Abstract
The mechanisms regulating the homing/mobilization of hematopoietic stem/progenitor cells (HSPCs) are not fully understood. In our previous studies we showed that the complement C3 activation peptide, C3a, sensitizes responses of HSPCs to stromal-derived factor 1 (SDF-1). In this study, mobilization was induced with granulocyte colony-stimulating factor (G-CSF) in both C3-deficient (C3–/–) and C3a receptor–deficient (C3aR–/–) mice as well as in wild-type (wt) mice in the presence or absence of a C3aR antagonist, SB 290157. The data indicated (1) significantly increased G-CSF–induced mobilization in C3–/– and C3aR–/– mice compared with wt mice, (2) significantly accelerated and enhanced G-CSF–induced mobilization in wt, but not in C3–/– or C3aR–/–, mice treated with SB 290157, and (3) deposition of C3b/iC3b fragments onto the viable bone marrow (BM) cells of G-CSF–treated animals. Furthermore, mobilization studies performed in chimeric mice revealed that wt mice reconstituted with C3aR–/– BM cells, but not C3aR–/– mice reconstituted with wt BM cells, are more sensitive to G-CSF–induced mobilization, suggesting that C3aR deficiency on graft-derived cells is responsible for this increased mobilization. Hence we suggest that C3 is activated in mobilized BM into C3a and C3b, and that the C3a-C3aR axis plays an important and novel role in retention of HSPCs (by counteracting mobilization) by increasing their responsiveness to SDF-1, the concentration of which is reduced in BM during mobilization. The C3a-C3aR axis may prevent an uncontrolled release of HSPCs into peripheral blood. These data further suggest that the C3aR antagonist SB 290157 could be developed as a drug to mobilize HSPCs for transplantation.
Introduction
Molecular mechanisms of mobilization/homing of hematopoietic stem/progenitor cells (HSPCs) are still not well understood, and all the molecules essential to these processes have not yet been identified.1,2 Recent studies pointed to a role for G-protein–coupled receptors in the trafficking of HSPCs,3-8 and we recently presented evidence for the involvement of the G-protein–coupled complement C3a receptor (C3aR) in this process.9
The protein components of complement (C) are activated through proteolysis in a cascadelike fashion (by pathways known as the classical, alternative, or lectin),10 leading to the generation of small activation peptides with potent proinflammatory properties that have been termed anaphylatoxins.11,12 The C3a anaphylatoxin is a 78–amino-acid peptide derived from the proteolytic cleavage of the complement protein C3, which mediates various immunoregulatory functions through its binding to C3aR, a G-protein–coupled, 7-transmembrane–spanning receptor. C3aR is predominantly expressed on the surface of human mast cells,12 eosinophils,13,14 monocytes, and activated T lymphocytes.15,16 Its major functions include chemotaxis of eosinophils and the recruitment and degranulation of mast cells.11
We recently showed that a functional C3aR is also expressed by normal human HSPCs and lineage-expanded hematopoietic precursors, and that its activation sensitizes the responses of these cells to stromal-derived factor 1 (SDF-1).9 This C3aR-mediated signaling influenced the homing of HSPCs to the bone marrow (BM) by promoting their (1) chemotactic response to SDF-1, (2) SDF-1–dependent migration across subendothelial basement membranes, (3) expression/secretion of matrix metalloproteinase 9 (MMP-9), and (4) SDF-1–mediated adhesion to vascular cell adhesion molecule 1 (VCAM-1). C3a was also shown to accelerate the engraftment after transplantation into lethally irradiated animals of murine Sca-1+ cells that had been primed by C3a.9 Hence we concluded that the C3a-C3aR axis modulated SDF-1–CXCR4 axis-dependent responses and regulated the homing of HSPCs into BM.9
Nevertheless, it is known that mice deficient in either C3 (C3–/–) or C3aR (C3aR–/–) have normal peripheral blood (PB) cell counts, which suggests that under normal steady-state conditions the pool of circulating PB cells is efficiently maintained in these animals by HSPCs residing in the BM and spleen.17-19 No studies, however, had been performed on these C3–/– and C3aR–/– mice under conditions of hematopoietic stress/injury such as granulocyte colony-stimulating factor (G-CSF)– or cyclophosphamide-induced mobilization, which could potentially reveal a defect in stem cell trafficking in these animals.
On the basis of our previous observations suggesting that the C3a-C3aR axis might play an important role in the homing of HSPCs in BM,9 we hypothesized that C3–/– and C3aR–/– mice would be more sensitive to mobilization protocols than nondeficient mice. Moreover, since a highly selective nonpeptide antagonist of C3aR, SB 290157, had recently become available,20 we incorporated it into our studies to determine whether this compound could function as a mobilization-facilitating agent. These studies revealed a BM HSPC retention defect in C3–/– and C3aR–/– mice, further implicating a role for the C3a-C3aR axis in trafficking of HSPCs.
Materials and methods
Mice, BM-derived cells, and cell lines
Murine mononuclear cells (MNCs) were isolated from PB or from BM (flushed from the femurs) of pathogen-free, 4- to 6-week-old female BALB/c-C3aR–/– mice21 and C57B1/6 C3–/– mice (breeding colony purchased from the Jackson Laboratory, Bar Harbor, ME).17 Wild-type (wt) C57Bl/6 C3+/+ age- and sex-matched littermates identified by screening for serum C3 protein levels in the C3–/– colony were used as controls for experiments examining C3–/– mice. The BALB/c-C3aR–/– mice, having been backcrossed for 12 generations to wt BALB/c mice, were paired with age- and sex-matched wt BALB/c mice obtained from the National Cancer Institute (NCI)–Frederick (Frederick, MD). Additional wt C57Bl/6 and BALB/c mice were also purchased from the Jackson Laboratory. Prior to experimentation, all mice from the C3–/– colony were phenotyped by assay for serum C3 (using radial immunodiffusion), and likewise polymerase chain reaction (PCR) was used to confirm the genotype of C3aR–/–. MNCs were depleted of adherent cells (A–) and then enriched for light-density MNCs by Ficoll-Paque centrifugation as described.22 Sca-1+ cells were isolated using paramagnetic minibeads (Miltenyi Biotec, Auburn, CA) according to the manufacturer's protocol. The purity of isolated BM Sca-1+ cells was more than 95% as determined by fluorescence-activated cell sorter (FACS) analysis using a FACscan (BD Biosciences Immunocytometry Systems, San Jose, CA). Approval for the study was obtained from the University of Louisville Animal Care and Use Committee institutional review board. Informed consent was provided according to the Declaration of Helsinki.
