Key Points
Brentuximab vedotin plus AVD without consolidative radiation is an effective therapy for nonbulky limited-stage HL.
Peripheral neuropathy and neutropenic fever appear increased with brentuximab-AVD compared with the expected toxicities of ABVD alone.
Abstract
Doxorubicin, bleomycin, vinblastine, and dacarbazine (ABVD) with or without radiation is standard therapy for limited-stage Hodgkin lymphoma (HL) but carries risks of bleomycin-induced lung injury and radiation toxicity. Brentuximab vedotin is highly active in relapsed HL and was recently approved with doxorubicin, vinblastine, and dacarbazine (AVD) for previously untreated stage III/IV HL. We evaluated brentuximab-AVD for nonbulky stage I/II HL in a multicenter phase 2 study. Patients received a lead-in cycle of brentuximab vedotin monotherapy on days 1 and 15, followed by an exploratory positron emission tomography/computed tomography scan. Patients then received brentuximab-AVD for 4 to 6 cycles based on interim positron emission tomography/computed tomography scanning after cycle 2. Thirty-four patients were enrolled with a median age of 36 years (range, 20-75 years). Risk was early favorable in 62% and unfavorable in 38%. The best complete response rate was 100%. At a median follow-up of 38 months, the progression-free survival and overall survival were 94% and 97%, respectively. The most common adverse events were peripheral sensory neuropathy (79%), neutropenia (76%), fatigue (74%), and nausea (71%). The most common grade 3/4 toxicities were neutropenia (62%), febrile neutropenia (35%), and peripheral sensory neuropathy (24%). One elderly patient died of neutropenic sepsis in the first brentuximab-AVD cycle. Brentuximab dose reductions were required in 38% of patients, most for peripheral neuropathy. In conclusion, brentuximab-AVD without bleomycin or radiation produced a high complete response rate, with most patients requiring only 4 total cycles of therapy. Because toxicity was higher than would be expected from AVD alone, this method may not be appropriate for early-stage patients with a highly favorable prognosis. This trial was registered at www.clinicaltrials.gov as #NCT01534078.
Introduction
Limited-stage classical Hodgkin lymphoma (cHL) carries one of the most favorable prognoses in oncology with cure rates >85%.1-4 Combined modality therapy has long been considered the standard of care for limited-stage disease, although treatment paradigms are evolving with current efforts focused on preserving high rates of cure while minimizing the potential late effects of chemotherapy and radiation.5,6 This approach has led to investigation of chemotherapy alone without consolidative radiation, with the goal of decreasing late secondary malignancies and heart disease, with overall favorable results.7-10 More recently, clinical trials have evaluated positron emission tomography (PET)-adapted therapy in limited-stage disease, with interim PET-negative patients randomized to receive a short course of doxorubicin, bleomycin, vinblastine, and dacarbazine (ABVD) alone vs combined modality therapy.11,12 These trials have continued to show a small reduction in the recurrence rate in patients treated with combined modality therapy, although the outcome in both groups has remained excellent with an identical overall survival. Based on these data, ABVD alone has emerged as an acceptable treatment option for selected patients with limited-stage HL. Importantly, with ∼10% of patients with nonbulky limited-stage cHL relapsing after initial ABVD, further improvements in efficacy are still needed. ABVD also carries risks of serious adverse events. Pulmonary toxicity from bleomycin is the major nonhematologic toxicity, with the incidence of pneumonitis ranging from 8% to 14%, and may result in treatment-related mortality that highlights the need for a bleomycin-sparing approach.
Brentuximab vedotin is a targeted anti-CD30 antibody–drug conjugate approved by the US Food and Drug Administration for relapsed cHL. A phase 1 study combined brentuximab with ABVD and doxorubicin, vinblastine, and dacarbazine (AVD) as initial therapy in advanced-stage HL and found excess pulmonary toxicity in combination with ABVD but an acceptable safety profile when combined with AVD, and with encouraging efficacy.13 A randomized clinical trial in previously untreated advanced-stage HL compared standard ABVD vs brentuximab-AVD as initial therapy.14 The trial reported an improved modified progression-free survival (PFS) favoring brentuximab-AVD but with excess toxicity in the experimental arm, including increased neutropenia, neutropenic fever, and peripheral neuropathy. There was no difference in overall survival. We conducted a phase 2 trial evaluating brentuximab vedotin plus AVD without planned consolidative radiation therapy in nonbulky limited-stage cHL.
