Key Points
- Asciminib showed sustained superior efficacy and favorable safety and tolerability vs bosutinib in patients with CML-CP after ≥2 previous TKIs. 
- Long-term results from ASCEMBL support asciminib as a standard of care for patients with resistance to or intolerance of previous TKIs. 
Visual Abstract
The efficacy of and disease control afforded by tyrosine kinase inhibitors (TKIs) in chronic myeloid leukemia in chronic phase (CML-CP) have led to increased longevity and thus the continued pursuit of alternative therapies that are efficacious and maximize tolerability. The 24- and 96-week analyses from ASCEMBL demonstrated superior efficacy, safety, and tolerability of asciminib when compared with bosutinib in later-line therapy, thereby meeting the primary and key secondary objectives. With nearly 4 years of follow-up, data from ASCEMBL continued to demonstrate the superior efficacy, safety, and tolerability of asciminib over bosutinib. At week 156, the major molecular response (MMR) rates remained higher with asciminib (33.8%) than with bosutinib (10.5%); the difference in MMR rates between arms, after adjusting for baseline major cytogenetic response, was 23.2% (95% confidence interval, 13.14-33.18; 2-sided P < .001). Asciminib continued to cause fewer grade ≥3 adverse events (AEs; 59.6% vs 68.4%) and fewer AEs that led to treatment discontinuation (8.3% vs 27.6%) than bosutinib. This updated analysis also includes patients who switched to asciminib because of a lack of efficacy with bosutinib. Two of the 25 patients who switched achieved MMR by the end of study, suggesting that earlier incorporation of asciminib, before other TKIs, may improve responses, albeit modestly. These long-term results further solidify asciminib as the therapy of choice for patients with CML-CP who were previously treated with ≥2 previous TKIs. This trial was registered at clinicaltrials.gov as #NCT03106779.
Introduction
Chronic myeloid leukemia (CML), once considered fatal, is now managed as a lifelong, chronic condition with most patients treated with long-term adenosine triphosphate–competitive tyrosine kinase inhibitor (TKI) therapy.1-6 Although TKIs have improved survival in CML, 13% to 31% of first-line treatments fail, and 50% to 60% of patients subsequently experience second-line treatment failure.7 Patients who require multiple lines of therapy because of previous resistance, intolerance, or both generally have poorer outcomes,8,9 and their treatment options can be further limited by comorbidities.10 Sequential treatment with TKIs is associated with increased rates of resistance and newly emerging mutations; the subsequent response trajectories may be uncertain.8,11,12 Patients with previous treatment commonly have high rates of discontinuation and nonadherence.8,9,13-15 With the longevity afforded by TKIs, avoidance of persistent low-grade and severe treatment-related adverse events (AEs) is increasingly important.1,4,16,17 Persistent low-grade AEs can lead to reduced quality of life, nonadherence, and, consequently, poor or lost response to therapy. Severe AEs, such as arterial occlusive events (AOEs), pulmonary arterial hypertension, and pleural effusions, can occur early or after several years of TKI therapy.4,16,18,19 Pulmonary arterial hypertension may be irreversible with significant morbidity; pleural effusions, although generally reversible, may be persistent.3,4,8,18 Highly efficacious treatments with improved margins of safety and tolerability and consequent optimization of longevity and quality of life are needed.
Asciminib, the first BCR::ABL1 (breakpoint cluster region; Abelson tyrosine kinase 1) inhibitor that specifically targets the ABL myristoyl pocket, has shown efficacy and favorable safety and tolerability in patients after ≥2 previous TKIs.20-22 Primary (week 24) and key secondary (week 96) results from ASCEMBL demonstrated that asciminib had statistically significant superior efficacy over bosutinib in patients with chronic phase CML (CML-CP) who were treated with ≥2 previous TKIs.20,21 Major molecular response (MMR) rates with asciminib were approximately double those of bosutinib at weeks 24 (25.5% vs 13.2%) and 96 (37.6% vs 15.8%),20,21 were highly durable and deepened over time. Consistent with the primary analysis, the week 96 analysis demonstrated better safety and tolerability with asciminib than with bosutinib and fewer grade ≥3 AEs (56.4% vs 68.4%) and AEs leading to treatment discontinuation (7.7% vs 26.3%), regardless of longer exposure.20,21
To further assess the long-term efficacy and safety of asciminib vs bosutinib in patients with CML-CP after ≥2 previous TKIs, we report updated results from the ASCEMBL end of study (EOS) treatment analysis (median follow-up, 3.7 years).20,21 For the first time, we report for the first time data from patients who switched to asciminib after treatment failure due to a lack of efficacy after on-study treatment with bosutinib.