Human light-density BM cells were obtained from healthy volunteer donors who had given informed consent; the protocols used were approved by the institutional review boards of the University of Louisville and Jagiellonian University. Light-density cells were depleted of adherent cells and T lymphocytes (A–T– MNCs), before being enriched for CD34+ cells by immunoaffinity selection with MiniMACS paramagnetic beads (Miltenyi Biotec) as described previously.23 The purity of isolated BM CD34+ cells was more than 98% as determined using flow cytometry with a FACscan.
Cell lines used in this study included human K-562, HL-60, and Jurkat hematopoietic cell lines, which were obtained from the American Type Culture Collection (Manassas, VA) and cultured as described.24
Mobilization of mice
Mice were mobilized by subcutaneous injection of 250 μg/kg human G-CSF (Amgen, Thousand Oaks, CA) daily for 1, 3, or 6 days. Mice were bled from the retro-orbital plexus to obtain leukocyte counts using Unopette Microcollection (Becton Dickinson, Rutherford, NJ) as described.9,22 At 6 hours after the last G-CSF injection, PB was obtained from the vena cava (with a 25-gauge needle and 1-mL syringe containing 250 U heparin) and enriched for light-density MNCs as described.22 In some mobilization protocols the specific C3aR antagonist SB 290157 was injected intraperitoneally (0.01-1 μg/animal) as indicated in the figure legends. SB 290157 was purchased from Calbiochem (San Diego, CA) and resuspended in phosphate-buffered saline (PBS)/dimethyl sulfoxide (DMSO) as described.20
Flow cytometry
To determine the amount of c-Kit/Sca-1+ cells, dual-color flow cytometry analysis was performed. Briefly, 50 μL whole blood was stained with both rat antimouse c-Kit fluorescein isothiocyanate (FITC)–conjugated and rat antimouse Sca-1–phycoerythrin (PE)–conjugated monoclonal antibodies (final concentration 1 μg/mL; both from BD Biosciences Pharmingen, San Diego, CA). Samples stained with appropriate isotype controls (BD Biosciences Pharmingen) were examined in parallel. After a 20-minute incubation on ice, 2 mL FACS Lysing solution (BD Biosciences Immunocytometry Systems) was added to lyse the erythrocytes. Thereafter cells were washed twice in PBS, resuspended in 0.3 mL PBS, and analyzed by FACScan using CellQuest v.3.1 software (BD Biosciences Immunocytometry Systems). Typically, 20 000 events were acquired and the percentage of c-Kit/Sca-1+ cells was determined for a whole leukocyte population.
Detection of C3 deposits in murine BM
Murine BM cells from C3–/– mice and their wt littermates were stained with a mixture of peridinin chlorophyll-alpha protein (PerCP)–cyanin 5 (Cy5) antimouse CD45 (BD Biosciences Pharmingen) and an affinity-purified polyclonal goat immunoglobulin G (IgG) antimouse C3–Oregon Green (below) by incubating 1 × 106 cells in an optimized dilution of Ab on ice for 20 minutes, followed by 2 washes in PBS and suspension in 0.3 mL PBS. Data were acquired and analyzed by flow cytometry using a FACscan and CellQuest v3.1 software (Becton Dickinson, San Jose, CA). Staining of BM cells from C3–/– mice was used as a control for any nonspecific staining that might be obtained with the affinity-purified polyclonal antimouse C3 reagent (eg, dead cell nonspecific staining). The affinity-purified antibody (Ab) was generated from the IgG fraction of goat antiserum to mouse C3 (Immunology Consultants, Newberg, OR) that was isolated by Mono-Q anion exchange fast protein liquid chromatography (FPLC) followed by absorption and elution from mouse C3-zymosan. Briefly, C3-coated zymosan was prepared as described25 using 500 mg zymosan (Sigma Chemical, St Louis, MO) suspended in 11 mL fresh mouse serum and washed 3 times with 1 M NaCl containing 0.1% sodium deoxycholate (Sigma Chemical) to remove nonspecifically bound mouse serum proteins. After 2 washes with veronal buffered saline, the C3-zymosan was pelleted by centrifugation, suspended evenly in 6 mL goat IgG anti-C3 (5 mg/mL) using brief sonication, and incubated first at 37°C for 30 minutes and then at 0°C for 30 minutes with vortex mixing at 10-minute intervals to keep the C3-zymosan in suspension. To remove nonspecifically bound IgG, the C3-zymosan was washed 3 times with PBS warmed to 37°C and then 3 times with 1 M NaCl containing 0.1% sodium deoxycholate warmed to 37°C. Antimouse C3 IgG was eluted from the C3-zymosan by suspending in 2 mL of 4-M guanidine hydrochloride and incubating at 22°C for 30 minutes. After pelleting the C3-zymosan by centrifugation, the supernatant containing affinity-purified antimouse C3 was dialyzed 3 times against 1 L PBS at 4°C. The C3-zymosan was washed 3 times with PBS and stored frozen at –85°C for future reuse. The dialyzed antimouse C3 was coupled to Oregon Green using a spin column labeling kit according to the manufacturer's protocol (Molecular Probes, Eugene, OR). The optimal dilution for staining C3-coated cells was determined using mouse C3-opsonized tumor cells and flow cytometry and this dilution was used for staining BM cells.
