Abstract
The benefit of adding rituximab to standard treatment in nonsplenectomized patients with primary immune thrombocytopenia (ITP) is uncertain. We performed a pilot randomized trial to determine the feasibility of recruitment, protocol adherence, and blinding of a larger trial of rituximab versus placebo; and to evaluate the potential efficacy of adjuvant rituximab in ITP. Nonsplenectomized adults with newly diagnosed or relapsed ITP who were receiving standard ITP therapy for a platelet count below 30 × 109/L were randomly allocated to receive 4 weekly infusions of 375 mg/m2 rituximab or saline placebo. Sixty patients were recruited over 46 months, which was slower than anticipated. Protocol adherence and follow-up targets were achieved, and blinding was successful for research staff but not for patients. After 6 months, there was no difference between rituximab and placebo groups for the composite outcome of any platelet count below 50 × 109/L, significant bleeding or rescue treatment once standard treatment was stopped (21/32 [65.6%] vs 21/26 [80.8%]; relative risk = 0.81, 95% confidence intervals, 0.59%-1.11%). Timely accrual poses a challenge to the conduct of a large randomized trial of rituximab for presplenectomy ITP. No difference in the frequency of the composite outcome was observed in this pilot trial (registered at www.clinicaltrials.gov NCT00372892).
Introduction
Primary immune thrombocytopenia (ITP) is a common autoimmune disease characterized by low platelet counts and an increased risk of bleeding. Most adults with acute ITP will achieve an initial platelet count response to corticosteroid-based treatments; however, relapses are common within the first year and additional treatments including splenectomy are frequently required.1,2 Aggressive treatment early in the course of the disease may prevent the development of chronic thrombocytopenia and its associated morbidities3 and can reduce or avoid toxicities from prolonged corticosteroid exposure.
Rituximab has been associated with any platelet count response in ∼ 60% of ITP patients4 and may avert the need for splenectomy.5 Sustained responses are rare but have been reported to occur in one quarter6 to one third7 of patients after 12 and 57 months, respectively. In observational studies, patients with a longer duration of ITP were less likely to respond to rituximab,8 suggesting that early treatment may be more effective. One randomized trial reported improved platelet count responses with early rituximab plus dexamethasone compared with dexamethasone alone.9 Additional randomized trials are needed to evaluate clinical end points and to accommodate the variability in standard treatments.
This pilot randomized trial was designed to test the feasibility of recruitment, protocol adherence, and blinding while evaluating the effect of rituximab on the frequency of treatment failure once standard therapy was discontinued. In particular, clinical end points were (1) the frequency of any platelet count below 50 × 109/L, (2) significant bleeding, or (3) need for rescue treatment. The criteria for deeming this pilot trial a success were (1) recruitment of 60 patients in 12 months, (2) administration of all study drug infusions to at least 54 of 60 (90%) patients, (3) achievement of complete follow-up for at least 50 of 60 (83%) patients, and (4) successful blinding of patients and research staff. Blinding was considered successful if the proportion of correct guesses at treatment allocation was no different than what could be attributed to chance.
Methods
Study design
We conducted a randomized, concealed, blinded, placebo-controlled trial in 7 centers in Canada.
Patients
Eligible patients were nonsplenectomized adults 18 to 80 years of age with newly diagnosed10 or relapsed primary ITP who had a platelet count below 30 × 109/L and had begun standard treatment at the discretion of their physician. Relapsed ITP was defined as the recurrence of thrombocytopenia (platelet count < 30 × 109/L) after a previous response to therapy lasting at least 1 month. Exclusion criteria were as follows: any treatment for ITP within 30 days before starting standard treatment; previous treatment with rituximab; significant cardiac, pulmonary, or liver disease; uncontrolled hypertension; venous or arterial thrombosis in the preceding year; acute infection; serologic evidence of human immune deficiency virus, hepatitis C, or active or remote hepatitis B infection; use of anticoagulants or antiplatelet medications; and pregnancy or lactation. All patients provided written informed consent.