Patients and methods
Eligibility criteria
Eligible patients were 18 years of age or older with previously untreated cHL. Patients had to have nonbulky stage I or II disease (A or B), with bulk defined as any site >10 cm in maximal dimension measured on computed tomography (CT) scan. Laboratory parameters included absolute neutrophil count ≥1 × 109/L, platelet count ≥100 × 109/L, creatinine levels ≤2 mg/dL, total bilirubin levels ≤2 mg/dL, and aspartate aminotransferase/alanine aminotransferase levels ≤2.5 times the institutional upper limit of normal. Additional eligibility criteria included Eastern Cooperative Oncology Group performance status ≤2 and left ventricular ejection fraction within the institutional normal limits. Patients with HIV infection were allowed provided that their CD4 count was >200 cells/mm3 and the patient was receiving concurrent antiretroviral therapy. Additional eligibility and protocol information can be found in the supplemental Appendix, available on the Blood Web site.
Study design and treatment
This analysis was a multicenter, open-label phase 2 study. All patients received an initial 28-day lead-in cycle consisting of brentuximab vedotin monotherapy at a dose of 1.2 mg/kg IV administered on days 1 and 15, followed by a restaging PET/CT scan. All patients then proceeded to combination therapy with brentuximab vedotin 1.2 mg/kg IV plus adriamycin (doxorubicin) 25 mg/m2 IV, vinblastine 6 mg/m2 IV, and dacarbazine 375 mg/m2 IV, all administered on days 1 and 15 of each 28-day cycle. Patients received a total of 4 or 6 cycles of combination therapy, based on interim PET/CT response. PET/CT imaging was repeated before cycle 3. Responding patients with a PET complete response (CR) defined as Deauville score 1 to 3 received 2 additional cycles to complete 4 total cycles of brentuximab-AVD; PET-positive patients received 4 additional cycles to complete 6 total cycles. End-of-treatment PET/CT imaging was performed 3 to 5 weeks after completion of therapy. No radiation therapy was planned for patients in CR at the end of treatment. The primary objective was to investigate the clinical activity of brentuximab vedotin plus AVD in nonbulky limited-stage cHL. Secondary objectives included evaluation of single-agent activity after a single lead-in cycle in previously untreated disease and assessment of safety. The study was approved by the institutional review boards of all participating institutions, was conducted in accordance with the Declaration of Helsinki, and was registered on www.clinicaltrials.gov (#NCT01534078).
Statistical analysis
The primary end point of this study was complete response rate (CRR). The calculated sample size was 34 patients. The study had 91% power and 0.10 one-sided type I error to test a CRR of 93% vs a CRR of 81%. Secondary end points included ORR, overall survival, failure-free survival (FFS), and PFS. The ORR after the lead-in brentuximab vedotin monotherapy and combination therapy was calculated with a 95% confidence interval. Overall survival was measured from date of study entry to date of death and characterized by using the Kaplan-Meier method. Failure-free survival was measured from date of study entry to date of documentation of treatment failure. Treatment failure was defined as progressive disease on initial treatment, failure to achieve a complete remission, or relapse after initial response. PFS is measured from date of study entry to date of documentation of progression or death from any cause. All patients were considered evaluable for toxicity and efficacy from the time of their first treatment. Response to study treatment is reported as proportions with 95% exact binomial confidence intervals. Continuous measures are summarized as median and range, and categorical variables are summarized as proportions. Time-to-event end points were estimated by using the Kaplan-Meier method with 95% confidence intervals calculated by using Greenwood’s method. Statistical analyses were performed by using R version 3.3.2 (R Foundation for Statistical Computing, Vienna, Austria).
Results
Patients
Thirty-four patients were enrolled with a median age of 36 years (range, 20-75 years); one-half of patients were female. The most common cancer stage was IIA in 24 patients (71%), followed by IA (n = 6 [18%]) and IIB (n = 4 [12%]). Thirteen patients (38%) had early unfavorable disease, defined as the presence of any of the following risk factors: involvement of ≥3 nodal regions, extranodal disease, or elevated erythrocyte sedimentation rate (≥50 mm/h without B symptoms or ≥30 mm/h with B symptoms). Histologic subtypes included nodular sclerosis (n = 18 [53%]), mixed cellularity (n = 4 [12%]), lymphocyte-rich (n = 4 [12%]), and cHL not otherwise specified (n = 8 [24%]). One patient had HIV infection. Baseline characteristics are summarized in Table 1.