SB 290157 toxicity studies
For cell proliferation/survival assays, murine or human BM MNCs, human CD34+ cells, as well as human K-562, HL-60, and Jurkat hematopoietic cell lines were incubated with SB 290157 (0-5 μg/mL) for 6 hours at 37°C. BM MNCs were then plated in serum-free methylcellulose cultures in the presence of granulocyte-macrophage colony-stimulating factor (GM-CSF) + interleukin-3 (IL-3) for colony-forming unit–granulocyte macrophage (CFU-GM) colonies, erythropoietin (EPO) + stem cell factor (SCF) for burst forming unit–erythroid (BFU-E) colonies, and thrombopoietin (TPO) for CFU–megakaryocytic (Meg) colonies as described.23 Using an inverted microscope, murine hematopoietic colonies were scored on day 7 and human hematopoietic colonies on day 12. Cell lines were cultured for 7 consecutive days. The proliferation of cell lines was analyzed using the methyl thiazolyl tetrazolium (MTT) assay,26 and Annexin V staining (R&D Systems, Minneapolis, MN) and trypan blue exclusion were carried out as described.26
For the CFU-spleen (CFU-S) assays, female BALB/c mice (4-6 weeks old) were irradiated with a lethal dose of γ-irradiation (900 cGy). After 24 hours, the mice underwent transplantation by tail-vein injection with 5 × 105 BM MNCs obtained from wt mice treated or not treated with SB 290157 (5 μg/mL per 6 hours). On day 12, their spleens were removed and fixed in Tellysyniczky fixative, and CFU-S colonies were counted on the surface of the spleen using a magnifying glass as previously described.9,22
Calcium flux assay
Briefly, cells were incubated for 30 minutes at 30°C with 1 to 2 μM Fura-2/AM (Molecular Probes). After incubation, the cells were washed once, resuspended in loading buffer without bovine calf serum (BCS), stimulated with SDF-1β (500 ng/mL) in the presence or absence of 5 μg/mL SB 290157, and analyzed within one hour as previously described.9
Phosphorylation of intracellular pathway proteins
Western blot analysis was performed on extracts prepared from CD34+ cells that had been kept in RPMI medium containing low levels of bovine serum albumin (BSA, 0.5%) to render the cells quiescent. The cells were then stimulated with SDF-1 (300 ng/mL) or C3a (1 μg/mL) for 10 minutes at 37°C in the presence or absence of SB 290157 (250 μM), before being lysed for 10 minutes on ice in M-Per lysing buffer (Pierce, Rockford, IL) containing protease and phosphatase inhibitors (Sigma Chemical). The extracted proteins were separated on 10% sodium dodecyl sulfate–polyacrylamide gel electrophoresis (SDS-PAGE) gel and transferred to nitrocellulose membrane (Hybond electrochemiluminescence [ECL]; Amersham Life Science, Little Chalfont, United Kingdom). Phosphorylation of AKT and 44/42 mitogen-activated protein kinase (MAPK) proteins was detected by protein immunoblotting using mouse monoclonal 44/42 phospho-specific MAPK antibody, and rabbit phospho-specific polyclonal antibodies (all from New England Biolabs, Beverly, MA) for each of the remaining proteins, with horseradish peroxidase–conjugated goat anti–mouse IgG or goat anti–rabbit IgG (Santa Cruz Biotechnology, Santa Cruz, CA) as secondary antibodies, as described.26-29 Equal loading in the lanes was evaluated by stripping the blots and reprobing them with the appropriate monoclonal or polyclonal antibodies: p42/44 anti-MAPK antibody clone 9102 and anti-AKT antibody clone 9272 (New England Biolabs). The membranes were developed with an ECL reagent (Amersham Life Science), dried, and exposed to film (HyperFilm; Amersham Life Science).
Mobilization of radiation chimeras
Normal (wt) or C3aR knock-out (KO) animals were lethally irradiated (850 cGy) and 24 hours later underwent transplantation through the retro-orbital plexus with 5.5 × 106 BM MNCs from either wt or KO animals. Animals that underwent transplantation were allowed to recover for 5 weeks, after which they were mobilized with G-CSF (250 μg/kg) for 3 consecutive days. Their PB was evaluated for number of circulating CFU-GMs/100 μL as described.5 The chimerism of animals that underwent transplantation was confirmed by real-time PCR using the ABI PRISM 7000 Sequence Detection System (Applied Biosystems, Foster City, CA). DNA was isolated from both PB and BM MNCs using the QIAamp DNA mini kit (Qiagen, Valencia, CA). Specific detection of either wt or KO DNA was performed using primers specific for exon 2 in wt DNA (A201-5′-GAG AAT CAG GTG AGC CAA GGA GAA-3′) or for the Neo cassette (NeoA-5′-TGG GCT CTA TGG CTT CTG AGG CGG AAA G-3′) in KO DNA and a common primer in the noncoding region (C1-5′-TAC AAT ATA GTC AGT TGG AAG TCA GCC-3′). Total DNA was calculated using all 3 primers. Reactions were normalized to total DNA and ΔCT values were converted to fold changes using the equation 2–ΔCT. Percentage difference was calculated in relation to total amount of DNA.
Statistical analysis
Arithmetic means and standard deviations were calculated using Instat 1.14 (Graphpad, San Diego, CA) software. Statistical significance was defined as P less than .01. Data were analyzed using Student t test for unpaired samples.
