Abstract
Administration of mobilized peripheral blood progenitor cells (PBPCs) after high-dose chemotherapy rapidly restores multilineage hematopoiesis, but the ability of such products to restore lymphocyte populations remains unclear. In this report, we evaluated immune reconstitution in a series of patients treated with sequential cycles of high-dose chemotherapy, followed by autologous PBPC infusions (median CD34+ cell dose 7.2 × 106 cells/kg [range 2-29.3]). Although patients experienced rapid reconstitution of B cells and CD8+ T cells, we observed CD4 depletion and diminished immune responsiveness in all patients for several months after completion of therapy. Mature CD4+ T cells contained within the grafts did not appear to contribute substantially to immune reconstitution because CD4 counts did not differ between recipients of unmanipulated T-cell replete infusions versus CD34 selected, T-cell–depleted infusions. Rather, at 12 months after therapy, total CD4 count was inversely proportional to age (ρ = −0.78,P = .04), but showed no relationship to CD34 cell dose (ρ = −0.42, P = .26), suggesting that age-related changes within the host are largely responsible for the limited immune reconstitution observed. These results demonstrate that in the autologous setting, the infusion of large numbers of PBPCs is not sufficient to restore T-cell immune competence and emphasize that specific approaches to enhance immune reconstitution are necessary if immune-based therapy is to be used to eradicate minimal residual disease after autologous PBPC transplantation.
There are 2 primary pathways by which CD4+T cells may be regenerated in vivo. Thymic-dependent CD4 regeneration recapitulates immune ontogeny and gives rise to peripheral T cells via thymic differentiation of primitive marrow-derived progenitors. Alternatively, peripheral expansion of mature CD4+ T cells can also restore substantial CD4+T-cell numbers post–T-cell depletion, and this represents the primary pathway for CD4+ T-cell regeneration when thymopoietic pathways are limiting.1
We and others have previously shown that persistent CD4 depletion after intensive chemotherapy and after bone marrow transplantation (BMT) in humans is related primarily to age-associated thymic insufficiency.2-4 The mechanisms responsible for age-associated thymic insufficiency are poorly understood, but could involve age-associated declines in bone marrow–derived T-cell progenitors that may be intensified by cytotoxic therapy. Recent evidence has shown that in the allogeneic transplant setting, the provision of mobilized peripheral blood progenitor cells (PBPCs) leads to more rapid immune reconstitution compared with BMT5,6and some reports have suggested similar improvements in immune recovery in autologous PBPC transplantation compared with autologous BMT.7,8 Such enhanced T-cell regeneration could result from the provision of larger numbers of prethymic progenitors, which could enhance the regeneration of mature T cells via thymic pathways. Alternatively, however, enhanced immune reconstitution after PBPC transplantation versus BMT could result from the provision of larger numbers of T cells contained within PBPC grafts compared with bone marrow grafts,9 which might serve to enhance T-cell reconstitution via peripheral expansion.
In this study, immune reconstitution was evaluated in a series of children and young adults treated for cancer with sequential cycles of dose-intensive chemotherapy, followed by mobilized autologous PBPC infusions. The goals of the study were to investigate whether the provision of PBPCs was sufficient to restore T-cell populations that were depleted by high-dose alkylating agent therapy and to address whether such PBPC populations abrogated the age-associated declines in thymic regenerative capacity, which we have reported previously. Furthermore, because mature T cells contained within PBPC grafts could contribute to immune reconstitution with resultant important implications for host immune competence, we sought to address whether immune reconstitution differed between recipients of T-cell–replete versus T-cell–depleted PBPC grafts.
Patients, materials, and methods
Patients and chemotherapy
The patient population comprised children and young adults treated for pediatric sarcomas (Ewing sarcoma family of tumors, rhabdomyosarcoma) or neuroblastoma. The patients were treated on protocol NCI 93-C-0125, which was approved by the Institutional Review Board of the National Cancer Institute and informed consent was obtained from all patients or their parents before enrollment. The trial was open to patients aged 1 to 25 years. All patients enrolled in this trial of high-dose therapy were at high risk for tumor recurrence either because of age (more than 10 years), tumor location (truncal or proximal extremity), or disease extent (regional or disseminated). No patient received chemotherapy before enrollment on this protocol.