Study procedures
Local research pharmacists used a centralized electronic randomization system to randomly assign patients to receive intravenous rituximab 375 mg/m2 or saline placebo once per week for 4 consecutive weeks. Randomization was stratified by center and ITP stage (newly diagnosed or relapsed) in a 1:1 ratio using undisclosed blocks of 2 to 6. Patients were randomized within 30 days of starting standard treatment and followed for 6 months from randomization. Standard treatment was permitted for up to 8 weeks to accommodate the use of oral prednisone taper and allow sufficient time for the onset of rituximab; thereafter, the occurrence of any of a platelet count below 50 × 109/L, significant bleeding, or rescue treatment was considered a treatment failure. Each study drug infusion was administered using a standard volume-based rate escalation protocol preceded by the administration of 100 mg of hydrocortisone intravenously, 50 mg of diphenhydramine orally or intravenously, and 650 mg of acetaminophen orally to minimize infusion-related reactions and avoid unblinding.
Outcomes
The primary efficacy outcome was treatment failure, defined as the composite of (1) any platelet count below 50 × 109/L; (2) significant bleeding, defined as grade 2 severity from any anatomical site as per the ITP bleeding scale11 that defines bleed grades (0, none; 1, mild; or 2, marked) by objective criteria of 9, based on events that occurred since the last study visit; or (3) rescue treatment administered because of severe thrombocytopenia, bleeding, or a planned invasive procedure. Secondary efficacy outcomes were quality of life measured using the Medical Outcomes Study Short Form 3612 ; proportion of patients with a complete platelet count response (platelet count of ≥ 100 × 109/L) and overall platelet count response (platelet count of ≥ 30 × 109/L with doubling from baseline) without rescue treatment at 6 months (these definitions were amended from the original protocol to comply with 2009 consensus recommendations10 ). Additional laboratory outcomes were as follows: change in CD19-positive lymphocytes by flow cytometry and levels of immunoglobulin (Ig)G, IgA, and IgM by nephelometry at baseline and 1, 3, and 6 months after the first study drug infusion. Research staff was blinded to CD19 results. Adverse events were graded according to the Common Terminology Criteria for Adverse Events Version 3.13
Study oversight
The protocol was approved by the research ethics board at each participating center and by Health Canada. The methods center was the McMaster Transfusion Research Program in Hamilton, ON.
Statistical analysis
Data from patients were analyzed by study-group assignment using the intention-to-treat principal. Relative risks (RRs) with 95% confidence intervals (CIs) were calculated for the composite end point and each of its components. Kaplan-Meier curves were used to estimate the distribution of the time to treatment failure, and Cox regression analysis was used to calculate hazard ratios with 95% CI. The difference in mean platelet counts between groups was calculated in a posthoc analysis using a mixed model taking into account repeated platelet count measures and adjusted for baseline platelet counts at the time of randomization. Change scores for quality of life measures were analyzed using ANCOVA adjusting for baseline scores. All analyses were carried out using SAS 9.2 (SAS institute). A convenient sample size of 60 patients was felt to be adequate to address the feasibility objectives.
Role of funding source
This was an investigator-initiated trial funded by Hoffmann-LaRoche. The investigators were responsible for design and oversight of the trial, analysis and interpretation of the data, and writing the protocol and manuscript. Study drug was provided by the funder who had no role in the design and conduct of the study; collection, management, analysis, and interpretation of the data; and preparation or approval of the manuscript or decision to publish the data.
Results
Between October 2006 and July 2010, 126 patients were approached for participation in the trial, and 60 patients were randomized (Figure 1). Reasons for slow accrual were a high number of refusals (n = 53) and exclusions for hepatitis B core antibody seropositivity (n = 8). Two patients (1 in each group) withdrew consent before receiving a single study drug infusion and were not evaluable for responses. Four additional patients (3 were in the placebo group) either withdrew consent or could not be located; their data were included up to the point of last follow-up.
Patient flow. HBcAb indicates hepatitis B core antibody; and HIV, human immune deficiency virus. *Some patients had more than one reason for exclusion. †Data were available until last follow-up.
Patient flow. HBcAb indicates hepatitis B core antibody; and HIV, human immune deficiency virus. *Some patients had more than one reason for exclusion. †Data were available until last follow-up.
