Introduction: Central nervous system (CNS) relapse in patients with diffuse large B-cell lymphoma (DLBCL) is an uncommon yet often fatal complication with an overall survival (OS) of less than 6 months. According to the clinical risk model CNS-IPI, patients with 4-6 risk factors have a 2-year rate of CNS relapse of 10%. Involvement of certain extranodal sites such as testes or breast also confers increased risk, even with low-CNS-IPI. In high-risk patients, CNS prophylaxis is usually recommended, although the optimal regimen remains unclear. In this study, we examined the efficacy of different regimens on preventing CNS relapse in high-risk patients.
Methods: We reviewed all newly diagnosed patients (pts) with DLBCL at Memorial Sloan Kettering Cancer Center from 2001 to 2017 treated with frontline rituximab, cyclophosphamide, doxorubicin, vincristine, prednisone (RCHOP) or RCHOP-like regimens. Patients with primary mediastinal lymphoma, HIV-positive or known CNS disease at diagnosis were excluded. High risk for CNS (HR-CNS) relapse was defined by high-CNS IPI (4-6 risk factors) or low-CNS IPI with testicular, breast, kidney/adrenal and/or bone marrow (BM) involvement. CNS prophylaxis was administered per physician preference.
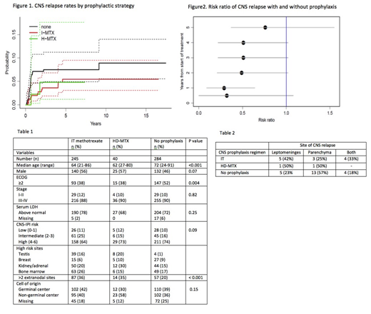
Results: We identified 2002 pts treated with RCHOP or RCHOP-like regimens. Among them, 569 (28%) were classified as HR-CNS relapse and were included in the study. Median age was 68 years (range 21-91) and 290 (51%) were male. The high-risk extranodal sites were: BM, n=118 (20%); kidney/adrenal, n=106 (18%); testes, n=51 (9%) and breast, n=47 (8%). 158 pts (28%) had more than 2 extranodal sites. Cell or origin determined by Hans algorithm was non-germinal center (GCB) (non-GCB) in 40%, GCB in 39% and missing in 21%. 284 pts (50%) received CNS prophylaxis: intrathecal (IT) methotrexate (MTX) and/or IT cytarabine, n= 245 (86%); or high-dose intravenous MTX (HD-MTX), n=40 (14%). Pts's characteristics are shown in Table 1. After a median follow-up of 5.6 years, CNS relapse was observed in 36 out of 569 pts with HR-CNS relapse (5-year risk 6.4%), of whom 14 (39%) had received prophylaxis (IT, n=12; HD-MTX, n=2). The risk of CNS relapse at 5 years in pts who received IT prophylaxis was 5.6% compared with 5.2% in pts who received intravenous HD-MTX. Pts with HR-CNS relapse who did not receive prophylaxis had a 5-year risk for CNS relapse of 7.6% (p=0.34) (Figure 1). Pts with non-GCB phenotype had a higher risk of CNS relapse compared with patients with GCB subtype (5-year risk of 10% vs. 2%) (p=0.03).
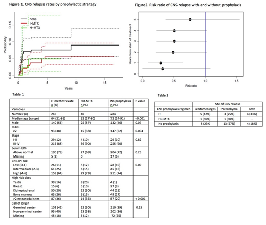
The median time to CNS relapse was 9 months (range 6-110 months). Pts who received prophylaxis, (either IT or HD-MTX), relapsed later than patients who did not receive prophylaxis, with a median time to relapse of 19 months (range 7-55) vs. 8 months (range 6 to 110), respectively. The risk of CNS relapse at 1 year was lower for pts who received prophylaxis (IT or HD-MTX) compared to pts who did not, 1% vs. 3.2%, risk ratio (RR) 0.30 (95% CI; 0.07,0.68). However, over time the risk of CNS relapse became similar between prophylaxis and non-prophylaxis groups, with a 5-year risk of 5.8% vs. 7.6% (RR 0.76, CI 95%; 0.37, 1.55), respectively (Figure 2).