Methods
Study oversight
The study was designed collaboratively by the sponsor and the lead study investigators. The protocol was approved by the sites’ institutional review boards, the study was conducted in accordance with the Declaration of Helsinki, and all patients provided written informed consent. An independent data monitoring committee reviewed the safety data approximately every 6 months, and all authors had access to the data and analyzed them collaboratively with the sponsor.
Patients, study design, and treatments
ASCEMBL (NCT03106779) was an open-label, active-controlled, multicenter, randomized phase 3 trial that compared asciminib with bosutinib in patients with CML-CP after ≥2 previous TKIs (supplemental Figure 1). Patients were treated in the study until the EOS treatment period, defined as ≤96 weeks after the last patient received the first dose or ≤48 weeks after the last patient had switched from bosutinib to asciminib (whichever was longer) or discontinued earlier. The EOS after-survival follow-up is 5 years from the date when the last enrolled patient received the first dose of randomized treatment. After the EOS treatment, patients were able to continue their study medication if the investigator believed that they might benefit from therapy. Options included, among others, access to commercial supplies or enrollment in an expanded access, compassionate use, or managed access program. The analyses presented here are based on data collected after all randomized patients completed their EOS treatment visit and entered the survival phase or discontinued earlier. The survival data collection phase is ongoing. The study design and patient eligibility have been described previously.20,21
Eligible patients were randomized 2:1 to receive asciminib 40 mg twice daily or bosutinib 500 mg once daily with randomization stratified by major cytogenetic response (MCyR) status at baseline. Patients who met lack of efficacy criteria, per the 2013 European LeukemiaNet (ELN) recommendations for second-line failure (defined in the supplemental Methods), permanently discontinued the study treatment.23 Patients on bosutinib who experienced treatment failure according to the ELN 2013 recommendations for second-line therapy could switch to asciminib at ≤96 weeks after the last patient had been randomized and could receive asciminib up to EOS treatment.23 Patients who discontinued bosutinib because of intolerance, disease progression, or any other reason could not switch to asciminib.
End points
Details of the primary and key secondary efficacy and safety assessments have been described previously.20,21 Results from the EOS treatment analysis (week 156; cutoff, 30 days after all patients completed their EOS treatment visit) are presented here. MMR at and by week 156 was reported, corresponding to 3 years of mature data. Achievement of MMR at week 156 was confirmed if a patient who had been on the study treatment achieved BCR::ABL1 levels on the International Scale (BCR::ABL1IS) of ≤0.1% at week 156 and if they did not meet criteria for treatment failure or discontinuation for any reason before this time point. Complete cytogenetic response was summarized until week 144 to present data from patients with adequate follow-up.
Statistical analysis
MMR rate at week 156 was based on the full analysis set in the intent-to-treat population (all randomized patients). No formal hypothesis testing was performed at EOS. Response rates were presented at the 5% significance level (2-sided test) using the Cochran-Mantel-Haenszel χ2 test and stratified by MCyR status at baseline. Mantel-Haenszel estimates of the common risk difference and the corresponding 95% confidence intervals (CIs) were determined. MMR rates and 95% CIs at weeks 24 and 96 based on the Pearson-Clopper method are presented, again, by treatment group.20,21
Results
Patients
Between November 2017 and December 2019, patients with CML-CP after ≥2 previous TKIs were randomized to receive asciminib (n = 157) or bosutinib (n = 76). Baseline characteristics were reported previously (supplemental Table 1).20,21 One patient assigned to asciminib developed cytopenias after randomization and was not treated per investigator’s decision. The median follow-up was 3.7 years from randomization to the EOS treatment analysis cutoff (22 March 2023).