Thirty-three patients were allocated to receive rituximab, and 27 were allocated to placebo. Baseline characteristics were balanced between groups (Table 1). Median age for the cohort was 40 years (interquartile range [IQR], 30.5-59.0) and 58% were female. Median baseline platelet count was 15 × 109/L (IQR, 9-23), and patients had ITP for a median of 1 year (IQR, 0-3.5) before randomization. Median duration of ITP among newly diagnosed patients (n = 28) and relapsed patients (n = 32) was 1.0 month (1.0-1.5) and 36.0 months (7.5-90.0), respectively. All patients received standard treatment that included 1 or more of corticosteroids, intravenous immune globulin (IVIg), rhesus immune globulin, romiplostim, or platelet transfusions.
Protocol adherence targets were achieved since 57 (95%) of 60 patients received all study drug infusions and follow-up was complete for 52 (86.7%) of 60 patients, although one or more scheduled visits was missed by 6 (11.5%) of the 52 patients. Blinding success, measured after the administration of 4 study drug infusions, was achieved for study investigators, research coordinators, and infusion nurses; however, patients guessed correctly at treatment allocation more often than could be attributed to chance (proportion of correct guesses = 35/50 [70%]; 95% CI, 57%-83%).
Twenty-one (65.6%) of 32 patients assigned to rituximab, and 21 (80.8%) of 26 patients assigned to placebo met the composite endpoint of treatment failure (RR = 0.81; 95% CI, 0.59%-1.11%; (Table 2). Proportions of patients meeting each of the components of the composite outcome were also similar between groups. No difference was detected in the event-free distribution of patients who received rituximab compared with placebo (P = .12; Figure 2); hazard ratio in the rituximab group was 0.65 (95% CI, 0.35%-1.19%). Rescue treatments consisted of prednisone, dexamethasone, IVIg, and rhesus immune globulin for the majority of patients who received them; others included azathioprine, danazol, romiplostim, and platelet transfusion. Two patients in the placebo group underwent splenectomy.
Time to treatment failure. The composite outcome of platelet count < 50 × 109/L, significant bleeding, or rescue treatment was measured among patients receiving rituximab (solid line) or placebo (dashed line) plus standard treatment. The x-axis is time in observation period once standard treatment was discontinued.
Time to treatment failure. The composite outcome of platelet count < 50 × 109/L, significant bleeding, or rescue treatment was measured among patients receiving rituximab (solid line) or placebo (dashed line) plus standard treatment. The x-axis is time in observation period once standard treatment was discontinued.
Bleeding events were common in both groups, especially skin petechiae, oral purpura, and epistaxis. Patients with grade 1 (minor) and grade 2 (significant) bleeding from each anatomic site are shown in Table 3. Using the Medical Outcomes Study Short Form 36, no treatment effect was found for change in quality of life summary scores for physical (P = .45) or mental (P = .32) domains.
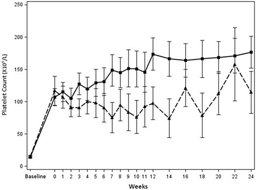
Mean platelet counts were higher in patients receiving rituximab than patients receiving placebo without the use of rescue treatment (P < .0001; Figure 3). At 6 months, complete platelet count response (CR) was achieved by 17 (53.1%) patients in the rituximab group and 12 (46.2%) patients on placebo (RR = 1.15; 95% CI, 0.68%-1.95%). Overall platelet count response was achieved by 20 (62.5%) and 19 (73.1%) patients in the rixumab and placebo groups, respectively (RR = 0.86; 95% CI, 0.60%-1.22%).
Mean platelet counts. Platelet counts (mean ± SE) for rituximab (solid line) and placebo (dashed line) plus standard treatment without rescue treatment.
Mean platelet counts. Platelet counts (mean ± SE) for rituximab (solid line) and placebo (dashed line) plus standard treatment without rescue treatment.