Results
G-CSF–induced mobilization is both significantly accelerated and enhanced in C3–/– and C3aR–/–mice
It was previously reported that C3a primed the chemotactic responses of HSPCs to an SDF-1 gradient,9 implying a role for C3a and C3aR in SDF-1–mediated homing of HSPCs to the BM. To better define the role of the C3a-C3aR axis in the trafficking of HSPCs, C3–/– and C3aR–/– mice were mobilized with G-CSF. First, we observed that these mice under normal steady-state conditions have a similar number of circulating HSPCs in their PB as their wt littermates (not shown). The data from mobilization studies, however, indicated that these deficient mice were highly sensitive to G-CSF–induced mobilization when compared with wt mice, as shown in Figure 1, and that 3 injections of G-CSF were sufficient to achieve the same level of mobilization that is seen in wt animals after injections of an optimal dose of G-CSF given for 6 days. Both types of deficient mice showed increased numbers of circulating MNCs (Figure 1A), and clonogenic CFU-GM progenitors (Figure 1B) in their PB compared with wt mice. Furthermore, when deficient mice were mobilized for 3 days more with G-CSF, a significant enhancement of circulating cells was observed compared with wt animals (Figure 1). Histologic examination of BM sections confirmed that G-CSF–mobilized C3–/– and C3aR–/– mice had noticeably more cells in their BM sinus veins than mobilized wt mice (not shown).
G-CSF–induced mobilization is enhanced in C3–/– and C3aR–/– mice. C3–/– and C3aR–/– mice, as well as age- and sex-matched wt mice, were mobilized for 3 or 6 days with G-CSF (250 μg/kg subcutaneously/day) (n = 18 animals/group). (A) Number of MNCs/μL PB in C3–/– and C3aR–/– mice compared with age- and sex-matched C57Bl/6 and BALB/c wt mice, respectively. (B) Number of circulating CFU-GM progenitors/100 μLPBinC3–/– and C3aR–/– mice compared with wt mice. *P < 0.000 01 compared with wt mice mobilized for 3 days. **P < .000 01 compared with wt mice mobilized for 6 days. Data are expressed as mean ± standard deviation.
G-CSF–induced mobilization is enhanced in C3–/– and C3aR–/– mice. C3–/– and C3aR–/– mice, as well as age- and sex-matched wt mice, were mobilized for 3 or 6 days with G-CSF (250 μg/kg subcutaneously/day) (n = 18 animals/group). (A) Number of MNCs/μL PB in C3–/– and C3aR–/– mice compared with age- and sex-matched C57Bl/6 and BALB/c wt mice, respectively. (B) Number of circulating CFU-GM progenitors/100 μLPBinC3–/– and C3aR–/– mice compared with wt mice. *P < 0.000 01 compared with wt mice mobilized for 3 days. **P < .000 01 compared with wt mice mobilized for 6 days. Data are expressed as mean ± standard deviation.
The C3aR antagonist both accelerates and increases G-CSF–induced mobilization in normal mice
Since these data suggested that the C3a-C3aR axis has a role in the retention of HSPCs in BM, it was hypothesized that the blockade of C3aR by a selective small nonpeptide antagonist SB 29015720 could increase the mobilization of HSPCs in normal mice. BALB/c mice were injected intraperitoneally on 3 consecutive days with SB 290157, but no increase in circulating Sca-1+/c-Kit+ cells and CFU-GM progenitors in these animals was found (not shown). Hence it was determined whether this compound could enhance the mobilization of HSPCs when used together with suboptimal doses of G-CSF. Prior to treatment with the C3aR antagonist, mice were injected subcutaneously with G-CSF on 3 or 6 consecutive days to receive suboptimal or optimal doses of G-CSF for mobilization, respectively. SB 290157 (0.5 μg/mouse) was given intraperitoneally along with the last dose of G-CSF. This dose of SB 290157 was selected on the basis of an initial report stating that when administered intraperitoneally to experimental animals SB 290157 maintained a high concentration in the plasma for up to 8 hours.20 Combining SB 290157 with G-CSF in the mobilization protocol efficiently accelerated mobilization as evaluated by an increase in circulating MNCs (Figure 2A) and number of circulating CFU-GM progenitors (Figure 2B).
C3aR antagonist SB 290157 accelerates G-CSF–induced mobilization in wt mice. Wt BALB/c mice were mobilized for 1, 3, or 6 days with G-CSF (250 μg/kg subcutaneously/day) (n = 24 animals/group). SB 290157 (500 μg/mouse) was injected intraperitoneally with the last dose of G-CSF. (A) The number of MNCs/μL PB. (B) The number of circulating CFU-GMs/100 μL PB. *P < .000 01 compared with mice mobilized for 3 days with G-CSF only.
C3aR antagonist SB 290157 accelerates G-CSF–induced mobilization in wt mice. Wt BALB/c mice were mobilized for 1, 3, or 6 days with G-CSF (250 μg/kg subcutaneously/day) (n = 24 animals/group). SB 290157 (500 μg/mouse) was injected intraperitoneally with the last dose of G-CSF. (A) The number of MNCs/μL PB. (B) The number of circulating CFU-GMs/100 μL PB. *P < .000 01 compared with mice mobilized for 3 days with G-CSF only.
Next, experiments were carried out to determine the optimal dose and time of injection of SB 290157 for mobilization. Normal mice were injected with decreasing doses of SB 290157 (1-0.01 μg/mouse) on the last day of G-CSF administration. Figure 3 shows that SB 290157 efficiently enhanced mobilization within the dose range of 1 to 0.01 μg/mouse. In a similar set of experiments it was found that SB 290157 was effective if added at the time of injection of the last dose of G-CSF and up to 4 hours afterward (not shown). Delayed treatment with the antagonist (> 6 hours after G-CSF injection) decreased the number of recovered Sca-1+/c-Kit+ cells and CFU-GMs from PB (not shown). SB 290157 was also much less effective or ineffective when combined with only 1 or 2 injections of G-CSF. This suggests that SB 290157 most efficiently enhances G-CSF–induced mobilization when the hematopoietic microenvironment has been “primed” by at least 2 doses of G-CSF.