Patients received chemotherapy according to 2 phases: an induction/progenitor cell mobilization phase (cycles 1-5) during which dose-intensive, cytotoxic therapy was administered and PBPCs were collected by apheresis, followed by a consolidation phase (cycles 6-8) during which 1 to 3 cycles of high-dose chemotherapy, followed by PBPC infusion were administered. The number of consolidation cycles administered to each patient was based on patient tolerance and CD34+ cell availability. Induction therapy comprised vincristine 2.0 mg/m2 (max 2.0 mg), administered weekly × 12 and, simultaneously, 5 consecutive cycles of doxorubicin 90 mg/m2 and cyclophosphamide 2.4 gm/m2 (VadriaC), with each cycle commencing as soon as possible after hematologic recovery. Granulocyte colony-stimulating factor (G-CSF) 10 mcg/kg was administered daily after each cycle through recovery of the absolute neutrophil count (ANC) to at least 10 000 cells/μL or until completion of the apheresis procedure for a given cycle. During the consolidation phase, therapy consisted of up to 3 consecutive cycles of melphalan (dosage range of 60-120 mg/m2), ifosfamide 13.6 gm/m2, etoposide 800 mg/m2, and mesna as a uroprotectant (MIME). At least 72 hours after infusion of MIME chemotherapy, PBPCs were administered, followed by G-CSF 10 mcg/kg per day. Radiotherapy (5.2-6.0 Gy) was administered to the site of the primary tumor in patients 1, 6, 7, 11, 13, 14, and 19. Because pneumonia with Pneumocystis carinii developed in 2 of the first 5 patients treated on this trial, subsequent patients were treated prophylactically with either inhaled pentamadine (300 mg) or trimethoprim/sulfamethoxazole (150/750 mg/m2 per day) administered orally twice weekly.
Collection and processing of autologous peripheral blood progenitor cells
PBPCs were collected by automated leukapheresis using the Fenwal CS3000Plus (Baxter, Deerfield, IL) or the Spectra (Cobe, Lakewood, CO) cell separator by peripheral or central venous access. Citrate anticoagulation was used, but was occasionally reduced and augmented with heparin in smaller patients to avoid citrate toxicity. Blood volume processed was typically 2 to 3 blood volumes (10-15 L for adults) per apheresis procedure. Leukapheresis was initiated at the beginning of recovery from the leukocyte nadir after induction chemotherapy, when the circulating leukocyte count exceeded 2000/μL, and was continued daily to achieve a target CD34+ cell dose of 5 × 106/kg patient weight. In 1 patient (no 9), adequate numbers of CD34+cells were not obtained via harvests undertaken during induction chemotherapy, therefore multiple subsequent aphereses were performed after MIME consolidation chemotherapy. Individual patients underwent a mean of 4.05 ± 0.95 PBPC apheresis procedures with 11.36 ± 1.41 L processed/procedure.
PBPCs were not CD34 selected for the first 9 patients, but were CD34− selected using the CeprateSC system (CellPro, Bothell, WA) for the remaining 10 patients. This selection method, which uses a biotinylated anti-CD34 antibody, purifies cells by biotin-avidin immunoadsorption and typically results in 50% recovery of CD34+ cells, and a 2-log passive depletion of T cells. All unselected and selected PBPC products were cryopreserved in 10% DMSO using controlled-rate freezing and stored in bags or vials in liquid nitrogen until ready for thawing and infusion. CD34+cells and CD3+ T cells in PBPC products were enumerated by automated leukocyte counting and flow cytometry using the FACScan with CellQuest software (Becton Dickinson Immunocytometry Systems [BDIS], San Jose, CA), with standard fluorochrome-labeled antibodies to CD34 (anti–HPCA-2) and CD3 (Leu 4) (BDIS). For each cycle of consolidation therapy, the CD34+ and CD3+ cell doses for all bags or vials infused were summed and expressed as a cell dose per kilogram patient weight (Table 1).
Flow cytometry
Peripheral blood specimens were obtained during routine clinic visits and were handled according to established clinical guidelines. Baseline samples were obtained before therapy. On-therapy evaluation of lymphocyte subsets was undertaken at the time of hematologic recovery just before administration of cycles 3, 6, 7, and 8. On completion of therapy, immunophenotyping was undertaken at the time of routine clinic visits that generally occurred at 1, 3, 6, 9, and 12 months after therapy, then every 6 months for up to 30 months after completion of therapy. Evaluation of immune reconstitution was discontinued at the time of tumor recurrence.
Cells were stained for flow cytometry using the whole blood lysis technique and analyzed on a FACScan using Cellquest software as previously described.10 To calculate absolute numbers of each lymphocyte subset, the percentage of cells staining positive was multiplied by the absolute peripheral blood lymphocyte count. This was determined by a CellDyn 3500 (Abbott, Chicago, IL) and leukocyte differential on a blood sample obtained simultaneously. Control samples obtained from normal volunteers were analyzed concurrently with each experimental sample. The 95% confidence intervals for lymphocyte subsets as shown in Figures 1 and2 were derived from 40 healthy adults aged 18 to 55 in whom lymphocyte subset analysis was performed as described above.
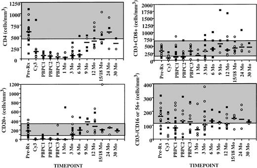
Changes in peripheral blood lymphocyte subpopulations during sequential cycles of chemotherapy, PBPC infusions, and after completion of therapy.