The percentage of CD19-positive lymphocytes decreased to undetectable levels by 1 month after rituximab infusions (from 11.2% to < 0.1%) and began to repopulate at 6 months. No change in CD19-positive lymphocytes was observed in patients receiving placebo except for a slight decrease at 3 months relative to baseline values (from 12% to 8.5%). In the rituximab group, IgG and IgM levels at 6 months were significantly lower than baseline, although mean values remained within normal reference ranges (mean IgG, 9.17 g/L; mean IgM, 1.34 g/L). Those receiving placebo had a transient decrease in IgG levels at 1 month compared with baseline, although mean values remained within the normal reference range (mean IgG, 9.61 g/L).
Two serious adverse events were reported in patients receiving rituximab, and 1 serious adverse event was reported in patients receiving placebo (Table 4). Twenty infusion-related events were reported in the rituximab group, including sore throat, nasal congestion, cough, pruritus, skin rash, chest pain, and dyspnea. Ten such events were reported in patients receiving placebo, including dyspnea and rigors.
Discussion
This pilot randomized trial of rituximab or placebo for nonsplenectomized adults with newly diagnosed or relapsed primary ITP demonstrated that a larger trial is feasible, although accrual and patient blinding pose logistical challenges. Statistically significant differences were not observed between groups for the proportion of patients meeting criteria for treatment failure, although the direction of the treatment effect favored rituximab. Mild adverse events were common with rituximab and 1 patient discontinued treatment because of serum sickness.
The rate of accrual in this trial was slower than expected for several reasons. First, the rate of refusals was high (53/126 [42.1%]), often because patients were unwilling to be randomized to placebo. Second, we noticed an unexpected number of patients with hepatitis B core antibodies that we later learned were often passively transferred from IVIg infusions used as standard treatment.14 Finally, during the course of the trial, the use of rituximab off-label to treat ITP increased significantly,15 further compromising enrolment. These barriers to accrual pose challenges for the successful conduct of future trials of rituximab in ITP.
In an attempt to mask interventions, we used a saline placebo and universal premedication before each infusion. We observed that blinding was successful for research staff but not for patients, possibly as a result of minor infusional reactions. Despite previous recommendations to evaluate the success of blinding in clinical trials,16 the value of such assessments has recently been challenged because of unavoidable confounding by preconceived beliefs about efficacy and harms of treatment.17 Nevertheless, difficulties in maintaining patient blinding may impact future trials that incorporate subjective outcomes such as patient-reported bleeding severity.18 We anticipate that any effect of hydrocortisone predmedication on platelet count, bleeding, or both would have been equal in both groups.
We enrolled both newly diagnosed and relapsed patients before splenectomy. This avoided overtreating some patients who may have undergone spontaneous remission but captured others at a more advanced stage of illness,19 potentially diluting the effect of rituximab. On balance, this study population reflected a realistic application of rituximab in the sequence of ITP treatments recognizing existing variability in practices.
This is one of the first ITP trials to capture global impairments in hemostasis using a composite outcome to capture both laboratory end points (platelet counts) and clinical end points that are meaningful to patients (bleeding and rescue treatment).20 Most trial-related events occurred because of platelet count criteria, followed by rescue treatment and bleeding. Differences in the frequencies of each of these components challenge the interpretation of a composite outcome in future ITP trials21 ; however, the suitability of the singular use of any of the individual components as a primary outcome is also problematic. For example, the platelet count is a surrogate endpoint that reflects disease activity but lacks a stable correlation with clinical events; thresholds for initiating rescue treatment may be subjective and dependent on other determinants; and a trial powered to detect differences in serious bleeding would be very large and possibly unfeasible.22
The end points used in this trial were meant to reflect a conservative assessment of treatment failure. In the groups of patients with first-events attributable to thrombocytopenia (n = 23), rescue treatment (n = 16) and bleeding (n = 3), the median lowest platelet counts were 15, 32, and 224 × 109/L, respectively. Six of those events—3 in the placebo group and 3 in the rituximab group—occurred despite normal platelet counts: 3 rescue treatments where prednisone was tapered beyond the first 8 weeks; and 3 bleeding events of grade 2 menstrual bleeding (n = 2) or epistaxis (n = 1). Besides assessing feasibility, this pilot trial helped to uncover challenges with current outcome measures commonly used in ITP trials.23 Appropriate outcomes, taking into account clinical and platelet count criteria, require careful consideration.
