support the robust memory CD8+ T-cell response. Importantly, these findings raised the question of what mechanism(s) underlie the observed patterns of differential and rapid gene expression that mediate memory cell function.
Association of histone H3K9 acetylation with highly expressed genes in resting and activated memory CD8+ T cells
Epigenetic changes mediated by chromatin modification have been observed in a number of models of cellular differentiation and provide a mechanism to induce changes that are stable and heritable within a differentiated cell lineage. We therefore assessed the possible role of chromatin modification in mediating selective gene expression by memory CD8+ T cells. Because acetylation of histone H3K9 has been associated with chromatin modification and gene transcription,17-20 we wanted to determine whether the acetylation levels of histone H3K9 were associated with the differential gene expression in memory cells. We used a ChIP assay and real-time quantitative PCR to examine H3K9 acetylation in genes that are highly expressed in memory CD8+ T cells. In Figure 4A and 4B, the acetylation of levels of H3K9 was analyzed from 3 genes (IL18RA, CCR5, and KLRB1) that are highly expressed in freshly isolated resting memory cells and 3 genes that are expressed at similar levels in resting naive and memory cells (SMARCC1, RAB28, and HDAC1). Compared with the similarly expressed genes, genes that are highly expressed in resting memory cells had significantly higher levels of histone H3K9 acetylation in resting memory cells than in resting naive cells (P < .05) (Figure 4B; Table S10). We then analyzed H3K9 levels in 9 genes (AIM2, CSF2, GZMA, ICOS, IFNG, IL2, IL2RA, KLRB1, and TNF) that are induced to high levels of expression following activation of memory CD8+ T cells, and in 9 genes that are similarly expressed in activated naive and memory cells as control. Again, those genes that are selectively highly expressed in activated memory cells had significantly higher levels of H3K9 acetylation in activated memory cells than in activated naive cells (P < .01) (Figure 4D; Table S10). These findings suggest that the level of H3K9 acetylation is associated with differential high gene expression in resting and activated memory CD8+ T cells.
Differentially expressed genes in memory and naive CD8+ T cells. (A) Memory cell differentially expressed genes through resting and activated states. Twelve selected genes are presented. (B) Memory cell differentially expressed genes only in the resting states. Eight selected genes are presented. The microarray results derived from 3 independent experiments and normalized to the resting naive cells in panels A and B are presented as the mean ± SEM in log10 scale. (C) Naive cell differentially expressed genes in resting and activated states. Eight selected genes are presented. The microarray results derived from 3 independent experiments and normalized to the resting memory cells in panel C are presented as the mean ± SEM in log10 scale. The detailed information of these genes can be found in Table S9.
Differentially expressed genes in memory and naive CD8+ T cells. (A) Memory cell differentially expressed genes through resting and activated states. Twelve selected genes are presented. (B) Memory cell differentially expressed genes only in the resting states. Eight selected genes are presented. The microarray results derived from 3 independent experiments and normalized to the resting naive cells in panels A and B are presented as the mean ± SEM in log10 scale. (C) Naive cell differentially expressed genes in resting and activated states. Eight selected genes are presented. The microarray results derived from 3 independent experiments and normalized to the resting memory cells in panel C are presented as the mean ± SEM in log10 scale. The detailed information of these genes can be found in Table S9.
Prior acetylation of histone H3K9 to activation-induced gene expression in memory CD8+ T cells
It was striking that most of the genes that are highly expressed in memory cells after activation did not differ in their levels of expression in resting naive versus memory CD8+ T cells. We therefore asked whether histone H3K9 acetylation status changes in resting memory cells, which are poised for robust activation-induced gene expression, might distinguish resting memory cells from resting naive cells. In Figure 5A, we analyzed 5 cytokine-related genes that were similarly expressed in freshly isolated naive and memory CD8+ T cells but were significantly higher expressed in memory cells than in naive cells after activation. Strikingly, we found that all of them had higher acetylation levels in resting memory cells than in resting naive cells (P < .01) (Figure 5A; Table S7). The levels of H3K9 acetylation were further increased in 3 genes and were similar in 2 genes from resting to activated memory CD8+ T cells (data not shown). These findings suggest that the high level of H3K9 acetylation of activation-related genes in resting memory CD8+ T cells may provide a mechanism for facilitating the rapid memory cell response to activation.