The absolute number of each lymphocyte subset was determined using flow cytometry as described in “Materials and methods.” Samples were obtained at the time of maximal hematologic recovery from the preceding cycle of chemotherapy. Open circles represent patients who received unmanipulated PBPC grafts and filled squares represent patients who received CD34-selected/T-cell–depleted PBPC grafts. Shaded areas represent 95% confidence intervals for adult normal values as described in “Materials and methods.” Horizontal lines denote median values. The time points noted as 1 to 30 months represent time after completion of PBPC-supported chemotherapy. Patients received 1 to 3 PBPC cycles as detailed in Table 1. Pre-rx n = 15, Cy3 n = 8, PBPC1 n = 13, PBPC2 n = 8, PBPC3 n = 8, 1 month n = 5, 3 months n = 12, 6 months n = 5, 9 months n = 4, 12 months n = 8, 15 to 18 months n = 6, 24 months n = 4, and 30 months n = 2.
Changes in peripheral blood lymphocyte subpopulations during sequential cycles of chemotherapy, PBPC infusions, and after completion of therapy.
The absolute number of each lymphocyte subset was determined using flow cytometry as described in “Materials and methods.” Samples were obtained at the time of maximal hematologic recovery from the preceding cycle of chemotherapy. Open circles represent patients who received unmanipulated PBPC grafts and filled squares represent patients who received CD34-selected/T-cell–depleted PBPC grafts. Shaded areas represent 95% confidence intervals for adult normal values as described in “Materials and methods.” Horizontal lines denote median values. The time points noted as 1 to 30 months represent time after completion of PBPC-supported chemotherapy. Patients received 1 to 3 PBPC cycles as detailed in Table 1. Pre-rx n = 15, Cy3 n = 8, PBPC1 n = 13, PBPC2 n = 8, PBPC3 n = 8, 1 month n = 5, 3 months n = 12, 6 months n = 5, 9 months n = 4, 12 months n = 8, 15 to 18 months n = 6, 24 months n = 4, and 30 months n = 2.
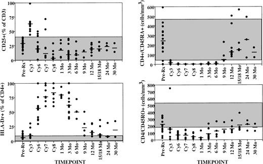
Changes in peripheral blood T-cell and CD4+T-cell subsets during sequential cycles of chemotherapy, PBPC infusions, and after completion of therapy.
The absolute number of each subset was determined using flow cytometry as described in “Materials and methods.” Samples were obtained at the time of maximal hematologic recovery from the preceding cycle of chemotherapy. Shaded areas represent 95% confidence intervals for normal values as described in “Materials and methods.” Horizontal lines denote median values. The time points noted as 1 to 30 months represent time after completion of PBPC-supported chemotherapy. Patients received 1 to 3 PBPC cycles as detailed in Table 1. N values for each time point are shown in the Figure 1 legend.
Changes in peripheral blood T-cell and CD4+T-cell subsets during sequential cycles of chemotherapy, PBPC infusions, and after completion of therapy.
The absolute number of each subset was determined using flow cytometry as described in “Materials and methods.” Samples were obtained at the time of maximal hematologic recovery from the preceding cycle of chemotherapy. Shaded areas represent 95% confidence intervals for normal values as described in “Materials and methods.” Horizontal lines denote median values. The time points noted as 1 to 30 months represent time after completion of PBPC-supported chemotherapy. Patients received 1 to 3 PBPC cycles as detailed in Table 1. N values for each time point are shown in the Figure 1 legend.
The monoclonal antibodies used for T-cell phenotyping included: anti-CD3(Leu 4), anti-CD4 (13B8.2), anti-CD8 (B9.11), anti-CD45RO (UCHL1), and anti-CD45RA (Alb11). T-cell activation antibodies included: anti–HLA-DR and anti-CD25 (2A3). Natural killer (NK) antibodies included: anti-CD16 (Leu 11) and anti-CD56 (Leu 19). B-cell antibodies were anti-CD19 (Leu 12) and anti-CD20 (Leu 19). The Leu reagents, anti-CD25 and anti-HLA-DR were obtained from Becton Dickinson; the anti-CD45RO reagent was obtained from Dako, Inc (Carpinteria, CA), anti-CD45RA was from Beckman Coulter (Brea, CA), and anti-CD4 and anti-CD8 were from Coulter-Immunotech (Hialeah, FL). Irrelevant murine monoclonal antibodies of the IgG1, IgG2a, and IgG2b subclass (BDIS) were used to define background staining.
Lymphocytes were identified by forward- and side-scatter analyses and the lymphocyte gate was checked using the Leucogate (CD45/CD14) reagent from Becton Dickinson. List mode parameters were collected for 10 000 cells within the lymphocyte gate and positive staining was calculated based on the subclass control specimens. CD4+ T cells were defined as CD4+CD3+ cells, B cells as CD20+ cells, and NK cells as CD3− cells, which were CD16+ and/or CD56+. Three-color analysis was used to define activated T-cell subsets (CD3+/CD4+ or CD8+/HLA-DR+ or CD25+) and CD45 isoform expression (CD3+/CD4+/CD45RA+ or CD45RO+).