In this study, CR (platelets > 100 × 109/L) at 6 months was observed in 12 (46.2%) of 26 patients after standard treatment alone: 10 patients received prednisone, 1 patient received 2 cycles of dexamethasone and IVIg, and 1 patient received dexamethasone, prednisone, IVIg, and romiplostim. Three large ITP cohort studies that used similar outcomes reported rates of CR after corticosteroid-based therapy of 31/124 (25%) at 2 months,24 61/115 (53.0%) at 3 months,1 and 209/689 (30.3%) after a median follow-up of 36 months.25 The control rate of CR we observed was somewhat higher than expected, possibly because standard treatments were intensified during the initial 8-week period, or because previous cohort studies may have included a greater case mix of patients. In a previous randomized trial of rituximab, the rate of CR among controls (who received 1 course of dexamethasone) was 17/52 (32.7%)9 ; however, the total dose of corticosteroid in that trial was less than most standard therapies.
Previous studies in ITP have shown that rituximab can modify disease activity. Evidence-based guidelines offer a grade 2C recommendation for its use for patients who have failed corticosteroids, IVIg, or splenectomy,26 and expert consensus suggests that rituximab may be a reasonable second-line option.27 In a systematic review of 19 observational studies enrolling 313 patients of whom 46.2% were not splenectomized, rates of complete (platelet count > 150 × 109/L) and overall (platelet count > 50 × 109/L) responses with rituximab were 43.6% (95% CI, 29.5%-57.7%) and 62.5% (CI, 52.6%-72.5%), respectively, after a median follow up of 9.5 months.4 In those reports, 9 patients (2.9%) died. Median time to response was 5.5 weeks, and responses lasted a median of 10.5 months. In a prospective observational study of 60 adults with ITP, 24 (40%) achieved a platelet count above 50 × 109/L and at least twice their inclusion value at 1 year, and 20 (33%) maintained their platelet count response at 2 years.5 In 1 previous randomized trial in treatment-naive ITP patients, a platelet count of 50 × 109/L or higher after 6 months without rescue treatment was achieved by 31/49 (63%) patients in the rituximab plus dexamethasone group compared with 19/52 (36%) patients receiving dexamethasone alone (absolute risk reduction, 27%; 95% CI, 8%-46%).9 The trial was stopped prematurely because of the large treatment effect; however, bleeding was not assessed and more than half of the patients did not complete follow-up. Our trial did not protocolize standard treatment, reflecting current practice variability, and we recorded bleeding as part of the primary composite efficacy outcome. Our results suggest that the treatment effect with rituximab in the setting of new and relapsed disease may not be as large as suggested previously.
Strengths of this trial were the randomized allocation, attempts to blind all persons involved, the use of clinical and laboratory end points, and the incorporation of a validated ITP bleeding tool. We accommodated variability in choice and duration of standard treatments to enhance generalizability of the results and had high rates of follow-up. Limitations were the sample size that was insufficient to detect a difference in efficacy and the relatively short evaluation period.
Further research is needed to establish the efficacy and safety of rituximab for nonsplenectomized patients with ITP. A large randomized trial would require many centers and commitment from investigators and patients to ensure timely recruitment. For uncommon conditions and rare side effects,28 alternative methods of comparative effectiveness research may be useful including retrospective analyses of existing clinical or administrative databases and longitudinal registries.29 Given barriers to a large future trial, including the challenges we identified and the increasing use of rituximab for this condition, our findings, although limited by wide confidence limits, represent the best available estimates of the effects of rituximab on clinical and platelet-count end points in this population.
The publication costs of this article were defrayed in part by page charge payment. Therefore, and solely to indicate this fact, this article is hereby marked “advertisement” in accordance with 18 USC section 1734.
Acknowledgments
The authors thank the research coordinators Lianna Butler, Ruth Cameron (Hamilton); Martha Lenis, Deborah Sanfelice (Toronto); Elizabeth Chatelain (Ottawa); Susan Janke, Carla Girolametto, Kelly Walker (Grand River); Laura Meraw, Darlene TenHaaf (London); Evani Goll, Boris Feldman, Luke Tse (Vancouver); and Lisa Gray, Blaine Gallant, Susan Pleasance (Halifax); the study pharmacists Gita Sobhi and the McMaster University Medical Center pharmacy team (Hamilton); Mara Pavan (Vancouver); Jeff Doi (Toronto); Theresa Rooney (London); Anne Marie Dugal (Ottawa); and Anna Granic (Grand River); and the patients for commitment.