The effect of SB 290157 on G-CSF–induced mobilization is dose-dependent. Wt BALB/c mice were mobilized for 3 days with G-CSF (250 μg/kg subcutaneously/day) (n = 12 animals/group). SB 290157 (0.01-1.0 μg/mouse) was injected intraperitoneally with the last dose of G-CSF. *P < .000 01 compared with mice mobilized for 3 days with G-CSF alone. Data are expressed as mean ± standard deviation.
The effect of SB 290157 on G-CSF–induced mobilization is dose-dependent. Wt BALB/c mice were mobilized for 3 days with G-CSF (250 μg/kg subcutaneously/day) (n = 12 animals/group). SB 290157 (0.01-1.0 μg/mouse) was injected intraperitoneally with the last dose of G-CSF. *P < .000 01 compared with mice mobilized for 3 days with G-CSF alone. Data are expressed as mean ± standard deviation.
To determine whether SB 290157 not only accelerates but also enhances mobilization of HSPCs we injected this compound repeatedly into the mice. Figure 4 shows that mice that were given SB 290157 for 2 to 3 days—which was included into both the 3-day and 6-day mobilization protocols—significantly increased the release of MNCs as well as CFU-GMs from the BM into PB, compared with mice mobilized by G-CSF alone. Thus, blockage of the C3a-C3aR axis by SB 290157 not only accelerates (Figure 2) but also enhances mobilization significantly (Figure 4).
C3aR antagonist SB 290157 enhances total G-CSF–induced mobilization in wt mice. C3–/– and C3aR–/– mice, as well as age- and sex-matched wt mice, were mobilized for 3 or 6 days with G-CSF (250 μg/kg subcutaneously/day) (n = 21 animals/group). SB 290157 (500 μg/mouse) was injected intraperitoneally at day 3 or day 2, and at day 3 or days 1, 2, and 3 in suboptimal (A) 3-day mobilization protocols or at day 6 or day 5, and day 6 or days 4, 5, and 6 in optimal (B) 6-day mobilization protocols. Left panels: the number of MNCs/μL PB. Right panels: the number of circulating CFU-GMs/100 μL PB. * P < .000 01 compared with mice mobilized with G-CSF only. Data are expressed as mean ± standard deviation.
C3aR antagonist SB 290157 enhances total G-CSF–induced mobilization in wt mice. C3–/– and C3aR–/– mice, as well as age- and sex-matched wt mice, were mobilized for 3 or 6 days with G-CSF (250 μg/kg subcutaneously/day) (n = 21 animals/group). SB 290157 (500 μg/mouse) was injected intraperitoneally at day 3 or day 2, and at day 3 or days 1, 2, and 3 in suboptimal (A) 3-day mobilization protocols or at day 6 or day 5, and day 6 or days 4, 5, and 6 in optimal (B) 6-day mobilization protocols. Left panels: the number of MNCs/μL PB. Right panels: the number of circulating CFU-GMs/100 μL PB. * P < .000 01 compared with mice mobilized with G-CSF only. Data are expressed as mean ± standard deviation.
G-CSF–induced mobilization stimulates C activation
The experiments described thus far indicated a role for C3a and C3aR in the mobilization process, and this would require the generation of C3a through the cleavage of native C3 into C3a and C3b. C activation by damaged tissue is known to be associated with ischemia/reperfusion injury and is characterized by deposition of C3b/iC3b onto the damaged tissue.30,31 Both G-CSF– and cyclophosphamide-induced mobilization are known to be associated with limited BM stress/injury and induction of a highly proteolytic BM environment.32,33 Analysis of BM cells from mice treated with G-CSF to induce mobilization revealed evidence for deposition of C3b/iC3b 3 days after G-CSF treatment. BM cells exhibited staining with an affinity-purified antimouse C3–Oregon Green that was readily detectable by flow cytometry (Figure 5). As a control for the specificity of the affinity-purified polyclonal antimouse C3 reagent, BM cells from C3–/– mice were tested in parallel and showed no increase in staining following G-CSF–induced mobilization (Figure 5). The staining observed with BM from wt (C3+/+) mice (Figure 5) suggests the presence of uniformly bound C3b/iC3b on a majority of BM cells. However, when CD45– cells (primarily stromal cells) were examined specifically it was obvious that stromal cells bore significantly more C3b/iC3b than did the CD45+ leukocytes.
G-CSF–induced mobilization triggers C3 activation in BM. Mice were mobilized with G-CSF, and BM cells were isolated and examined for bound C3 by staining with affinity-purified antimouse C3–Oregon Green and flow cytometry. In all tests, wild type C3+/+ (solid lines) were tested in parallel with C3-deficient (C3–/–) mice (dashed lines). (A) Upper histogram: detection of bound C3 on the entire BM cell population after 3 days of treatment with G-CSF. Middle histogram: examination of CD45+ cells (leukocytes) shows that the majority of cells express detectable C3 when compared with the CD45+ cells from a C3–/– mouse (control for antibody specificity). Bottom histogram: analysis of the CD45– stromal cells shows far more bound C3 is present on stromal cells than on the CD45+ leukocytes. (B) Isotype controls with the use of Oregon Green–conjugated nonspecific IgG. (C) For each test, BM cells from mice that were either not treated or treated with G-CSF were examined in parallel to show that G-CSF treatment selectively produced C3 staining with wild-type but not with C3-deficient mice. Left panel: detection of bound C3 on the entire BM cell population from a C3–/– mouse (KO) after 3 days of treatment with G-CSF (solid line) or nontreated animals (dotted line). Right panel: detection of bound C3 on the entire BM cell population from a wild-type mouse (WT) after 3 days of treatment with G-CSF (solid line) or nontreated animals (dotted line). An additional control for the lack of dead-cell nonspecific staining used a nonspecific Oregon Green–labeled IgG Ab that exhibited the same low level of staining with both the wt and C3-deficient mouse BM cells (not shown). This experiment was repeated 3 times with similar results.
