Abstract
Introduction
Graft-versus-Host Disease (GvHD) is one of the leading causes of mortality and morbidity following allogeneic stem cell transplant. In vivo T cell depletion by alemtuzumab as part of the transplant conditioning is an effective strategy to reduce the risk of GvHD. While it is recognised that the overall incidence of GvHD is reduced by alemtuzumab, the incidence of chronic GvHD as defined by the National Institute of Health (NIH) consensus criteria, the impact on outcome, and the pattern of organ involvement have not been defined yet in this transplant setting.
Methods
Consecutive patients (n = 323) undergoing allogeneic stem cell transplantation at the Queen Elizabeth Hospital, Birmingham, between January 1 2008 and June 30 2012 were reviewed in this retrospective, single centre study. Medical records were examined and data regarding the development of GvHD were collected; NIH consensus criteria for diagnosis and staging of chronic GvHD were stringently applied. Clinical characteristics of GvHD occurring in patients transplanted following T cell depletion by alemtuzumab administration (n=248) were compared with those of patients transplanted with a T cell replete graft (n=75). Patients receiving alemtuzumab were mainly treated with reduced-intensity conditioning protocols, while patients in the no-T-cell depletion group were mainly treated with a myeloablative, sibling transplant.
Results
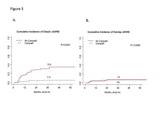
After a median follow up of 38.4 months, the cumulative incidence (CI) of grade II-IV classic acute GvHD was 35% and 48% for patients transplanted respectively with or without T cell depletion by alemtuzumab (p= 0.041, Figure 1); with a CI of grade III-IV classic acute GvHD of 13% and 27% (p=0.007). The 2-years CI of grade II-IV late acute GvHD was not significantly different in the two groups (20% and 23% for patients respectively treated with or without alemtuzumab, p=0.589, Figure 2). T cell depletion by alemtuzumab significantly reduces the 3 years cumulative incidence of classic chronic GvHD (5% versus 31%, p<0.0001, Figure 3.A), but without a significant difference in the incidence of overlap syndrome between patients with and without T cell depletion (3 years CI respectively 6% and 7%, p=0.839, Figure 3.B). The pattern of organ involvement by classic acute GvHD was similar in patients with and without T cell depletion. The pattern of organ involvement by late acute GvHD in the alemtuzumab group was, however, significantly different compared to the T cell replete group (skin-gut-liver involvement reported respectively in 83%-28%-4% of patients and 56%-48%-20% of patients, p=0.003). Distribution of organ involvement by classic chronic and overlap syndrome was similar in the two groups; however, it seems that alemtuzumab prevents the development of lung GvHD (lung GvHD developed in 4 patients over the 75 patients of the no-T-cell depletion group, while none of the 248 patients transplanted with alemtuzumab experienced lung GvHD). In a multivariate analysis, the development of chronic GvHD was an independent predictor of higher mortality risk (HR 1.66, p = 0.04) and severe NIH global score at peak was confirmed as a poor prognostic factor for survival (HR 2.27, p=0.02). The negative impact of chronic GvHD and of the severe forms of chronic GvHD was independent of age and alemtuzumab administration.
Conclusion
This retrospective analysis provides for the first time data on the incidence rates of NIH-defined GvHD categories in patients transplanted after T cell depletion by alemtuzumab. Patients transplanted with alemtuzumab experienced a lower incidence of classic acute and classic chronic GvHD compared to patients not receiving T cell depletion. In contrast, alemtuzumab conditioning appeared to have no effect on the incidence of late acute GvHD or overlap syndrome, suggesting that these two entities of GvHD are driven by different immunological mechanisms as compared to classic acute and classic chronic GvHD. We also confirmed the utility of the NIH classification of GvHD and of the NIH global severity score to predict survival in alemtuzumab-conditioned allogeneic stem cell transplant.
No relevant conflicts of interest to declare.
Author notes
Asterisk with author names denotes non-ASH members.