Functional assays
PBPCs from patients and normal donors were separated using ficoll-sodium diatrizoate gradients (Lymphocyte Separation Medium, Organon Teknika, Durham, NC), washed twice with Delbecco's phosphate-buffered saline (DPBS) (Gibco/BRL, Gaithersburg, MD), and resuspended at 2 × 106 cells/mL in RPMI 1640 (Gibco) supplemented with penicillin/streptomycin, and 10% fetal bovine serum (Sigma, St Louis, MO). Cells were cultured at 2 × 105 cells per well in 96-well round bottom plates with medium alone and phytohemagglutinin (PHA, 0.5% final, Gibco). Wells were pulsed after 48 hours with 0.037 Mbq (1 μCi) 3H thymidine and harvested 18 to 24 hours later using a Titertek harvester (Wallac, Turku, Finland). Thymidine uptake was measured using a Betaplate reader (Wallac).
Immunoglobulin levels
Serum IgG, IgA, and IgM levels were determined using standard automated nephelometry at specified time points during chemotherapy and sequentially on completion of chemotherapy.
Statistics
Data are expressed as medians (ranges). Because analysis of this data set is limited because of low patient numbers, the nonparametric Spearman correlation coefficients and Mann-Whitney U tests for unpaired comparisons were calculated where described. All Pvalues are 2-sided.
Results
Lymphocyte depletion during induction and consolidation chemotherapy
Patient characteristics are listed in Table 1. This trial was designed to enroll a minimum of 5 and a maximum of 17 patients of each of 3 histologies (Ewing sarcoma family of tumors, rhabdomyosarcoma and neuroblastoma) to evaluate disease response to this regimen of dose compressed, intensive multimodality therapy. Because significant toxicity was observed without obvious benefit in terms of disease control, the protocol was closed before completing full enrollment. The 19 patients evaluated in this report represent consecutive patients enrolled for whom immune endpoints were available.
To evaluate the changes in lymphocyte number and phenotype induced by sequential multiagent chemotherapy, peripheral blood immunophenotyping was performed at the time of presentation and on hematologic recovery from successive cycles of induction and consolidation chemotherapy (Figure 1). At presentation, median B-cell number was 185 cells/μL (range 35-425), NK cell number was 168 cells/μL (range 38-313), CD4+ T-cell number was 608 cells/μL (range 119-1098) and CD8+T-cell number was 325 cells/μL (range 90-554). Median T-cell numbers were within normal adult limits, although moderately diminished values were recorded in some patients, as previously reported.10 During the induction phase, patients received 5 cycles of VadriaC therapy, which resulted in profound lymphocyte depletion in all patients. Depletion was most dramatic in the T-cell and B-cell subsets with a median CD4+ T-cell count of 83 cells/μL (range 13-154), CD8+ T-cell count of 104 cells/μL (range 9-857) and a median B-cell count of 8 cells/μL (range 1-101) at the time of hematologic recovery before the first PBPC-supported cycle of chemotherapy. NK cells were less severely depleted with a median value of 92 cells/μL (range 9-262) cells at the same time point (Figure 1).
Autologous PBPCs were generally harvested during the recovery phase of cycles 2, 3, and 4 of VadriaC therapy, at which time significant changes in T-cell number and phenotype had already taken place. As shown in Figure 2, there was a dramatic increase in CD25 receptor expression on T cells after cycle 2 of therapy, indicative of widespread T-cell activation. Although CD25 receptor expression was transient, this was followed by a more prolonged expression of HLA-DR and a conversion to the CD45RO phenotype that persisted for months in these patients. Therefore, dose-intensive chemotherapy not only induced dramatic T-cell depletion, but also induced widespread activation of the T-cell populations remaining after such chemotherapy.
After VAdriaC induction therapy, up to 3 cycles of consolidation MIME therapy accompanied by peripheral blood progenitor cell infusions were administered. The number of MIME/PBPC cycles given to each patient and the CD34 dose for each cycle of MIME/PBPC administered are shown in Table 1. As shown in Table 1, PBPC infusions resulted in rapid restoration of hematopoiesis with a median duration of neutropenia (ANC < 500 cells/μL) of 7.0 days (range 5-13), and a median duration to recovery of a transfusion-independent platelet count of more than 50 000 cells/μL(from day 1 of the cycle) of 16 days (range 2 to more than 100). Successive cycles of MIME/PBPC were administered upon hematologic and clinical recovery and occurred at a median of 31 days (range 23-102). In 2 patients (16 and 17), a second PBPC infusion was administered at day 43 and day 100, respectively, due to moderate asymptomatic pancytopenia. In both patients, subnormal hematologic parameters persisted for several months after the second PBPC infusion.
Despite rapid restoration of hematopoiesis in the majority of patients during these sequential consolidation cycles, reconstitution of lymphocyte populations did not occur. As shown in Figure 1, median CD4+ T-cell number before PBPC cycle 1 was 83 cells/μL (range 13-147), whereas median CD4+ T-cell number after PBPC cycle 1 was 64 cells/μL (range 12-152), after PBPC cycle 2 was 37 cells/μL (range 16-112) and after PBPC cycle 3 was 34 cells/μL (range 2-145). Similarly, CD20+ B cells remained very low during the consolidation phase. In contrast, CD8+T cells and NK cells showed less depletion during MIME/PBPC consolidation therapy, with median values at 1 month that were only modestly depleted compared with baseline. Therefore, although PBPC infusions resulted in rapid restoration of hematopoiesis, allowing sequential PBPC-supported cycles of dose-intensive chemotherapy to be administered with relative safety, restoration of CD4+ and B-cell lymphocyte populations was not observed within the same time frame.
