Abstract
Abstract 2772
Thrombocytopenia, found in 40–65% of MDS patients, is an independent risk factor for survival. Romiplostim increases platelet production, with 46% of MDS patients in a phase 1/2 study having a durable platelet response [Kantarjian JCO 2010, 28:437–444]. MDS patients who completed a romiplostim clinical study could enroll in this open-label extension study. Interim results are reported to provide an update on continued, long-term romiplostim treatment in MDS patients.
MDS patients who completed a prior romiplostim study with platelets ≤50×109/L and no evidence of disease progression were eligible to enroll. Prior studies were as follows: (1) romiplostim only for up to 52 weeks [Kantarjian JCO 2010, 28:437–444], (2) romiplostim or placebo plus decitabine for ≥4 cycles [Greenberg ASH 2009], (3) romiplostim or placebo plus lenalidomide for ≥4 cycles [Lyons ASH 2009], or (4) 58-week placebo-controlled study. The primary endpoint was adverse event incidence; secondary endpoints were bleeding event incidence, platelet transfusions, and platelet response duration. Based on previous dosing, patients received romiplostim at 250, 500, 750, 1000, or 1500 mcg weekly or biweekly, adjusting for platelet counts. If no response was observed after 4 weeks at 1000 mcg/week, treatment was discontinued.
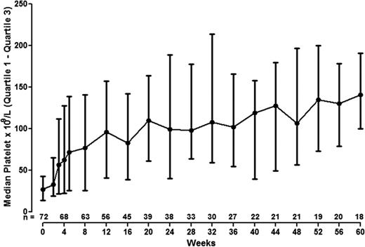
As of May 31, 2011, 72 patients had enrolled; previous treatments were romiplostim or placebo (60), romiplostim with decitabine (7), or with lenalidomide (5). Patients (56% male) had median age 71.0 (Q1-Q3: 65.0–76.5) years, median baseline platelet count of 27×109/L (Q1-Q3:14–42×109/L), MDS subtypes: RA (22 patients), RARS (1), RAEB-1 (6), RAEB-2 (1), RCMD (25), RCMD-RS (2), and MDS-U (15), and IPSS status at prior study baseline: low (22), int-1 (44), int-2 (4), and unknown (2). Median duration of MDS (until last contact or AML progression) was 3.1 years (Q1-Q3:1.7–5.2 years). Median treatment duration during this extension study was 28 weeks (range: 2–181 weeks); for those patients who received romiplostim in prior studies, there was additional exposure for a median of 52 weeks (range: 7–74 weeks). The median average weekly dose was 750 mcg (Q1-Q3: 669–923 mcg). Romiplostim was well tolerated; the most common adverse events were epistaxis (32%), cough (25%), and fatigue (24%). No neutralizing antibodies to romiplostim or thrombopoietin were detected. Five cases of AML progression occurred (Table). There were a total of 11 deaths, 4 on-study and 7 post-study. The on-study deaths included cardiac arrest and intestinal obstruction after 83 weeks, congestive heart failure after 17 weeks, progressive muscle dystrophy after 153 weeks, and pulmonary fibrosis in a patient with a history of chronic obstructive pulmonary disease and congestive heart failure after 35 weeks. This last death was considered to be related to romiplostim by the investigator. The post-study deaths included four due to AML, one due to respiratory causes, one due to cerebral hemorrhage, and one due to unknown causes. The annual rate of AML or death was 14.3% (95% CI: 8.1%-25.2%). Fifty-two (72.2%) patients reported ≥1 bleeding event(s); the incidence rate was 23.3/100 patient-weeks; 23 patients (32%) reported ≥1 clinically significant bleeding event(s). The proportion of patients with significant bleeding events decreased over time. Platelet transfusions occurred in 32 (44%) patients, with none after 48 weeks of romiplostim. From Week 3 onwards, the median platelet count was ≥50×109/L; 60 patients (83%) had a platelet response (per IWG 2006). The median time to first platelet response was 2.1 weeks (Q1-Q3: 1.1–3.7 weeks) and the median platelet response duration was 20 weeks (Q1-Q3: 6.5–72 weeks). Shortly after this data cutoff, all patients were discontinued from romiplostim treatment and moved into the long-term observation portion of the study.
AML Cases
| WHO . | IPSS . | MDS duration at time of AML progression (years) . | Total romiplostim exposure (weeks)* . |
|---|---|---|---|
| RCMD | Int-1 | 1.9 | 42 |
| RCMD | Int-1 | 1.5 | 22 |
| RAEB-1 | Int-2 | 2.0 | 27 |
| RAEB-1 | Int-1 | 9.2 | 99 |
| RAEB-2 | Low | 1.7 | 80 |
| WHO . | IPSS . | MDS duration at time of AML progression (years) . | Total romiplostim exposure (weeks)* . |
|---|---|---|---|
| RCMD | Int-1 | 1.9 | 42 |
| RCMD | Int-1 | 1.5 | 22 |
| RAEB-1 | Int-2 | 2.0 | 27 |
| RAEB-1 | Int-1 | 9.2 | 99 |
| RAEB-2 | Low | 1.7 | 80 |
Prior study and open-label extension combined
In this study, long-term treatment of MDS patients with romiplostim for up to 3.5 years (5 years with prior studies) was well tolerated and resulted in platelet responses in 83% of patients. Among patients in this extension study, AML progression occurred at expected rates.
Fenaux:Merck: Honoraria, Research Funding; Glaxo Smith Kline: Honoraria, Research Funding; Amgen: Honoraria, Research Funding; Roche: Honoraria, Research Funding; Janssen Cilag: Honoraria, Research Funding; Novartis: Honoraria, Research Funding; Celgene: Honoraria, Research Funding; Cephalon: Honoraria, Research Funding. Off Label Use: Use of romiplostim, which is indicated for ITP, will be discussed in patients with MDS. Kantarjian:Amgen: Research Funding. Muus:Amgen: Membership on an entity's Board of Directors or advisory committees. Lyons:Amgen: Consultancy, Honoraria, Research Funding, Speakers Bureau. Larson:Amgen: Research Funding. Sekeres:Celgene: Consultancy, Honoraria, Speakers Bureau. Becker:Amgen: Membership on an entity's Board of Directors or advisory committees, Research Funding. Jia:Amgen: Employment, Equity Ownership. Yang:Amgen: Employment, Equity Ownership.
Author notes
Asterisk with author names denotes non-ASH members.