Increased H3K9 acetylation by treatment with histone deacetylase inhibitor resulting in increased gene transcription in naive CD8+ T cells
Histone acetylation-mediated chromatin structure changes occur via a dynamic process that includes histone acetyltransferase (HAT) and histone deacetylase (HDAC). Previous studies show that inhibition of HDAC by specific inhibitors leads to an increase of acetylation of histones and a change of gene expression.22,23 To determine whether the H3K9 acetylation level influences the level of gene expression, we activated naive CD8+ T cells with anti-CD3/CD28 antibodies in the presence or absence of a HDAC inhibitor, Trichostatin A (TSA) for 24 hours and then compared levels of H3K9 acetylation and of mRNA in TSA-treated and untreated naive CD8+ T cells. From the analysis of 4 memory cell highly expressed genes after activation, we found that TSA treatment enhanced H3K9 acetylation levels in the promoter regions of all 4 genes (P < .01) (Figure 5B; Table S10). When we analyzed mRNA levels of those 4 genes, we found that 3 of them had increased mRNA levels in TSA-treated relative to untreated activated naive cells. However, IL2RA did not show an increase in mRNA levels after TSA treatment. Together, these findings suggest that the levels of H3K9 acetylation play an important role in regulation of gene transcription, although additional factors are also involved in overall control of gene expression in naive and memory CD8+ T cells.
Enhanced production of cytokines in activated memory CD8+ T cells. (A) Higher expression levels of 16 cytokine genes in activated memory than naive CD8+ T cells. The mean relative expression levels of 16 cytokines are presented. The detailed information of these genes can be found in Table S8. CCL1 indicates chemokine (C-C motif) ligand 1; CCL3L1, chemokine (C-C motif) ligand 3-like 1; CCL4, chemokine (C-C motif) ligand 4 (MIP-1β); CCL17, chemokine (C-C motif) ligand 17; CCL20, chemokine (C-C motif) ligand 20 (MIP-3α); CCL23, chemokine (C-C motif) ligand 23; CSF2, colony-stimulating factor 2 (GM-CSF); IFNG, interferon gamma; IL2, interleukin 2; IL4, interleukin 4; IL5, interleukin 5; IL13, interleukin 13; IL23A, interleukin 23A; IGF2, insulin-like growth factor 2 (somatomedin A); LIGHT, tumor necrosis factor (ligand) superfamily, member 14 (TNFSF14); TNF, tumor necrosis factor (TNF superfamily, member 2). (B) Higher concentrations of cytokine proteins in the supernatant of activated memory than that of activated naive CD8+ T cells. Cytokines were measured from the culture supernatant of activated naive and memory CD8+ T cells by Bio-plex methods. One representative of 2 independent experiments is shown.
Enhanced production of cytokines in activated memory CD8+ T cells. (A) Higher expression levels of 16 cytokine genes in activated memory than naive CD8+ T cells. The mean relative expression levels of 16 cytokines are presented. The detailed information of these genes can be found in Table S8. CCL1 indicates chemokine (C-C motif) ligand 1; CCL3L1, chemokine (C-C motif) ligand 3-like 1; CCL4, chemokine (C-C motif) ligand 4 (MIP-1β); CCL17, chemokine (C-C motif) ligand 17; CCL20, chemokine (C-C motif) ligand 20 (MIP-3α); CCL23, chemokine (C-C motif) ligand 23; CSF2, colony-stimulating factor 2 (GM-CSF); IFNG, interferon gamma; IL2, interleukin 2; IL4, interleukin 4; IL5, interleukin 5; IL13, interleukin 13; IL23A, interleukin 23A; IGF2, insulin-like growth factor 2 (somatomedin A); LIGHT, tumor necrosis factor (ligand) superfamily, member 14 (TNFSF14); TNF, tumor necrosis factor (TNF superfamily, member 2). (B) Higher concentrations of cytokine proteins in the supernatant of activated memory than that of activated naive CD8+ T cells. Cytokines were measured from the culture supernatant of activated naive and memory CD8+ T cells by Bio-plex methods. One representative of 2 independent experiments is shown.