CNS relapses were confined to the CNS (n=26, 72%) or included systemic relapsed in addition to CNS (n=10, 28%). CNS sites of relapse are detailed in table 2. Overall survival (OS) in patients with CNS relapse was worse than in pts who relapsed outside the CNS, with a 2-year OS of 24% (95% CI, 12%-40%) vs. 40% (95% CI, 31%-48%), respectively (p=0.002).
Conclusion: In the era of chemoimmunochemotherapy, CNS prophylaxis tended to delay relapse rather than effectively preventing it. Although we did not detect differences in the efficacy between intrathecal and intravenous HD-MTX, larger studies are needed to better compare the efficacy of these two preventive modalities.
Noy:Medscape: Honoraria; Janssen: Consultancy; Prime Oncology: Honoraria; NIH: Research Funding; Pharamcyclics: Research Funding; Raphael Pharma: Research Funding. Horwitz:Corvus Pharmaceuticals: Consultancy, Membership on an entity's Board of Directors or advisory committees, Research Funding; Corvus Pharmaceuticals: Consultancy, Membership on an entity's Board of Directors or advisory committees, Research Funding; Mundipharma: Consultancy; Affimed: Consultancy; ADCT Therapeutics: Research Funding; Astex: Consultancy; Innate Pharma: Consultancy; Seattle Genetics: Consultancy, Research Funding; Miragen: Consultancy; Miragen: Consultancy; Kura: Consultancy; Kura: Consultancy; Innate Pharma: Consultancy; Infinity/Verastem: Consultancy, Research Funding; Trillium: Research Funding; Celgene: Consultancy, Research Funding; Portola: Consultancy; Millennium/Takeda: Consultancy, Research Funding; Millennium/Takeda: Consultancy, Research Funding; Portola: Consultancy; Trillium: Research Funding; Celgene: Consultancy, Research Funding; Astex: Consultancy; Infinity/Verastem: Consultancy, Research Funding; Kura: Consultancy; Miragen: Consultancy; Affimed: Consultancy; Millennium/Takeda: Consultancy, Research Funding; Aileron: Research Funding; Seattle Genetics: Consultancy, Research Funding; Mundipharma: Consultancy; Celgene: Consultancy, Research Funding; Kyowa Hakko Kirin: Consultancy; Seattle Genetics: Consultancy, Research Funding; Innate Pharma: Consultancy; Trillium: Research Funding; Forty-Seven: Research Funding; Aileron: Research Funding; Aileron: Research Funding; Astex: Consultancy; Forty-Seven: Research Funding; Miragen: Consultancy; Infinity/Verastem: Consultancy, Research Funding; Forty-Seven: Research Funding; Infinity/Verastem: Consultancy, Research Funding; Kyowa Hakko Kirin: Consultancy; Mundipharma: Consultancy; Corvus Pharmaceuticals: Consultancy, Membership on an entity's Board of Directors or advisory committees, Research Funding; Astex: Consultancy; Trillium: Research Funding; Celgene: Consultancy, Research Funding; ADCT Therapeutics: Research Funding; Kura: Consultancy; Millennium/Takeda: Consultancy, Research Funding; Affimed: Consultancy; Portola: Consultancy; Seattle Genetics: Consultancy, Research Funding; Aileron: Research Funding; Forty-Seven: Research Funding; Innate Pharma: Consultancy; Kyowa Hakko Kirin: Consultancy; Portola: Consultancy; Affimed: Consultancy; ADCT Therapeutics: Research Funding; Corvus Pharmaceuticals: Consultancy, Membership on an entity's Board of Directors or advisory committees, Research Funding; ADCT Therapeutics: Research Funding; Mundipharma: Consultancy; Kyowa Hakko Kirin: Consultancy. Palomba:Hemedicus: Other: Immediate Family Member, Speakers Bureau ; Merck & Co Inc.: Other: Immediate Family Member, Consultancy (includes expert testimony); Seres Therapeutics: Other: Immediate Family Member, Equity Ownership and Membership on an entity's Board of Directors or advisory committees; STRAXIMM: Other: Immediate Family Member, Membership on an entity's Board of Directors or