Immune reconstitution after completion of chemotherapy/ peripheral blood progenitor cell infusions
To characterize the pace and extent of lymphocyte recovery after autologous PBPC infusions, evaluation of lymphocyte subsets was performed sequentially on completion of PBPC-supported chemotherapy. However, because tumor recurrence occurred relatively early in several patients as detailed in Table 1, many patients from the initial cohort were not available for analysis of late immune reconstitution time points. All available postchemotherapy immune data collected are shown in Figure 1, with these data points representing various, rather than consistent subjects over time. As shown in this figure, recovery of total CD4+ T cells was very slow in surviving patients, with median values remaining very low for at least 6 months after completion of chemotherapy.
Postchemotherapy statistical analysis of T-cell regeneration is focused on the 2 time points, wherein lymphocyte subset data are available from all potentially evaluable subjects: 3 months after chemotherapy, wherein lymphocyte subset data are available for 12 of 12 disease-free patients, and at 12 months after chemotherapy, wherein lymphocyte subset data are available for 8 of 8 disease-free patients. Several points of evidence taken from these time points suggest that thymic-dependent pathways, rather than peripheral expansion of mature T cells contained within the PBPC grafts, were central to CD4+ T-cell regeneration in this patient population. First, although there was no correlation between age and CD4+count at 3 months (ρ = 0.06, P = .97), there was an inverse correlation between age and CD4 T-cell number at 12 months (ρ = −0.78, P = .04), similar to that reported previously in chemotherapy recipients not treated with PBPC infusions and which appears to relate to age-associated declines in thymic regenerative capacity. Second, as shown in Figure 2, CD45 isoform analysis revealed that, although CD45RO+CD4+cells predominated during the months after infusion of PBSC products, CD4 counts did not normalize until normalization of CD45RA+cells occurred.
Third, increased numbers of mature T cells within the PBPC graft did not lead to enhanced CD4+ T-cell recovery. Indeed, at 3 months, the relationship between mature T cells infused and CD4+ T cells was ρ = 0.03, (P = .94) and at 12 months after therapy, there was no evidence for a positive relationship between T-cell number infused and CD4+ number (ρ = −0.51, P = .18) (Figure3). Further, because 10 of 19 patients received CD34-selected grafts, direct comparison could be made between patients who received T-cell–replete versus CD34 selected/T-cell–depleted products. The mean T-cell dose administered in the unmanipulated T-cell–replete grafts was 104 ± 40.5 × 106 cells/kg (mean CD4:CD8 ratio 1.8 ± 0.34) and the mean T-cell dose given to recipients of CD34 selected/T-cell–depleted grafts was 0.2 ± 0.04 × 106 cells/kg. Remarkably, as shown in Figure 1, CD4+ T-cell reconstitution was unaffected by whether T-cell–replete or T-cell–depleted PBPC grafts were infused: median CD4+ count in T-cell–replete versus CD34 selected/T-cell–depleted at 3 months 83 versus 84 cells/μL (P = .75), 12 months 258 versus 445 cells/μL (P = .65).
Relationships between CD4+ T-cell regeneration at 3 months and 12 months of age, CD34+ cell numbers infused, and T-cell number infused at the time of PBPC-supported chemotherapy.
For patients who received multiple cycles of PBPC-supported chemotherapy, the mean CD34 and mean T-cell numbers received/cycle are shown. Statistical significance is observed only for the relationship between age and CD4+ T-cell count at 12 months (P = .039) using the Spearman correlation.
Relationships between CD4+ T-cell regeneration at 3 months and 12 months of age, CD34+ cell numbers infused, and T-cell number infused at the time of PBPC-supported chemotherapy.
For patients who received multiple cycles of PBPC-supported chemotherapy, the mean CD34 and mean T-cell numbers received/cycle are shown. Statistical significance is observed only for the relationship between age and CD4+ T-cell count at 12 months (P = .039) using the Spearman correlation.
Because thymic-dependent pathways rely on an adequate supply of prethymic progenitors, it is possible that enhanced T-cell regenerative capacity in young patients reflects more vigorous CD34 mobilization. However, we observed no correlation between the median CD34+ cell number infused per cycle and age (ρ = 0.09,P = .71), or the median CD34+ cell number infused per cycle and CD4+ number 3 months (ρ = 0.21,P = .29) or 12 months after therapy (ρ = −0.42,P = .26) (Figure 3). Taken together, these results show that provision of large numbers of CD34+ cells is not sufficient to rapidly reconstitute CD4+ T-cell populations. Furthermore, although the number of patients in each subset is relatively small in this cohort, the results suggest that the provision of significant numbers of autologous CD4+T cells within the graft did not enhance CD4+T-cell regeneration, whereas age-related changes within the host play a primary role in determining the rate of CD4+ T-cell regeneration after chemotherapy.