Efficacy
Responses are summarized in Table 2. Thirty-four patients completed a lead-in cycle of brentuximab vedotin, 18 of whom (52.9%; 95% CI, 35.1-70.2) had a CR, with the remaining being partial responses. All patients proceeded to combination therapy with brentuximab-AVD. After 2 cycles of combination therapy, 33 patients had a CR (97.1%; 95% CI, 84.7-99.9) and 1 subject was unevaluable for response due to grade 5 toxicity (sepsis). At the end of treatment, 31 subjects were in CR for a CRR of 91.2% (95% CI, 76.3-98.1). One patient had progressive disease, and 2 patients were unevaluable due to one withdrawal because of persistent hypersensitivity reactions despite premedication, and the case of grade 5 toxicity; both patients were in CR on their previous interim response assessment. Patients received a median of 4 cycles of brentuximab-AVD (range, 0-4). Because all patients achieved interim PET CR, no patients required >4 cycles of combination chemotherapy, and no patients received consolidative radiation.
Of note, 6 (19%) evaluable subjects had end-of-treatment PET/CT scans interpreted as Deauville scores of 4/5 according to central radiology review but which were determined to be false-positive PET scans (Deauville X) by the treating investigator. In all 6 cases, the fluorodeoxyglucose (FDG)-avidity was believed most consistent with inflammation or infection rather than active lymphoma, and all were in confirmed CR on a brief follow-up scan with no intervening therapy. An additional subject was classified as partial response and was given 2 additional cycles of AVD alone by the treating investigator, with CR on next imaging.
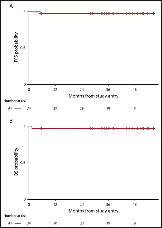
With a median follow-up of 38 months, the median FFS, PFS, and overall survival were not reached. The 3-year FFS and PFS were 97% (95% CI, 80-100) and 94% (95% CI, 78-98), respectively. Overall survival at 3 years was 97% (95% CI, 81-100). Failure-free and overall survival are represented in Figure 1.
(A) FFS and (B) OS for all patients. Median length of follow-up is 38 months. The median FFS and OS have not been reached.
(A) FFS and (B) OS for all patients. Median length of follow-up is 38 months. The median FFS and OS have not been reached.
Safety
The most common toxicities experienced in the lead-in cycle of brentuximab monotherapy were nausea (n = 7 [21%]), increased alanine aminotransferase level (n = 4 [12%]), fatigue (n = 3 [9%]), increased aspartate aminotransferase level (n = 2 [6%]), diarrhea (n = 2 [6%]), and headache (n = 2 [6%]); all toxicities in monotherapy were grades 1 to 2.
Overall, the most common toxicities were peripheral sensory neuropathy (PSN) (n = 27 [79%]), neutropenia (n = 26 [76%]), fatigue (n = 25 [74%]), nausea (n = 24 [71%]), anemia (n = 21 [62%]), and constipation (n = 19 [56%]). Toxicities are summarized in Table 3. Grade 3/4 neutropenia was observed in 21 subjects (62%) and neutropenic fever in 12 (35%). Given the high rate of neutropenic fever observed early in the study, the protocol was amended to mandate granulocyte colony-stimulating factor (G-CSF) support, with a significant subsequent reduction in incidence of neutropenic fever. Choice of G-CSF regimen was at the discretion of the treating investigator but recommended options included pegfilgrastim 6 mg SC administered on day 2 of each cycle or filgrastim 300 μg SC once daily for 4 to 7 days after each chemotherapy infusion. The incidence of neutropenic fever was 55% (6 of 11) before the amendment, which decreased to 26% (6 of 23) after mandating growth factor support. The one case of grade 5 sepsis occurred in the setting of neutropenic fever in a 71-year-old woman who was treated before the amendment mandating G-CSF as primary prophylaxis.
PSN related to study treatment was reported in 27 (79%) of 34 patients, with only 1 event occurring during monotherapy (grade 1). Worst grades overall for each patient during brentuximab-AVD were grades 1 (n = 16 [47%]), 2 (n = 3 [9%]), and 3 (n = 8 [23%]).
Fifteen patients (44%) have residual PSN reported at last follow-up with a current longest continuing duration of 53 months. For the cases of PSN that resolved, the median time to resolution was 5.5 months (95% CI, 3-15). Six patients (18%) had peripheral motor neuropathy (all grade 1-2).