advisory committees; Kite Pharmaceuticals: Other: Immediate Family Member, Membership on an entity's Board of Directors or advisory committees; Pharmacyclics: Membership on an entity's Board of Directors or advisory committees; Noble Insights: Consultancy; Evelo: Other: Immediate family member, Equity Ownership; MSK (IP for Juno and Seres): Other: Immediate Family Member, Patents & Royalties - describe: intellectual property rights . Matasar:Juno Therapeutics: Consultancy; Merck: Consultancy, Equity Ownership; Genentech, Inc.: Consultancy, Honoraria, Other: Travel, accommodation, expenses , Research Funding; Bayer: Consultancy, Honoraria, Other; Roche: Consultancy, Honoraria, Other: Travel, accommodation, expenses , Research Funding; Bayer: Other: Travel, accommodation, expenses; Janssen: Honoraria, Research Funding; Pharmacyclics: Consultancy, Honoraria, Research Funding; Teva: Consultancy; Rocket Medical: Consultancy, Research Funding; Seattle Genetics: Consultancy, Honoraria, Other: Travel, accomodation, expenses, Research Funding; Daiichi Sankyo: Consultancy; GlaxoSmithKline: Honoraria, Research Funding. Straus:Hope Funds for Cancer Research: Membership on an entity's Board of Directors or advisory committees; Hope Funds for Cancer Research: Membership on an entity's Board of Directors or advisory committees; Elsevier (PracticeUpdate): Consultancy, Honoraria; Seattle Genetics: Consultancy, Honoraria; Hope Funds for Cancer Research: Membership on an entity's Board of Directors or advisory committees. Batlevi:Juno Therapeutics: Consultancy, Membership on an entity's Board of Directors or advisory committees. Moskowitz:Incyte: Research Funding; miRagen Therapeutics Inc: Consultancy, Research Funding; ADC Therapeutics: Consultancy; Seattle Genetics: Consultancy, Honoraria, Research Funding; Kyowa Hakko Kirin Pharma: Consultancy, Research Funding; Seattle Genetics: Consultancy, Honoraria, Research Funding; Merck: Research Funding; Erytech Pharma: Consultancy; ADC Therapeutics: Consultancy; Erytech Pharma: Consultancy; Kyowa Hakko Kirin Pharma: Consultancy, Research Funding; Merck: Research Funding; Incyte: Research Funding; Incyte: Research Funding; Erytech Pharma: Consultancy; miRagen Therapeutics Inc: Consultancy, Research Funding; Merck: Research Funding; Cell Medica: Consultancy; Erytech Pharma: Consultancy; Incyte: Research Funding; Takeda Pharmaceuticals: Consultancy; Cell Medica: Consultancy; Takeda Pharmaceuticals: Consultancy; Bristol-Myers Squibb: Consultancy, Research Funding; Bristol-Myers Squibb: Consultancy, Research Funding; Bristol-Myers Squibb: Consultancy, Research Funding; Bristol-Myers Squibb: Consultancy, Research Funding; Incyte: Research Funding; Cell Medica: Consultancy; Cell Medica: Consultancy; miRagen Therapeutics Inc: Consultancy, Research Funding; Cell Medica: Consultancy; Takeda Pharmaceuticals: Consultancy; Takeda Pharmaceuticals: Consultancy; Incyte: Research Funding; miRagen Therapeutics Inc: Consultancy, Research Funding; Takeda Pharmaceuticals: Consultancy; Kyowa Hakko Kirin Pharma: Consultancy, Research Funding; Takeda Pharmaceuticals: Consultancy; miRagen Therapeutics Inc: Consultancy, Research Funding; Incyte: Research Funding; Takeda Pharmaceuticals: Consultancy; Incyte: Research Funding; ADC Therapeutics: Consultancy; ADC Therapeutics: Consultancy; ADC Therapeutics: Consultancy; Seattle Genetics: Consultancy, Honoraria, Research Funding; Kyowa Hakko Kirin Pharma: Consultancy, Research Funding; Takeda Pharmaceuticals: Consultancy; Seattle Genetics: Consultancy, Honoraria, Research Funding; Cell Medica: Consultancy; Takeda Pharmaceuticals: Consultancy; Seattle Genetics: Consultancy, Honoraria, Research Funding; Seattle Genetics: Consultancy, Honoraria, Research