In contrast to CD4 recovery, CD8 recovery was relatively brisk. As shown in Figure 1, median CD8+ T-cell numbers were within the normal range within 3 months of completion of chemotherapy in all patients studied with some patients showing supranormal levels. Although the lack of correlations in this small subset do not conclusively rule out the possibility of biologically important relationships that may exist, we observed no evidence for improved CD8+ recovery in recipients of unmanipulated compared with CD34 selected/T-cell–depleted grafts. Indeed, at 3 months after infusion, recipients of CD34+ selected/T-cell–depleted grafts had higher CD8+CD3+ counts (median 623 cell/μL [range 77-894]) compared with recipients of unmanipulated grafts (median 188 [range 32-364], P = .055). There were no significant differences in peripheral blood CD8+CD3+ numbers in these 2 groups at 12 months after therapy (median 707 [range 346-1685] in CD34 selected/T-cell depleted versus 357 cells/μL [range 159-840] in unselected/T-cell replete, P = .30). Similar distinctions in the pace of CD4+ versus CD8+ T-cell recovery after chemotherapy alone has been reported previously.11 12
To evaluate overall T-cell function in patients after chemotherapy, functional proliferative assays were performed to analyze T-cell responses to mitogens and recall antigens. As shown in Figure4, there was a profound reduction in PHA responses for a prolonged period after the completion of chemotherapy. Similarly, all patients tested also showed a loss of responses to the recall antigen tetanus toxoid during therapy, which persisted for at least 18 months after therapy (data not shown). Therefore, despite relatively rapid recovery of CD8+ T cells, these patients remained significantly immunocompromised for a prolonged period after PBPC infusions.
Proliferative responses of peripheral blood mononuclear cells to phytohemagglutinin during chemotherapy and after PBPC infusions as described in “Materials and methods.”
Net proliferative responses as measured in cpm are expressed as a ratio compared with net proliferative response of PBMCs from a simultaneously studied healthy donor. Pre-rx n = 13, Cy6 n = 15, 1 month n = 9, 3 months n = 9, 6 months n = 3, 9 months n = 4, 12 months n = 4, and 24 months n = 2.
Proliferative responses of peripheral blood mononuclear cells to phytohemagglutinin during chemotherapy and after PBPC infusions as described in “Materials and methods.”
Net proliferative responses as measured in cpm are expressed as a ratio compared with net proliferative response of PBMCs from a simultaneously studied healthy donor. Pre-rx n = 13, Cy6 n = 15, 1 month n = 9, 3 months n = 9, 6 months n = 3, 9 months n = 4, 12 months n = 4, and 24 months n = 2.
B-cell and natural killer cell immune reconstitution
Median B-cell numbers returned to the low normal range by 3 months after therapy and by 6 months after completion of therapy had essentially normalized in all patients studied (Figure 1). Interestingly, several patients showed an initial overshoot in peripheral blood B-cell populations during the year after completion of chemotherapy, similar to that observed with CD8+ T-cell populations. With regard to serum immunoglobulin levels, intensive multiagent chemotherapy induced statistically significant reductions in all isotypes as shown in Figure 5, with the most profound effects seen on serum IgM levels. Although many patients displayed a return to baseline values for serum IgG and IgA within 3 to 6 months after the completion of therapy, statistically significant reductions (P < .05 by paired sign rank test) in serum IgM and serum IgA levels, compared with baseline values, were still observed 9 months after the completion of therapy. These data demonstrate that, although recovery of B-cell populations is brisk after such intensive therapy, normalization of the antibody isotype repertoire may not occur for a prolonged period.
Serum immunoglobulin levels during sequential cycles of chemotherapy, PBPC infusions, and after completion of therapy.
Shaded areas represent 95% confidence intervals for normal values. All available immunoglobulin levels from the initial cohort of 19 patients are shown. Evaluation of immunoglobulin levels was discontinued at the time of tumor recurrence, therefore these data points represent various, rather than consistent, subjects over time. Asterisks denote median values that are significantly reduced from baseline using the paired sign rank test (P < .05). The time points noted as 1 to 30 months represent time after completion of PBPC-supported chemotherapy. Patients received 1 to 3 PBPC cycles as detailed in Table1. Pre-rx n = 18, Cy3 n = 13, PBPC1 n = 15, PBPC2 n = 11, PBPC3 n = 11, 1 month n = 13, 3 months n = 8, 6 months n = 7, 9 months n = 8, 12 months n = 6, 15 to 18 months n = 4, and 24 months n = 2.
Serum immunoglobulin levels during sequential cycles of chemotherapy, PBPC infusions, and after completion of therapy.