There were no dose modifications in the lead-in cycle of brentuximab monotherapy. During combination therapy, 10 (29%) patients underwent brentuximab vedotin dose reductions, and 6 (18%) patients required dose reductions of vinblastine. The most common reason for dose reduction was peripheral neuropathy. There were no dose reductions for either adriamycin or dacarbazine.
Discussion
Nonbulky limited-stage cHL is a highly curable disease but has historically required treatment that conferred significant short- and long-term risks, including bleomycin-induced lung injury and late complications of radiation therapy. We report the bleomycin and radiation-sparing approach of brentuximab vedotin plus AVD for 4 to 6 cycles in this low-risk patient population with nonbulky limited-stage disease. All patients achieved an interim CR and received 4 total cycles of combination therapy with a 3-year PFS of 94%, showing significant efficacy for this regimen. Furthermore, based on the interim CRR, no patients required >4 total cycles of brentuximab-AVD. We observed a distinct toxicity profile compared with ABVD. Although the risk of bleomycin-induced lung toxicity was avoided, high rates of peripheral sensory neuropathy (79%) and neutropenic fever (35%) were observed, which were in excess of what would be expected from standard ABVD and required addition of routine G-CSF support to minimize the risk of neutropenic fever. These toxicities were similarly observed in the randomized phase 3 trial that compared ABVD vs brentuximab-AVD in advanced-stage cHL.14 The study found an improvement in PFS favoring brentuximab-AVD, with no difference in overall survival, but also reported excess peripheral neuropathy and neutropenic fever in the experimental arm, which prompted the mid-study recommendation to include G-CSF support, just as we had found necessary in the current trial. As with previous studies, most cases of peripheral neuropathy in our study improved or resolved with follow-up, but a significant minority of patients were left with some degree of residual neuropathy at last evaluation that may affect quality of life.
Other trials have sought to reduce or eliminate the use of radiation therapy, bleomycin, or both in limited-stage nonbulky HL.7,15,16 The German Hodgkin Study Group found that the dose and schedule of combined modality therapy for early favorable disease could be reduced to 2 cycles of ABVD followed by 20 Gy of radiation therapy, which produced results identical to those in patients treated with 4 cycles and 30 Gy.15 The question of whether radiation could be eliminated entirely was addressed in a randomized trial led by the National Cancer Institute of Canada that compared ABVD alone for 4 to 6 cycles vs radiation-based therapy in limited-stage disease classified as either early favorable or early unfavorable. The study found a modest improvement in PFS favoring combined modality therapy but an overall survival benefit in favor of chemotherapy alone at 12 years of follow-up, reflecting late events in radiation-treated patients.16 An important caveat is that the trial used subtotal nodal irradiation, which carries greater radiation exposure than modern involved nodal radiation techniques; nonetheless, chemotherapy alone yielded a highly favorable 12-year overall survival of 94% without attendant late risks of radiation.
Interim PET/CT scanning has also been explored as a tool for guiding the application of radiation therapy in nonbulky limited-stage cHL. The phase 2 CALGB (Cancer and Leukemia Group B)/Alliance trial in nonbulky limited-stage disease administered 2 cycles of ABVD followed by a PET/CT scan.17 PET-negative patients (defined as Deauville scores 1-3) completed 4 total cycles without radiation therapy, whereas PET-positive patients were changed to escalated bleomycin, etoposide, doxorubicin, cyclophosphamide, vincristine, procarbazine, and prednisone (BEACOPP) followed by consolidative involved field radiation therapy. The majority (91%) of patients became interim PET-negative and received 4 cycles of chemotherapy alone, with a 3-year PFS of 91%. Two randomized trials have also addressed PET-adapted therapy in patients with limited-stage disease. The RAPID (Randomised Phase III Trial to Determine the Role of FDG–PET Imaging in Clinical Stages IA/ IIA Hodgkin Disease) study enrolled patients with nonbulky limited-stage HL and performed a restaging PET/CT scan after 3 cycles of ABVD.11 Patients with a negative PET scan (defined in this trial as Deauville scores 1-2) were randomized to undergo involved field radiation therapy or no further therapy. Patients randomized to receive radiation therapy had a slight (3.8%) improvement in PFS at 3 years but with identical overall survival. The EORTC/LYSA/FIL (European Organization for Research and Treatment of Cancer/Lymphoma Study Association/Italian Lymphoma Association) H10 trial randomized 1950 patients to a PET-adapted treatment approach vs standard combined modality therapy.12 All patients underwent an interim PET/CT scan after cycle 2, and patients in a PET CR (defined as Deauville scores 1-2) received either combined modality therapy or completed chemotherapy alone, based on their randomization. As with the RAPID trial, patients with a negative interim PET/CT scan had a modestly improved PFS when receiving consolidative radiation therapy but without improvement in overall survival. The majority of patients in both trials achieved interim PET negativity, making most patients candidates for omission of radiation. In aggregate, these clinical trials support chemotherapy alone as an appropriate option for patients with nonbulky limited-stage disease, particularly those achieving interim PET negativity, with the goal of reducing late toxicities from radiation therapy.