Funding; Kyowa Hakko Kirin Pharma: Consultancy, Research Funding; Kyowa Hakko Kirin Pharma: Consultancy, Research Funding; Seattle Genetics: Consultancy, Honoraria, Research Funding; Merck: Research Funding; Seattle Genetics: Consultancy, Honoraria, Research Funding; Merck: Research Funding; Merck: Research Funding; Merck: Research Funding; Merck: Research Funding; Erytech Pharma: Consultancy; Bristol-Myers Squibb: Consultancy, Research Funding; Merck: Research Funding; miRagen Therapeutics Inc: Consultancy, Research Funding; miRagen Therapeutics Inc: Consultancy, Research Funding; Cell Medica: Consultancy; miRagen Therapeutics Inc: Consultancy, Research Funding; ADC Therapeutics: Consultancy; Bristol-Myers Squibb: Consultancy, Research Funding; Seattle Genetics: Consultancy, Honoraria, Research Funding; Seattle Genetics: Consultancy, Honoraria, Research Funding; Merck: Research Funding; Merck: Research Funding; Cell Medica: Consultancy; Cell Medica: Consultancy; Cell Medica: Consultancy; Incyte: Research Funding; Incyte: Research Funding; ADC Therapeutics: Consultancy; Incyte: Research Funding; ADC Therapeutics: Consultancy; ADC Therapeutics: Consultancy; Bristol-Myers Squibb: Consultancy, Research Funding; Erytech Pharma: Consultancy; miRagen Therapeutics Inc: Consultancy, Research Funding; Erytech Pharma: Consultancy; Cell Medica: Consultancy; Kyowa Hakko Kirin Pharma: Consultancy, Research Funding; miRagen Therapeutics Inc: Consultancy, Research Funding; Seattle Genetics: Consultancy, Honoraria, Research Funding; Takeda Pharmaceuticals: Consultancy; Erytech Pharma: Consultancy; Erytech Pharma: Consultancy; miRagen Therapeutics Inc: Consultancy, Research Funding; Erytech Pharma: Consultancy; ADC Therapeutics: Consultancy; Cell Medica: Consultancy; ADC Therapeutics: Consultancy; Erytech Pharma: Consultancy; miRagen Therapeutics Inc: Consultancy, Research Funding; miRagen Therapeutics Inc: Consultancy, Research Funding; Seattle Genetics: Consultancy, Honoraria, Research Funding; ADC Therapeutics: Consultancy; ADC Therapeutics: Consultancy; Bristol-Myers Squibb: Consultancy, Research Funding; ADC Therapeutics: Consultancy; Erytech Pharma: Consultancy; Bristol-Myers Squibb: Consultancy, Research Funding; Bristol-Myers Squibb: Consultancy, Research Funding; Erytech Pharma: Consultancy; Bristol-Myers Squibb: Consultancy, Research Funding; Incyte: Research Funding; miRagen Therapeutics Inc: Consultancy, Research Funding; Bristol-Myers Squibb: Consultancy, Research Funding; Kyowa Hakko Kirin Pharma: Consultancy, Research Funding; Merck: Research Funding; Kyowa Hakko Kirin Pharma: Consultancy, Research Funding; Takeda Pharmaceuticals: Consultancy; Merck: Research Funding; Seattle Genetics: Consultancy, Honoraria, Research Funding; Cell Medica: Consultancy; Bristol-Myers Squibb: Consultancy, Research Funding; Merck: Research Funding; Bristol-Myers Squibb: Consultancy, Research Funding; ADC Therapeutics: Consultancy; Erytech Pharma: Consultancy; Bristol-Myers Squibb: Consultancy, Research Funding; Incyte: Research Funding; miRagen Therapeutics Inc: Consultancy, Research Funding; Kyowa Hakko Kirin Pharma: Consultancy, Research Funding; Kyowa Hakko Kirin Pharma: Consultancy, Research Funding; Erytech Pharma: Consultancy; Takeda Pharmaceuticals: Consultancy; Kyowa Hakko Kirin Pharma: Consultancy, Research Funding; Incyte: Research Funding; Cell Medica: Consultancy; Takeda Pharmaceuticals: Consultancy; Takeda Pharmaceuticals: Consultancy; Kyowa Hakko Kirin Pharma: Consultancy, Research Funding; Cell Medica: Consultancy; Takeda Pharmaceuticals: Consultancy; Kyowa Hakko Kirin Pharma: Consultancy, Research Funding; Seattle Genetics: Consultancy, Honoraria, Research Funding; Kyowa Hakko