Fast acquisition of cytotoxicity in activated memory CD8+ T cells. (A) Higher levels of expression of 8 effector function-related genes in activated memory than in activated naive CD8+ T cells. The mean relative expression levels of 8 cytokines are presented. CARD8 indicates caspase recruitment domain family, member 8; CFLAR, CASP8 and FADD-like apoptosis regulator; CTSC, cathepsin C; CTSH, cathepsin H; GZMA, granzyme A; GZMK, granzyme K; and KLRB1, killer cell lectin-like receptor subfamily B, member 1. The detailed information of these genes can be found in Table S8. (B) Induced cytotoxicity in naive and memory CD8+ T cells after anti-CD3/CD28 stimulation. The cytotoxic activity was measured by a redirected cytotoxicity assay at the indicated time after anti-CD3/CD28 stimulation. (C) Cytotoxic activity was measured as in panel B and calculated as lytic units, with data from 3 independent experiments. The mean and standard error of the mean are shown.
Fast acquisition of cytotoxicity in activated memory CD8+ T cells. (A) Higher levels of expression of 8 effector function-related genes in activated memory than in activated naive CD8+ T cells. The mean relative expression levels of 8 cytokines are presented. CARD8 indicates caspase recruitment domain family, member 8; CFLAR, CASP8 and FADD-like apoptosis regulator; CTSC, cathepsin C; CTSH, cathepsin H; GZMA, granzyme A; GZMK, granzyme K; and KLRB1, killer cell lectin-like receptor subfamily B, member 1. The detailed information of these genes can be found in Table S8. (B) Induced cytotoxicity in naive and memory CD8+ T cells after anti-CD3/CD28 stimulation. The cytotoxic activity was measured by a redirected cytotoxicity assay at the indicated time after anti-CD3/CD28 stimulation. (C) Cytotoxic activity was measured as in panel B and calculated as lytic units, with data from 3 independent experiments. The mean and standard error of the mean are shown.
Discussion
The molecular basis of the rapid and robust memory T-cell response to antigen is unknown. Here, we show that, although overall gene expression profiles in memory and naive CD8+ T cells are similar at resting and activated states, there is significantly higher expression of genes, including those encoding cytokines and effector molecules, in memory cells than in naive cells after activation. We have identified more than 70 genes that are differentially expressed in resting memory and 20 in resting naive CD8+ T cells. Elucidating the functions of those differentially expressed genes will shed light on the genetic programs of the maintenance and response of memory CD8+ T cells. We also addressed the mechanism mediating these differences in gene expression, specifically assessing the role of chromatin modification by histone acetylation. We showed that high levels of histone H3K9 acetylation are associated with the differential gene expression observed in memory CD8+ T cells at rest and after activation. Strikingly, we show that higher levels of H3K9 acetylation are found in resting memory cells, prior to their activation, than in resting naive cells for those genes that are induced to rapid and robust expression following activation of memory cells but not naive CD8+ T cells. Finally, we provide evidence that pharmacologically increasing H3K9 acetylation levels results in increased mRNA levels in naive cells corresponding to those genes that are normally differentially expressed in memory cells. Together, these findings suggest that unique gene expression and histone H3K9 hyperacetylation are responsible for the characteristic of the memory CD8+ T cells in recall response.