This was an investigator-initiated study funded by Hoffmann-LaRoche and by Canadian Institutes for Health Research. D.M.A. holds a New Investigator Award from Canadian Institutes for Health Research in partnership with Hoffmann-LaRoche. M.A.C. holds the Leo Pharma Chair in Thromboembolism Research at McMaster University. D.J.C. is a Canada Research Chair in Critical Care. R.J.C. is a Canada Research Chair in Statistical Methods for Health Research. M.A.C. is a Career Investigator of the Heart and Stroke Foundation of Canada and holds the Leo Pharma Chair in Thromboembolism Research at McMaster University.
Principal Investigator: D.M.A.; Steering Committee: D.M.A., M.A.C., N.M.H., J.G.K., R.J.C., R.M.M., A.M.; Data Safety Monitoring Board: T. Kouroukis, J. George, L. Thabane, D. Fergusson; Methods Center (McMaster Transfusion Research Program): J.C., Y.L., A. Traore, L. Molnar, L. Wang. D.M.A. had full access to all the data in the study and takes responsibility for the integrity of the data and the accuracy of the data analysis.
Authorship
Contribution: D.M.A. designed and performed the research, contributed and analyzed data, and wrote the paper; N.M.H. designed and performed the research, analyzed the data, and critically edited the paper; J.C. performed the research, analyzed the data, and critically edited the paper; D.J.C., M.A.C., and R.M.M. designed the research, analyzed the data, and critically edited the paper; Y.L. analyzed the data and critically edited the paper; R.J.C. designed the research, analyzed the data, and critically edited the paper; A.M. designed and performed the research, contributed and analyzed the data, and critically edited the paper; J.A.M., J.M., D.A., L.V., A.T., and A.C.S. performed the research, contributed and analyzed the data, and critically edited the paper; J.G.K. designed and performed the research, contributed and analyzed data, and critically edited the paper; and all authors provided final approval for the paper to be published.
Conflict-of-interest disclosure: D.M.A. has received research funding from Roche, Amgen, and GlaxoSmithKline; served as an advisory board member for Amgen and GlaxoSmithKline; served as a consultant for Amgen; received speaking honoraria from Roche, Amgen, GlaxoSmithKline, and Talecris; and traveled to meetings for Amgen. J.G.K. has received research funding from Roche and Amgen and served as an advisory board member and chair for Amgen and GlaxoSmithKline. A.M. has received research funding from sanofi-aventis, Bayer Healthcare, and Boehringer-Ingelheim and served as an advisory board member for Amgen and sanofi-aventis. R.M.M. had received research funding from and served as director of the National Cancer Institute of Canada Clinical Trials Group, which has received research funding from Amgen Canada, Ariad Pharmaceuticals, Astex Therapeutics, Astra Zeneca, Bristol-Myers Squibb, Celgene, Lilly, GlaxoSmithKline, Janssen-Ortho, Merck Frosst Canada, Novartis, Oncothyreon, Orthobiotech, Pfizer, Roche, S*Bio Ptd Ltd, Sanofi-Aventis, Schering Canada, and Zymogenetics; and received honoraria from Celgene and Lilly. A.T. has served as an advisory board member for Amgen, GlaxoSmithKline, Novartis, and Bayer. M.A.C. has received research funding from Bayer, Pfizer, Leo Pharma, and Octapharma; served as an advisory board member for Bayer, BI, Pfizer, Leo Pharma, Alexion, Artisan, and CSL Behring; provided expert testimony for Bayer and CSL Behring; and produced educational materials for Pfizer, Octapharma, and CSL Behring). The remaining authors declare no competing financial interests.
Correspondence: Donald M. Arnold, HSC 3V-50, 1280 Main Street West, Hamilton, ON, Canada L8S 4K1; e-mail: arnold@mcmaster.ca.