Kirin Pharma: Consultancy, Research Funding; Incyte: Research Funding; Seattle Genetics: Consultancy, Honoraria, Research Funding; Merck: Research Funding. von Keudell:Bayer: Consultancy; Genentech: Consultancy; Pharmacyclics: Consultancy; Pharmacyclics: Consultancy; Genentech: Consultancy; Bayer: Consultancy. Dogan:Roche: Consultancy, Research Funding; Corvus Pharmaceuticals: Consultancy; Seattle Genetics: Consultancy; Celgene: Consultancy; Takeda: Consultancy; Novartis: Consultancy. Zelenetz:DAVA Oncology: Consultancy, Membership on an entity's Board of Directors or advisory committees; Bayer: Consultancy, Membership on an entity's Board of Directors or advisory committees; Pfizer: Consultancy, Membership on an entity's Board of Directors or advisory committees; Karyopharm: Consultancy, Membership on an entity's Board of Directors or advisory committees; DAVA Oncology: Consultancy, Membership on an entity's Board of Directors or advisory committees; Karyopharm: Consultancy, Membership on an entity's Board of Directors or advisory committees; Verastem: Consultancy, Membership on an entity's Board of Directors or advisory committees; Novartis: Consultancy, Membership on an entity's Board of Directors or advisory committees; Morphosys: Consultancy, Membership on an entity's Board of Directors or advisory committees; Pharmacyclics/AbbVie: Consultancy, Membership on an entity's Board of Directors or advisory committees; Gilead: Consultancy, Membership on an entity's Board of Directors or advisory committees; Pharmacyclics/AbbVie: Consultancy, Membership on an entity's Board of Directors or advisory committees; Celgene: Consultancy, Membership on an entity's Board of Directors or advisory committees; Gilead: Consultancy, Membership on an entity's Board of Directors or advisory committees; Celgene: Consultancy, Membership on an entity's Board of Directors or advisory committees; Pfizer: Consultancy, Membership on an entity's Board of Directors or advisory committees; Bayer: Consultancy, Membership on an entity's Board of Directors or advisory committees; Janssen: Consultancy, Membership on an entity's Board of Directors or advisory committees; DAVA Oncology: Consultancy, Membership on an entity's Board of Directors or advisory committees; Genentech/Roche: Consultancy, Membership on an entity's Board of Directors or advisory committees; Karyopharm: Consultancy, Membership on an entity's Board of Directors or advisory committees; Morphosys: Consultancy, Membership on an entity's Board of Directors or advisory committees; Janssen: Consultancy, Membership on an entity's Board of Directors or advisory committees; Morphosys: Consultancy, Membership on an entity's Board of Directors or advisory committees; MEI Pharma: Consultancy, Membership on an entity's Board of Directors or advisory committees; Astra-Zeneca: Consultancy, Membership on an entity's Board of Directors or advisory committees; MEI Pharma: Consultancy, Membership on an entity's Board of Directors or advisory committees; Novartis: Consultancy, Membership on an entity's Board of Directors or advisory committees; Pfizer: Consultancy, Membership on an entity's Board of Directors or advisory committees; Pharmacyclics/AbbVie: Consultancy, Membership on an entity's Board of Directors or advisory committees; Amgen: Consultancy, Membership on an entity's Board of Directors or advisory committees; Beigene: Consultancy, Membership on an entity's Board of Directors or advisory committees; Astra-Zeneca: Consultancy, Membership on an entity's Board of Directors or advisory committees; Verastem: Consultancy, Membership on an entity's Board of Directors or advisory committees; Gilead: Consultancy, Membership on an entity's Board of Directors