Association of differential gene expression and higher levels of H3K9 acetylation in memory CD8+ T cells. (A-B) Resting memory cell differentially expressed genes are associated with high levels of H3K9 acetylation. (A) The representative gel images of one gene with high H3K9 acetylation level (KLRB1) and one control gene (SMARCC1) are shown. N indicates naive; M, memory. (B) Three memory cell differential expressed and 3 similarly expressed genes as shown by microarray (left, n = 3), the real-time RT-PCR (middle, n = 5), and H3K9 acetylation levels (right, n = 8) between naive and memory CD8+ T cells. The significantly increased or similarly expressed genes were selected from the microarray data. The levels of H3K9 acetylation are significantly different between the differentially and similarly expressed genes (P < .05). Data are presented as mean ratio ± SEM (log10) for array and RT-PCR, and data are presented as the mean fraction of input ± SEM for H3K9 acetylation levels of naive and memory cells. (C-D) Activated memory cell differentially expressed genes are associated with high levels of H3K9 acetylation in resting memory CD8+ T cells. (C) The representative gel images of 4 genes with high H3K9 acetylation levels (ICOS, IFNG, IL2RA, and KLRB1) and 2 control genes (IL2RG and MYST2) are presented. (D) Nine activated memory cell highly expressed and 9 similarly expressed genes as shown by microarray (left, n = 3), the real-time RT-PCR (middle, n = 5), and H3K9 acetylation levels (right, n = 8) between naive and memory CD8+ T cells after 72 hours of stimulation. The significantly increased or similarly expressed genes were selected from the array data. The levels of H3K9 acetylation are significantly different between the differentially and similarly expressed genes (P < .01) in activated memory CD8+ T cells. Data are presented as the same as described in panel B.
Association of differential gene expression and higher levels of H3K9 acetylation in memory CD8+ T cells. (A-B) Resting memory cell differentially expressed genes are associated with high levels of H3K9 acetylation. (A) The representative gel images of one gene with high H3K9 acetylation level (KLRB1) and one control gene (SMARCC1) are shown. N indicates naive; M, memory. (B) Three memory cell differential expressed and 3 similarly expressed genes as shown by microarray (left, n = 3), the real-time RT-PCR (middle, n = 5), and H3K9 acetylation levels (right, n = 8) between naive and memory CD8+ T cells. The significantly increased or similarly expressed genes were selected from the microarray data. The levels of H3K9 acetylation are significantly different between the differentially and similarly expressed genes (P < .05). Data are presented as mean ratio ± SEM (log10) for array and RT-PCR, and data are presented as the mean fraction of input ± SEM for H3K9 acetylation levels of naive and memory cells. (C-D) Activated memory cell differentially expressed genes are associated with high levels of H3K9 acetylation in resting memory CD8+ T cells. (C) The representative gel images of 4 genes with high H3K9 acetylation levels (ICOS, IFNG, IL2RA, and KLRB1) and 2 control genes (IL2RG and MYST2) are presented. (D) Nine activated memory cell highly expressed and 9 similarly expressed genes as shown by microarray (left, n = 3), the real-time RT-PCR (middle, n = 5), and H3K9 acetylation levels (right, n = 8) between naive and memory CD8+ T cells after 72 hours of stimulation. The significantly increased or similarly expressed genes were selected from the array data. The levels of H3K9 acetylation are significantly different between the differentially and similarly expressed genes (P < .01) in activated memory CD8+ T cells. Data are presented as the same as described in panel B.
Histone H3K9 acetylation prior to rapid and robust gene expression. (A) High levels of H3K9 acetylation precede activation-induced gene expression changes in memory CD8+ T cells. The relative gene expression levels of 5 activated memory cell highly expressed genes in resting (left) and activated (middle) memory cells versus naive cells, and the levels of H3K9 acetylation of resting memory cells versus naive cells (right). Gene expression levels are presented as the mean ± SEM in log10 scale (n = 5 for RT-PCR), and the dashed line represents a 2-fold difference. The H3K9 acetylation levels are presented as the mean fraction of input ± SEM of naive and memory cells (n = 8-12, P < .01). (B) Increased levels of H3K9 acetylation and mRNA after TSA treatment in naive CD8+ T cells. The relative changes of H3K9 acetylation levels were determined by ChIP and real-time PCR between TSA-treated and untreated naive CD8+ T cells (left) and the relative levels of mRNA of the same 4 genes (right) between TSA-treated and untreated naive CD8+ T cells after anti-CD3/CD28 stimulation for 24 hours. H3K9 acetylation levels are presented as the mean fraction of input of TSA-treated and untreated naive CD8+ T cells (mean ± SEM, n = 4-6, P < .01). mRNA levels are presented as the ratio (mean ± SEM, n = 4-6) of TSA-treated and untreated naive CD8+ T cells in log10 scale.