Fewer trials have sought to omit bleomycin. The German Hodgkin Study Group explored whether bleomycin and dacarbazine are required to preserve the efficacy of this combination by comparing ABVD, AVB, AVD, and AV in patients with limited-stage disease receiving combined modality therapy, and found inferior PFS with omission of either dacarbazine, bleomycin, or both.18 Another attempt to eliminate both bleomycin and dacarbazine in the phase 2 CALGB trial of AVG (adriamycin, vinblastine and gemcitabine) in patients with nonbulky limited-stage disease resulted in disappointing efficacy with a 3-year PFS of 77%.19 In the current trial, we sought to omit both radiation and bleomycin by incorporating the targeted anti-CD30 antibody–drug conjugate brentuximab with adriamycin and dacarbazine. Interim PET imaging was used to guide the number of total cycles of treatment received, but no consolidative radiation therapy was planned for patients in CR at end of treatment. Brentuximab vedotin exhibited remarkable single-agent efficacy in an initial exploratory lead-in cycle that resulted in a complete remission according to PET/CT imaging in more than one-half of patients even before beginning combination chemotherapy. This encouraging single-agent activity raises the question of monotherapy for elderly or infirm patients who are poor candidates for traditional combination chemotherapy approaches; however, a small phase 2 study of brentuximab vedotin alone as initial therapy in patients aged >60 years found a median duration of response of only 9 months, dampening enthusiasm for this approach.20 The brentuximab-AVD combination was also studied in a phase 2 trial of 30 patients with early unfavorable HL, and unlike our study, patients received 30 Gy of consolidative involved-site radiation therapy.21 Two patients had primary refractory disease, and the 1-year PFS was 93%. Peripheral neuropathy was observed in 40% and was severe in 2 (17%) patients. Prophylactic G-CSF was mandated for all patients, and 3 patients developed neutropenic fever.
All patients in the current study achieved an interim complete remission, and the 3-year PFS of 94% is encouraging in an approach that removes the toxicity risks of both bleomycin and radiation. A study limitation is the relatively small sample size of 34 patients, and thus the results cannot be considered definitive in the absence of additional supporting data, particularly in early unfavorable patients who constituted only one-third of our study population. We did observe an amplified signal of certain toxicities relative to what would be expected from ABVD alone, particularly peripheral neuropathy, neutropenia, and neutropenic fever. Both vinblastine and the monomethyl auristatin E in the brentuximab vedotin are microtubule toxins; thus, we hypothesize that the overlapping mechanism of action led to a magnification of on-target toxicities. An identical observation was made in the randomized trial of brentuximab-AVD vs ABVD in advanced-stage disease.14 For certain patients with high-risk advanced-stage disease, this increase in toxicity may be justified by the improved PFS of brentuximab-AVD, but in a lower risk population such as those with nonbulky limited-stage disease, the excess toxicity of this regimen and requirement for routine growth factor support may not be justified in terms of both toxicity and cost. These data do suggest, however, that incorporation of brentuximab vedotin can contribute to the important goal of enhancing efficacy of initial chemotherapy for cHL and eliminating bleomycin and radiation from the management of nonbulky limited-stage patients, thus reducing risk of lung toxicity, late secondary malignancies, and heart disease. These data also reinforce the findings of previous studies using chemotherapy alone that patients with a negative interim PET scan can receive an abbreviated course of therapy rather than completing 6 total cycles.