or advisory committees; Morphosys: Consultancy, Membership on an entity's Board of Directors or advisory committees; Verastem: Consultancy, Membership on an entity's Board of Directors or advisory committees; Amgen: Consultancy, Membership on an entity's Board of Directors or advisory committees; Karyopharm: Consultancy, Membership on an entity's Board of Directors or advisory committees; Genentech/Roche: Consultancy, Membership on an entity's Board of Directors or advisory committees; Genentech/Roche: Consultancy, Membership on an entity's Board of Directors or advisory committees; Pfizer: Consultancy, Membership on an entity's Board of Directors or advisory committees; Janssen: Consultancy, Membership on an entity's Board of Directors or advisory committees; Verastem: Consultancy, Membership on an entity's Board of Directors or advisory committees; Morphosys: Consultancy, Membership on an entity's Board of Directors or advisory committees; Pharmacyclics/AbbVie: Consultancy, Membership on an entity's Board of Directors or advisory committees; Novartis: Consultancy, Membership on an entity's Board of Directors or advisory committees; Novartis: Consultancy, Membership on an entity's Board of Directors or advisory committees; Celgene: Consultancy, Membership on an entity's Board of Directors or advisory committees; Karyopharm: Consultancy, Membership on an entity's Board of Directors or advisory committees; Pfizer: Consultancy, Membership on an entity's Board of Directors or advisory committees; Verastem: Consultancy, Membership on an entity's Board of Directors or advisory committees; Pharmacyclics/AbbVie: Consultancy, Membership on an entity's Board of Directors or advisory committees; Pharmacyclics/AbbVie: Consultancy, Membership on an entity's Board of Directors or advisory committees; DAVA Oncology: Consultancy, Membership on an entity's Board of Directors or advisory committees; Genentech/Roche: Consultancy, Membership on an entity's Board of Directors or advisory committees; Verastem: Consultancy, Membership on an entity's Board of Directors or advisory committees; Novartis: Consultancy, Membership on an entity's Board of Directors or advisory committees; Gilead: Consultancy, Membership on an entity's Board of Directors or advisory committees; Gilead: Consultancy, Membership on an entity's Board of Directors or advisory committees; Janssen: Consultancy, Membership on an entity's Board of Directors or advisory committees; Karyopharm: Consultancy, Membership on an entity's Board of Directors or advisory committees; Janssen: Consultancy, Membership on an entity's Board of Directors or advisory committees; Novartis: Consultancy, Membership on an entity's Board of Directors or advisory committees; Morphosys: Consultancy, Membership on an entity's Board of Directors or advisory committees; Pfizer: Consultancy, Membership on an entity's Board of Directors or advisory committees; Celgene: Consultancy, Membership on an entity's Board of Directors or advisory committees; Beigene: Consultancy, Membership on an entity's Board of Directors or advisory committees; Genentech/Roche: Consultancy, Membership on an entity's Board of Directors or advisory committees. Younes:BMS: Research Funding; AstraZeneca: Research Funding; Genentech: Research Funding; Roche: Consultancy, Honoraria, Research Funding; Xynomics: Consultancy; Syndax: Research Funding; Epizyme: Consultancy, Honoraria; HCM: Consultancy; Celgene: Consultancy, Honoraria; Takeda: Honoraria; Abbvie: Honoraria; Merck: Honoraria, Research Funding; Curis: Honoraria, Research Funding; Pharmacyclics: Research Funding; Janssen: Honoraria, Research Funding; Biopath: Consultancy.
Author notes
Asterisk with author names denotes non-ASH members.