Histone H3K9 acetylation prior to rapid and robust gene expression. (A) High levels of H3K9 acetylation precede activation-induced gene expression changes in memory CD8+ T cells. The relative gene expression levels of 5 activated memory cell highly expressed genes in resting (left) and activated (middle) memory cells versus naive cells, and the levels of H3K9 acetylation of resting memory cells versus naive cells (right). Gene expression levels are presented as the mean ± SEM in log10 scale (n = 5 for RT-PCR), and the dashed line represents a 2-fold difference. The H3K9 acetylation levels are presented as the mean fraction of input ± SEM of naive and memory cells (n = 8-12, P < .01). (B) Increased levels of H3K9 acetylation and mRNA after TSA treatment in naive CD8+ T cells. The relative changes of H3K9 acetylation levels were determined by ChIP and real-time PCR between TSA-treated and untreated naive CD8+ T cells (left) and the relative levels of mRNA of the same 4 genes (right) between TSA-treated and untreated naive CD8+ T cells after anti-CD3/CD28 stimulation for 24 hours. H3K9 acetylation levels are presented as the mean fraction of input of TSA-treated and untreated naive CD8+ T cells (mean ± SEM, n = 4-6, P < .01). mRNA levels are presented as the ratio (mean ± SEM, n = 4-6) of TSA-treated and untreated naive CD8+ T cells in log10 scale.
Kaech et al8 first reported the identification of genes that were highly expressed in mouse memory CD8+ T cells in the course of LCMV infection. Recently, Holmes et al9 compared gene expression of human naive, effector, and memory CD8+ T cells isolated from peripheral blood and identified approximately 60 known genes that strongly differentiate among naive and memory CD8+ T cells using an Agilent chip of 18 000 genes/transcripts. Here, we analyzed both freshly isolated and in vitro-stimulated naive and memory CD8+ T cells using the Agilent whole human gene array (∼ 30 000 genes/transcripts) and found 93 genes differentially expressed between resting naive and resting memory CD8+ T cells. The difference in the number of genes identified here may be explained by the size of the gene chip used. Some genes such as ITGB1, GZMK, KLRB1, and TRIM for memory cells and ACTN1 for naive cells were identified in both Holmes's study and this study, but many other genes did not overlap. If the expression intensity difference decreases from 2.0 to 1.5 in our selection requirement, 23 memory cell differentially expressed genes (38%) now are shared by these 2 studies. Thus, the differences in data normalization, statistical methods, and cutoff values in selection used in different microarray analyses makes it difficult to determine how much of these differences are technically related. With further standardization of the procedures, statistical methods, and selection criteria for significantly expressed genes, the comparison of different microarray results will be more accurate and meaningful in the future.
Although the general function of some of those differentially expressed genes in memory CD8+ T cells are known, the precise roles of them in homeostasis and recall response of memory CD8+ T cells remain to be determined. From their expression kinetics, those consistently higher expressed genes in memory cells than in naive cells may be involved in the recall response of memory cells (Figure 1A), whereas genes that are highly expressed only in resting but not activated memory cells may participate in the maintenance of memory cells (Figure 1B). Equally important is to understand those differentially expressed genes in naive cells (Figure 1C). It will be interesting to determine how these relatively limited differences in gene expressions contribute to the unique characteristics of growth and activation between memory and naive CD8+ T cells.