Shaded areas represent 95% confidence intervals for normal values. All available immunoglobulin levels from the initial cohort of 19 patients are shown. Evaluation of immunoglobulin levels was discontinued at the time of tumor recurrence, therefore these data points represent various, rather than consistent, subjects over time. Asterisks denote median values that are significantly reduced from baseline using the paired sign rank test (P < .05). The time points noted as 1 to 30 months represent time after completion of PBPC-supported chemotherapy. Patients received 1 to 3 PBPC cycles as detailed in Table1. Pre-rx n = 18, Cy3 n = 13, PBPC1 n = 15, PBPC2 n = 11, PBPC3 n = 11, 1 month n = 13, 3 months n = 8, 6 months n = 7, 9 months n = 8, 12 months n = 6, 15 to 18 months n = 4, and 24 months n = 2.
As shown in Figure 1, there was a small, nonsignificant decline in peripheral blood NK cell numbers when comparisons were made between baseline cell counts and those obtained 1 month after the completion of therapy (P = .07). However, it should be noted that there was a great deal of interpatient variation in NK numbers, with some patients displaying profound depletion and others retaining normal NK cell number throughout the entire course of chemotherapy. These results illustrate that, unlike CD4+ and B-cell populations, which show profound depletion in all patients, the NK cell lineage is relatively resistant to the effects of cytotoxic therapy in some patients. Further, when NK cells were tested in the months immediately following chemotherapy, there was evidence of lytic activity against K562 targets in vitro (data not shown), providing evidence that this lineage retained function as well.
Discussion
Age-associated thymic involution prevents rapid reconstitution of CD4+ T-cell populations in a variety of clinical settings. For instance, adults show a limited capacity for CD4+regeneration post-BMT,13,14 whereas young patients show rapid reconstitution of CD4+ T-cell numbers and T-cell function.2,15 Similar age-related limitations in T-cell regenerative capacity have been seen in the context of HIV infection, in which thymic insufficiency has been invoked to play a role as well.16,17 Moreover, it has been postulated that age-related reductions in thymopoiesis play an important role in immunologic defects associated with aging.18 However, despite the importance of age-associated thymic involution for a variety of clinical scenarios, the factors responsible for this process remain incompletely understood.
Animal models have shown that profound reductions in the supply of prethymic progenitors can result in thymic atrophy19 and modest reductions in marrow-derived prethymic progenitors have been shown in aging mice.20,21 This has led some investigators to postulate that age-associated thymic involution could result from abnormalities in the supply of T-cell progenitors rather than due to abnormalities within the thymus itself. In the setting of autologous PBPC transplantation, one could postulate that cytotoxic effects of chemotherapy and ablative transplant regimens on marrow-derived prethymic progenitors could limit the capacity for thymic-dependent T-cell regeneration in an age-dependent fashion. To investigate this possibility, we evaluated T-cell regeneration in a population of patients receiving large numbers of pluripotent hematopoietic progenitors in the context of dose-intensive chemotherapy. Although this was a relatively small cohort, we observed no relationship between age and the number of CD34+ cells per kilogram administered and no relationship between the dose of CD34+ cells infused and subsequent T-cell regeneration. Furthermore, these patients generally experienced rapid restoration of hematopoietic lineages as well as B-cell, NK-cell, and even CD8+ T-cell populations, suggesting that significant functional alterations in pluripotent progenitor populations did not exist. However, a relationship between age and CD4+ recovery was observed, similar to that reported previously in patients receiving dose-intensive chemotherapy without PBPC infusions. These results suggest that age-associated constraints on CD4 recovery do not occur at the level of the marrow. Similar results were recently reported using a model of BMT in aged mice,22 wherein it was shown that the provision of young bone marrow did not reverse age-associated thymic involution. Taken together, the data suggest that age-associated thymic involution is not primarily related to an age-associated decline in the supply of marrow-derived prethymic progenitors, but rather is due to changes at the level of the thymus itself.
It is important to note, however, that in the allogeneic setting, PBPC infusions provide more rapid CD4+ T-cell immune reconstitution than BMT, suggesting some positive effect of the PBPC graft in CD4+ T-cell regeneration. Indeed, Pavletic et al5 reported significant reconstitution of CD4+T-cell numbers as early as 28 days postallogeneic PBPC infusion, which persisted for several months. Similarly, Ottinger et al6reported more rapid and sustained recovery of CD4+ T cells, and significantly higher CD4:CD8 ratios for up to 11 months after transplant in recipients of allogeneic PBPC grafts compared with BMT recipients. In these patients, normalization of responses to PHA was observed as early as 3 months postallogeneic BMT. In contrast, in the patients evaluated in this report, CD4+ T-cell numbers remained very low in most patients until 9 to 12 months after therapy and responses to PHA were diminished for at least 1 year post-PBPC infusion. In a study of immune reconstitution after autologous BMT versus autologous PBSC transplantation, Talmadge et al8reported only a transient increase in CD4+ T-cell numbers after PBSC transplantation compared with BMT at day 15, whereas no differences were observed at later time points. Therefore, there appear to be important differences between allogeneic and autologous PBPC grafts with regard to their capacity to restore CD4+ T-cell populations.