G-CSF–induced mobilization triggers C3 activation in BM. Mice were mobilized with G-CSF, and BM cells were isolated and examined for bound C3 by staining with affinity-purified antimouse C3–Oregon Green and flow cytometry. In all tests, wild type C3+/+ (solid lines) were tested in parallel with C3-deficient (C3–/–) mice (dashed lines). (A) Upper histogram: detection of bound C3 on the entire BM cell population after 3 days of treatment with G-CSF. Middle histogram: examination of CD45+ cells (leukocytes) shows that the majority of cells express detectable C3 when compared with the CD45+ cells from a C3–/– mouse (control for antibody specificity). Bottom histogram: analysis of the CD45– stromal cells shows far more bound C3 is present on stromal cells than on the CD45+ leukocytes. (B) Isotype controls with the use of Oregon Green–conjugated nonspecific IgG. (C) For each test, BM cells from mice that were either not treated or treated with G-CSF were examined in parallel to show that G-CSF treatment selectively produced C3 staining with wild-type but not with C3-deficient mice. Left panel: detection of bound C3 on the entire BM cell population from a C3–/– mouse (KO) after 3 days of treatment with G-CSF (solid line) or nontreated animals (dotted line). Right panel: detection of bound C3 on the entire BM cell population from a wild-type mouse (WT) after 3 days of treatment with G-CSF (solid line) or nontreated animals (dotted line). An additional control for the lack of dead-cell nonspecific staining used a nonspecific Oregon Green–labeled IgG Ab that exhibited the same low level of staining with both the wt and C3-deficient mouse BM cells (not shown). This experiment was repeated 3 times with similar results.
The presence of bound C3b/iC3b on BM cells indicates that G-CSF–induced mobilization protocols are associated with C activation and cleavage of native C3 into fluid-phase C3a and bound C3b (which is degraded rapidly into iC3b via serum factor I).11,34 Thus mobilization is associated with the local release of C3a in the BM microenvironment.
SB 290157 is not toxic to HSPCs
These experiments suggested that the C3aR antagonist SB 290157 could be used to disrupt the C3a-C3aR axis and improve mobilization of HSPCs. Hence experiments were carried out to determine whether doses of SB 290157 that functioned to enhance HSPC mobilization exhibited any evidence for toxicity against BM cells. Murine or human BM MNCs were incubated in the presence of increasing doses of SB 290157 (100-1000 ng/mL), and the number of CFU-GM, BFU-E, and CFU-Meg colonies generated in methylcellulose cultures was evaluated. In addition, other experiments examined whether these cells showed the same ability as control, nonincubated cells to form CFU-S colonies in lethally irradiated recipients. The data demonstrated that the C3aR antagonist SB 290157 was free of any unwanted hematopoietic side effects under the conditions examined. It did not affect either the clonogenic potential of murine BM MNCs or the formation of CFU-S colonies. The number of murine CFU-GM, BFU-E, and CFU-Meg colonies grown from control (untreated) cells and cells treated (n = 12) with 1000 ng/mL per 3 hours of SB 290157 was 82 ± 24 versus 86 ± 33, 164 ± 43 versus 170 ± 49, and 52 ± 19 versus 56 ± 25, respectively. Similarly, the number of day-12 CFU-S colonies (n = 24) derived from untreated versus treated cells was 23 ± 8 versus 21 ± 12, respectively, which further supports the notion that this compound does not affect the proliferative potential and seeding efficiency of murine HSPCs assayed in this way.
Additional tests also did not detect any toxicity of this compound against selected hematopoietic cell lines (HL-60, K-562, and Jurkat). Cells exposed to SB 290157 (1000 ng/mL per 3 hours) did not show any changes in proliferation rate compared with untreated cells (not shown). Similarly, no effect on cell viability or survival was noted (Annexin V binding and trypan blue exclusion tests). Of note, SB 290157 was also not toxic to human clonogenic CFU-GM, BFU-E, and CFU-Meg progenitors (not shown). Finally, it was shown that the C3a antagonist also had no effect on SDF-1–mediated phosphorylation of MAPK p42/44 and serine-threonine kinase AKT (Figure 6A) or on calcium flux (Figure 6B).
SB 290157 does not affect either the SDF-1–induced phosphorylation of AKT and MAPK p42/44 or a calcium flux. (A) Normal human CD34+ BM MNCs were stimulated by C3a or SDF-1 (lanes 2 and 4) in the presence of 250 μM SB 290157 (lanes 3 and 5) for 2 minutes (lanes 2-3) or 15 minutes (lanes 4-5). Lane 1: nonstimulated cells. The experiment was repeated twice yielding similar results. (B) Normal human BM MNCs were stimulated by C3a or (C) SDF-1 alone or (D) with C3a and SDF-1 in the presence of SB 290157. The experiment was repeated 3 times, yielding similar results.
SB 290157 does not affect either the SDF-1–induced phosphorylation of AKT and MAPK p42/44 or a calcium flux. (A) Normal human CD34+ BM MNCs were stimulated by C3a or SDF-1 (lanes 2 and 4) in the presence of 250 μM SB 290157 (lanes 3 and 5) for 2 minutes (lanes 2-3) or 15 minutes (lanes 4-5). Lane 1: nonstimulated cells. The experiment was repeated twice yielding similar results. (B) Normal human BM MNCs were stimulated by C3a or (C) SDF-1 alone or (D) with C3a and SDF-1 in the presence of SB 290157. The experiment was repeated 3 times, yielding similar results.