Chromatin remodeling via increased histone H3 and H4 acetylation has been reported at the IL-4 and IFN-γ promoter regions during T-helper–cell differentiation.20,21 Histone H3 and H4 are not acetylated in the IL-4 and IFN-γ loci in naive CD4+ T cells, but hyperacetylation of the IL-4 promoter regions was found in Th2 effector cells, whereas hyperacetylation of the IFN-γ promoter region was found in Th1 effector cells.20 In CD4+ T cells, it has been shown that memory cells derived from Th1 and Th2 effector cells retain the cytokine expression characteristics of the corresponding effector cells,26 but the mechanisms that retain the cytokine expression patterns from effector to memory cells are not known. As the epigenetic changes of chromatin structure can be transmitted from one cell to its descendants, it provides a plausible means for memory cells to inherit chromatin changes from effector cells as well as to make additional changes during their differentiation. Here, we have provided direct evidence for the first time that hyperacetylation of histone H3K9 is associated with highly expressed memory cell genes examined in memory CD8+ T cells at rest and after activation, suggesting that histone acetylation may regulate differential gene expression in memory CD8+ T cells. In support of this, hyperacetylation of H3K9 was shown to precede the actual transcription in the activated memory CD8+ T-cell highly expressed genes and induced hyperacetylation of H3K9 resulted in elevated mRNA levels of those memory cell highly expressed genes in naive cells. These findings provide a genetic means for a differential and robust transcriptional response of memory CD8+ T cells to activation signals.
An active gene transcription is controlled at the levels of the availability of specific transcriptional factors and of the accessibility of chromatin structure for the transcriptional factors and the RNA polymerase machinery. However, it was not clear which one or both of these 2 levels are in control in naive cells as compared with the memory cells in differential gene expression. Because the levels of histone acetylation-associated chromatin structure change are determined by the net effects between HAT and HDAC activities, inhibition of HDAC activity can lead to an increase of histone acetylation. Our findings show that inhibition of HDAC by TSA results in an increase of H3K9 acetylation in the promoter regions of those memory cell differentially expressed genes in naive CD8+ T cells (Figure 5B). The increase of H3K9 acetylation levels is associated with an increase in the mRNA levels of 3 of 4 genes in naive cells after activation, suggesting that accessible chromatin structure of these genes may play a primary role in the slow transcription of those activation-induced genes in naive cells. However, as TSA has a broad spectrum of inhibitory effect on different HDACs, the changes of mRNA levels of these genes can be a direct effect of increased H3K9 acetylation of these genes and/or an indirect consequence of histone acetylation changes in other loci. Therefore, the precise role of H3K9 hyperacetylation in the transcriptional regulation of these gene loci requires further study.
The findings of association of H3K9 acetylation and differential gene expression in the rapid and robust memory CD8+ T-cell response presented here also raise new questions. First, whether acetylation of other histone residues such as H3K14 and H4K8 as well as dimethylation and trimethylation of histone H3K4 and H3K9 are also involved in the differential gene expression in memory CD8+ T cells? Second, what is the minimum span of the histone modifications along the promoter and coding regions that is necessary to maintain a poised or an accessible chromatin structure for transcription? Finally, how these histone modifications are established and maintained in specific gene loci in memory CD8+ T cells? What are the key regulators that are responsible for establishing memory T cell unique gene expression pattern? Future experiments are warranted to address these important questions and to advance our understanding of the epigenetic changes in memory T cells and its role in the differentiation, maintenance, and response of memory CD8+ T cells.
Prepublished online as Blood First Edition Paper, July 25, 2006; DOI 10.1182/blood-2006-02-005520.
Supported by the Intramural Research Program of the National Institute on Aging and National Cancer Institute, NIH.
The authors declare no competing financial interests.
The online version of this article contains a data supplement.
The publication costs of this article were defrayed in part by page charge payment. Therefore, and solely to indicate this fact, this article is hereby marked “advertisement” in accordance with 18 USC section 1734.
We thank Drs Richard Hodes and Ranjan Sen for their critical reading of the manuscript. We thank Bob Pyle for assistance of cytokine measurement, and the staff members of the Apheresis Unit for providing blood samples.





This feature is available to Subscribers Only
Sign In or Create an Account Close Modal