Although such differences could relate to cytotoxic effects on prethymic T-cell progenitors, the rapid restoration of other lineages suggests that primitive cells are not functionally impaired. Alternatively, the data presented here suggest that T cells contained within the autologous graft may be significantly affected by cytotoxic therapy administered before the harvest. Indeed, in Figure 2 we show that significant reductions in CD4+ T-cell numbers have already occurred before the time of PBPC harvest. Not surprisingly then, as shown in Table 1, even T-cell–replete grafts in this report frequently contained fewer T-cell numbers than is commonly observed in allogeneic PBPC grafts.9 Furthermore, at the time of PBPC harvest, peripheral T cells showed evidence of widespread activation. Activated T cells have been shown to undergo activation-induced cell death after further stimulation through the T-cell receptor (TCR).23,24 During immune reconstitution after chemotherapy in adults, we have shown previously that stimulated CD4+ cells undergo apoptosis at a significantly higher rate than CD4+ cells from normal controls. This elevated susceptibility to apoptosis is correlated with increased expression of the activation marker HLA-DR.12 In preliminary experiments in the current study, a similarly elevated apoptotic rate was observed in mitogen-stimulated CD4+ cells from selected patients studied 3 to 12 months after therapy. In addition to a propensity for activation-induced cell death, limitations in TCR repertoire diversity may be predicted to exist in chemotherapy-depleted T-cell populations, which could limit the capacity of mature T cells contained within the graft to effectively contribute to immune reconstitution. Indeed, Bomberger et al25 have shown significant limitations in TCR repertoire diversity after autologous PBPC transplantation, both in the presence and absence of T-cell depletion of the autologous PBPC graft.
The clinical implications of the profound, prolonged CD4 depletion induced in this patient population are difficult to assess. Infectious complications were common in this protocol with a greater than 20% incidence of culture-proven bacteremia during chemotherapy cycles in this patient population, which temporally coincided with episodes of neutropenia. With regard to opportunistic and viral infections that may be more directly related to T-cell depletion, 11 of the 19 patients had complications develop that included P cariniipneumonia,2 herpes zoster,1,Haemophilus parainfluenzae pneumonia,2 mucocutaneous herpes simplex,3 and mucocutaneous candidiasis2 and 1 case of clinically suspected, but unconfirmed Candidaendopthalmitis. In all cases, infectious complications were successfully managed with supportive care and antimicrobial therapy.
More intriguing perhaps, is the potential role that such profound T-cell depletion may have on the ability to eradicate residual tumor in high-risk cancer patients. This report clearly demonstrates that tumor recurrence was frequent and often preceded recovery of immune populations. One possible means for improving outcome in patients with high-risk tumors such as these is to augment cellular immunity against specific tumor antigens.26-28 Indeed, immune-based therapies are currently being explored for treatment of the pediatric sarcomas that are the focus of this report.29 Animal models have consistently shown, however, that such therapies are most likely to be effective if undertaken in the setting of minimal residual neoplastic disease.30,31 Clinical proof of concept of the power of immune mediated responses to eradicate minimal residual neoplastic disease has come from studies of graft versus leukemia in the post-BMT setting. However, the data presented here clearly illustrate that if immune-based therapies are to be applied in the setting of minimal residual disease after autologous BMT, specific measures must be taken to enhance immune reconstitution. On the basis of our hypothesis that T-cell populations previously exposed to chemotherapy are limited both quantitatively and functionally, one possible strategy would be to harvest T-cell populations before cytotoxic therapy to be used as a source for CD4+ immune reconstitution in the setting of minimal residual disease. Alternatively, future studies could involve the use of agents such as IL-7, which have been shown in animal models to enhance T-cell regeneration in vivo.32 33
In summary, we report persistent, profound CD4+ T-cell depletion after high-dose chemotherapy, despite the administration of large numbers of CD34+ cells and in some patients large numbers of T cells. These results illustrate that, in the autologous setting, the age-associated decline in CD4+ T-cell regenerative capacity is not reversed by the administration of a sizable number of pluripotent hematopoietic progenitors. Furthermore, because such autologous products are collected during administration of intensive chemotherapy, we postulate that the replicative potential of the mature T cells contained within the grafts is diminished, thus limiting the capacity for such cells to contribute to peripheral expansion pathways of CD4+ T-cell regeneration.
Acknowledgments
We acknowledge the clinical staff of the Pediatric Oncology Branch for the excellent care rendered to patients treated on these protocols and for their diligence in acquiring specimens for analysis. We would also like to thank Dr Michael Bishop and Dr Seth Steinberg for their careful reviews of the manuscript.
Reprints:Crystal L. Mackall, 10 Center Dr, MSC 1928, Bethesda, MD 20892; e-mail: cm35c@nih.gov.
The publication costs of this article were defrayed in part by page charge payment. Therefore, and solely to indicate this fact, this article is hereby marked “advertisement” in accordance with 18 U.S.C. section 1734.