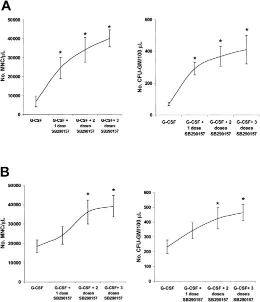
SB 290157 does not enhance mobilization in C3–/– and C3aR–/– mice
Recently a new C3a-binding receptor, C5L2, has been described.35,36 To rule out both the involvement of this receptor in SB 290157–enhanced mobilization or some other unspecified action of this compound in causing the effect observed, C3–/– and C3aR–/– mice and the respective age- and sex-matched wt C57Bl/6 and BALB/c mice were mobilized by treatment with either G-CSF alone or G-CSF + SB 290157. Figure 7 shows that the C3aR antagonist enhanced mobilization in wt mice but not in C3–/– (Figure 7A) or C3aR–/– (Figure 7B) animals. Since SB 290157 did not affect G-CSF–induced mobilization in these mice, it is proposed that the mobilization-enhancing effect of SB 290157 is highly specific to the C3a-C3aR axis, does not involve a putative C3a-C5L2 axis, and is important in the retention of HSPCs within the BM.
Effect of SB 290157 is C3a-C3aR axis-dependent. Wt C57Bl/6 (C3+/+), C3–/– C57Bl/6, BALB/c C3aR–/–, and wt BALB/c (C3aR+/+) mice were mobilized for 3 days with G-CSF (250 μg/kg subcutaneously/day) (n = 12 animals/group). SB 290157 (500 μg/mouse) was injected intraperitoneally with the last dose of G-CSF. (A) The number of circulating CFU-GMs/50 μL PB in C57Bl/6 wt and C3–/– mice with or without SB 290157. (B) The number of circulating CFU-GMs/50 μL PB in BALB/c wt and C3aR–/– mice with or without SB 290157. *P < .000 01 compared with wt mice mobilized with G-CSF alone. Data are expressed as mean ± standard deviation.
Effect of SB 290157 is C3a-C3aR axis-dependent. Wt C57Bl/6 (C3+/+), C3–/– C57Bl/6, BALB/c C3aR–/–, and wt BALB/c (C3aR+/+) mice were mobilized for 3 days with G-CSF (250 μg/kg subcutaneously/day) (n = 12 animals/group). SB 290157 (500 μg/mouse) was injected intraperitoneally with the last dose of G-CSF. (A) The number of circulating CFU-GMs/50 μL PB in C57Bl/6 wt and C3–/– mice with or without SB 290157. (B) The number of circulating CFU-GMs/50 μL PB in BALB/c wt and C3aR–/– mice with or without SB 290157. *P < .000 01 compared with wt mice mobilized with G-CSF alone. Data are expressed as mean ± standard deviation.
Studies in C3aR-wt chimeric mice reveal the essential role of C3aR deficiency on graft-derived cells for stem-cell retention in BM
Finally, studies in chimeric mice created by transplantation revealed that wt mice reconstituted with C3aR–/– mouse-derived BM cells but not C3aR–/– mice reconstituted with wt BM cells are more sensitive to G-CSF–induced mobilization. Accordingly, after 3 days of G-CSF mobilization the number of CFU-GMs present in the PB of wt mice reconstituted with C3aR–/– BM cells and C3aR–/– mice reconstituted with wt BM was 272 ± 39 and 68 ± 21 in 100 μL PB, respectively (n = 12) (P < .0001). At the same time, the defect was also re-established in C3aR–/– mice that received transplants of C3aR–/– cells but not in control wt mice that received transplants of wt BM (354 ± 67 versus 62 ± 19 CFU-GM/100 μL of PB) (P < .0001). The full chimerism of mice that underwent transplantation was confirmed by real-time PCR with primers designed to recognize normal or KO alleles of the C3aR gene. The transplantation data in C3aR-wt chimeric mice suggest that the presence of C3aR on graft-derived cells is important for the retention of HSPCs in hematopoietic organs.
Discussion
This investigation demonstrates a novel function for the complement system, specifically C3a and C3aR, in the retention of HSPCs in the BM, and accordingly it is proposed that complement plays a pivotal role in modulating/counterbalancing the uncontrolled egress of HSPCs from BM during mobilization. Treatment of mice with G-CSF apparently triggers C activation with C3 deposition on affected but viable BM cells that is readily detectable by immunofluorescence and flow cytometry. This indicates that (1) G-CSF treatment is capable of initiating the cleavage of C3 into fluid-phase C3a and cell-bound C3b/iC3b in the BM microenvironment and (2) C3 activation is an integral part of the molecular events taking place during mobilization/egress of HSPCs from the BM into PB.
The multiple mechanisms and factors that regulate anchorage/retention of HSPCs in the BM and their potential release into PB during mobilization are still not fully understood.1,2 Accumulating evidence indicates that SDF-1 plays a central role, among other factors, in anchoring stem cells in the BM environment. However, its subsequent degradation during G-CSF–mediated mobilization by BM proteases is known to cause a decrease in the SDF-1 concentration in BM that facilitates the egress of stem cells into PB.3-8,32,33 We have recently identified a novel pathway involving cross-talk between the G-protein–coupled CXCR4 and C3aR receptors that might modulate the homing activity and retention of HSPCs, and we have demonstrated that HSPCs express functional C3aR and respond to C3a with enhanced adhesion and chemotactic responses to SDF-1 via CXCR4.9
The data reported in the current work support the hypothesis that C3a-mediated sensitization of the responsiveness of HSPCs to an SDF-1 gradient might be one of the key factors responsible for adhesion/retention of HSPCs in the BM, especially during mobilization when the biologic availability of SDF-1 decreases. It was shown that C3- and C3aR-deficient mice, assumed to be hematopoietically normal,17,18,21 were significantly more sensitive to mobilization by G-CSF than were wt mice, suggesting that the C3a-C3aR axis potentially plays an important modulatory role in retention of HSPCs within the BM microenvironment and that perturbation of this axis may facilitate egress/mobilization into PB.