Multiple strategies are under investigation to overcome the overlapping toxicity profile between brentuximab vedotin and vinblastine, allowing exposure to both agents while reducing the excess toxicities and need for routine growth factor support. One approach is to administer AVD in sequence with brentuximab vedotin, rather than concurrently. A phase 2 clinical trial treated 48 elderly patients with brentuximab vedotin monotherapy for 2 cycles, followed by AVD for 6 cycles, then an additional 4 cycles of brentuximab vedotin consolidation.22 This group was an older patient population with a median age of 69 years, and 81% had advanced-stage disease. At the end of treatment, 90% of response-evaluable subjects achieved CR with a 2-year PFS of 84%. Notably, adverse events of special interest were lower than observed in studies of concurrent brentuximab and AVD, with grade 3/4 neutropenic fever and peripheral neuropathy observed in 8% and 4% of patients, respectively. A tradeoff to this approach, however, is a lengthy overall course of treatment lasting 9 months for all 12 cycles. An alternative strategy would be to administer concurrent therapy with the omission of vinblastine, so as to avoid overlapping toxicity between 2 microtubule toxins. We are now conducting a follow-up trial of brentuximab plus adriamycin and dacarbazine for 4 to 6 cycles (based on interim response) in patients with nonbulky limited-stage disease to assess whether this lower intensity therapy can further reduce short- and long-term toxicity (#NCT02505269). Preliminary results seem promising, with interim and end-of-treatment CR rates of 94% and 100%, respectively, and a low incidence of neuropathy and neutropenia.23 Longer follow-up is needed to establish durability given a median follow-up time of 15 months at the initial report. Notably, the current study also included an exploratory lead-in cycle of brentuximab vedotin alone to assess monotherapy response in this previously untreated patient population. This initial cycle of brentuximab vedotin alone may have contributed to the incidence of peripheral neuropathy despite all patients receiving no more than 4 cycles of combination chemotherapy. Our follow-up trial omits the lead-in cycle and uses only brentuximab, adriamycin, and dacarbazine in combination.
Another interesting finding in the current study of brentuximab-AVD was the multiple false-positive PET scans at end of treatment due to FDG-avid inflammatory uptake that seemed inconsistent with active lymphoma. All FDG-avid sites resolved with short interval follow-up and no further intervention. This scenario may reflect the timing of the end-of-treatment scan, which was performed 3 to 4 weeks after completion of therapy and may be too early to allow resolution of inflammation in the setting of chemotherapy. As a result, our follow-up trial of brentuximab-AVD performs end-of-treatment imaging at 6 weeks from last treatment, and thus far has not been associated with false-positive imaging findings. Furthermore, given the low rate of progression at end of treatment in patients achieving an interim complete metabolic remission, such patients may not require an end-of-treatment PET/CT scan in routine practice.
Ultimately, evaluation of novel treatment strategies for limited-stage cHL still requires optimizing efficacy because a meaningful minority of patients are still failed by conventional chemotherapy and radiation strategies. Such strategies also need to reduce risks of short- and long-term treatment-related toxicities, including secondary malignancies, heart disease, lung disease, and others in this patient population with decades of life anticipated following eradication of their HL. Studies safely incorporating brentuximab vedotin and minimizing the use of traditional chemotherapy agents and radiation warrant ongoing evaluation, as do strategies exploring earlier introduction of immune checkpoint inhibitors.
The online version of this article contains a data supplement.
The publication costs of this article were defrayed in part by page charge payment. Therefore, and solely to indicate this fact, this article is hereby marked “advertisement” in accordance with 18 USC section 1734.
Acknowledgments
The authors thank the participating patients and their families as well as the dedicated research nurses, coordinators, and data managers who assisted with this study.
Funding support and investigational product were supplied by Seattle Genetics, Inc.
Authorship
Contribution: J.S.A., J.E.A., A.S.L., R.R., J.A.B., L.S., R.J., D.A., D.N., R.W.T., E.P.H., and C.M.B. contributed to the study design, patient recruitment, data collection, and data analysis; J.S.A. wrote the manuscript; and all authors commented on and revised the manuscript.
Conflict-of-interest disclosure: J.S.A. served on scientific advisory boards for Seattle Genetics, Celgene, Genentech, and Merck. J.E.A. served on a scientific advisory board for Celgene. J.A.B. served on a scientific advisory board for Seattle Genetics. A.S.L. served on a scientific advisory board for Seattle Genetics and on a data safety monitoring board for Bristol-Myers Squibb. D.A. served on scientific advisory boards for Seattle Genetics and Bristol-Myers Squibb. The remaining authors declare no competing financial interests.
Correspondence: Jeremy S. Abramson, Massachusetts General Hospital Cancer Center, Zero Emerson Place, Suite 118, Boston, MA 02114; e-mail: jabramson@mgh.harvard.edu.