Furthermore, the observation that complement is activated during mobilization is novel and intriguing. It is known that during mobilization the BM is transformed into a highly proteolytic environment, and this may produce a tissue injury capable of stimulating complement activation.32,33 It appears that simultaneous to the known cleavage by BM proteases of both SDF-132,33 and the N-terminus of the CXCR4 receptor,32,33 complement is also activated with resultant C3 cleavage into fluid phase C3a and BM-bound C3b/iC3b. Based on this and our previous observations, we postulate that C3 activation/cleavage may counterbalance the decrease in function of the SDF-1–CXCR4 axis in the BM, and that C3a, by increasing the responsiveness of HSPCs to low doses of SDF-1, prevents uncontrolled egress of these cells from the BM into the PB. Thus, C3a is the first negative regulator of HSPC egress during mobilization to be described so far. The C3a-C3aR axis could also play a similar role in the homing of HSPCs after transplantation, and our preliminary data that suggest that mice deficient in C3 have a defect in BM engraftment supports it.37 Furthermore, the mobilization studies performed on the C3aR–/–-wt chimeras revealed that wt mice reconstituted with C3aR–/– BM cells but not C3aR–/– mice reconstituted with wt BM cells are more sensitive to G-CSF–induced mobilization. This suggests that C3aR expression on graft-derived cells is essential to this phenomenon.
The role of C3 in the retention of HSPCs in BM may also have more general implications for tissue/organ injury and regeneration. Complement activation at the site of tissue injury has not only been found in ischemia/reperfusion injury of myocardium, skeletal muscle, and intestinal mucosa,31,38,39 but also has been reported in association with acid aspiration injury.30 With such tissue injury, fluid-phase C3a is released and at the same time C3b/iC3b is deposited onto the damaged tissue with resultant recruitment of mast cells. However, wherever the solid-phase product C3b/iC3b is deposited, the fluid-phase C3a released may act together with SDF-1 to facilitate the recruitment of CXCR4+ tissue-specific stem cells.9,40 Supporting this idea are several findings showing (1) the involvement of activated C3 in organ and tissue regeneration,41,42 (2) up-regulated expression of SDF-1 in damaged organs/tissues, and (3) expression of both C3aR and CXCR4 on the surface of tissue-committed stem cells. In support of these last 2 notions, we recently reported that during tissue injury (1) the expression of mRNA for SDF-1 is up-regulated in damaged heart, kidney, and liver and (2) CXCR4-positive tissue-committed stem/progenitor cells could be mobilized into PB and follow an SDF-1 gradient.40,43 Moreover, we noticed that similarly as for HSPCs,9 the chemotactic response of these cells to an SDF-1 gradient is primed by C3a (M.K. and M.Z.R., manuscript in preparation, 2004). Thus, we postulate that release of C3a and SDF-1 in damaged organs and the deposition of other C3 cleavage fragments (C3b, iC3b, C3dg) may modulate the trafficking/homing of circulating stem cells that are involved in regeneration of affected organs.40,43 The contribution of circulating stem cells to organ regeneration is a well-recognized phenomenon, but the molecular mechanisms regulating recruitment of these cells are not well defined. Cross-talk between the C3a-C3aR and SDF-1–CXCR4 axes could play an essential role in attracting tissue-committed stem cells.9 In addition to soluble C3a, C3b/iC3b fragments that are bound to damaged tissues could also regulate trafficking of stem cells. Supporting this is the observation that HSPCs express CR3,22 the receptor for iC3b, and this may give them the ability to bind to iC3b deposited at the site of injury in the BM during mobilization. Mobilization studies in CR3-deficient animals are planned to evaluate the contribution of the iC3b-CR3 axis further. We expect to find that mice with CR3 deficiency display a similar defect in retention of HSPCs in BM as the C3- and C3aR-deficient animals. Evidence in support of this is already available in a report showing that antibodies against CR3 do enhance G-CSF–induced mobilization in mice.44
This research also demonstrated that blockade of the C3aR with a small nonpeptide antagonist, SB 290157, functioned both to accelerate and enhance G-CSF–induced mobilization and release of HSPCs into PB in normal mice. Since it was also shown that this antagonist did not affect either the proliferative potential of clonogenic progenitors or the engraftment potential of CFU-S cells, SB 290157 appears to be safe with respect to hematopoiesis and lends credence to the idea that it could be used as a new mobilization agent in the clinic. Moreover, the systemic administration of SB 290157 did not produce any detectable side effects or organ toxicity in the experimental animals tested.20 Whether this strategy could be effective for patients, especially “poor mobilizers,” warrants clinical study. We envision that inclusion of SB 290157 in standard mobilization protocols would not only improve mobilization efficiency in patients/donors resistant to the standard G-CSF mobilization treatment but would also permit reductions in the dose of G-CSF and the number of apheresis cycles used. It would be interesting to test whether SB 290157 enhances the mobilization effect of other mobilizing agents such as cyclophosphamide, AMD 3100,45 or T140, and this is currently being investigated in our laboratories.
On the basis of these observations we conclude that the complement system plays a crucial and as yet underappreciated role in the retention of HSPCs in BM and that the C3a-C3aR axis may protect HSPCs from uncontrolled egress from the BM (eg, during G-CSF– or chemotherapy-induced mobilization). Moreover, we provide here novel evidence that the blockade of C3aR increases the egress of HSPCs from the BM and thus could be explored as a new therapeutic strategy to enhance/accelerate mobilization of HSPCs.
Prepublished online as Blood First Edition Paper, November 6, 2003; DOI 10.1182/blood-2003-06-2099.
Supported in part by National Institutes of Health (NIH) grants R01 HL61796 (M.Z.R.), R01 AI25011 and R01 HL074333 (R.A.W.), and R01 CA86412 (G.D.R.), and Canadian Blood Services and Canadian Institutes of Health Research (A.J.-W.) grants.
The publication costs of this article were defrayed in part by page charge payment. Therefore, and solely to indicate this fact, this article is hereby marked “advertisement” in accordance with 18 U.S.C. section 1734.
The authors acknowledge the excellent technical assistance provided by Mr Richard D. Hansen in managing the breeding and husbandry of the C3- and C3aR-deficient mouse colonies.







This feature is available to Subscribers Only
Sign In or Create an Account Close Modal