At cutoff, 85 patients (36.5%) completed the study treatment per protocol. More patients completed treatment with asciminib (n = 77, 49.0%) than with bosutinib (n = 8, 10.5%; Table 1; supplemental Figure 2). As in the previous analyses,20,21 lack of efficacy remained the most common reason for treatment discontinuation (asciminib, 25.5%; bosutinib, 36.8%), followed by AEs (asciminib, 7.0%; bosutinib, 27.6%; Table 1). Since the week 96 analysis, 7 additional patients in each arm discontinued asciminib or bosutinib.21 With asciminib, 3 discontinuations were because of on-treatment deaths (1 each due to cardiac failure, cardiac disorder [ventricular tachycardia], and unknown cause, with none thought to be due to asciminib based on the investigator assessment), and 1 each was due to lack of efficacy, patient/guardian decision, pregnancy, and progressive disease. With bosutinib, 3 discontinuations due to patient/guardian decision, 2 due to AEs, and 1 each due to physician decision (a patient in whom the level of response was assessed as not adequate by the investigator, but the protocol-defined lack of efficacy criteria were not met) and lack of efficacy were reported. The median duration of exposure (range) by the EOS cutoff was 156.0 (0.1-256.3) weeks with asciminib and 30.5 (1.0-239.3) weeks with bosutinib.
After treatment discontinuation, 46.5% of patients who received asciminib continued asciminib, and 25.0% who received bosutinib received asciminib thereafter.
Efficacy
Consistent with the previous analyses, the MMR rates at week 156 were higher with asciminib (n = 53; 33.8%) than with bosutinib (n = 8, 10.5%; Figure 1A; supplemental Table 2).20,21 The treatment difference between arms, after adjusting for the baseline MCyR status, was 23.2% (95% CI, 13.14-33.18; 2-sided P < .001). Of the 59 patients with MMR at week 96 on asciminib, 1 lost response (determined by 1 test), 3 had treatment failure (protocol-defined criteria per ELN 2013,23 described previously20 and in the supplemental Methods), and 3 had missing assessments at week 156. Of 12 patients who had MMR at week 96 with bosutinib, 5 had treatment failure at week 156. In patients without MMR at week 96, 1 from each treatment arm had MMR at week 156. As with the earlier analyses, the MMR rate at week 156 favored asciminib over bosutinib across all prognostic and demographic subgroups and regardless of the reason for discontinuation of the last TKI (resistance or intolerance; Figure 2).20,21 Consistent treatment benefit at week 156 was seen with asciminib regardless of the number of previous TKIs received (supplemental Figure 3).20,21 Among patients with a baseline BCR::ABL1IS >1% who discontinued ponatinib as their last previous TKI because of resistance (asciminib, n = 94; bosutinib, n = 54) or intolerance (asciminib, n = 46; bosutinib, n = 18), 3 of 12 (25.0%) and 3 of 5 (60.0%) achieved improved responses with asciminib compared with 0 of 12 (0%) and 3 of 5 (60.0%) with bosutinib, respectively (supplemental Table 3). Patients who received asciminib achieved BCR::ABL1IS ≤1% at week 156 after resistance to all previous second-generation TKI therapies, and the rates were higher with asciminib (38.2%) than with bosutinib (7.7%). Among patients with ≥2 previous TKIs and imatinib, the rate of BCR::ABL1IS ≤1% was higher among patients who discontinued their last TKI because of intolerance (asciminib: 37.5% vs bosutinib: 11.1%) or because of resistance (asciminib: 35.3% vs bosutinib: 10.0%; supplemental Table 4).
MMR and BCR::ABL1IS ≤1% at week 156. MMR (BCR::ABL1IS ≤0.1%). ∗Based on the full analysis set. In patients without MMR at week 156, the reasons were treatment failure (asciminib, n = 3; bosutinib, n = 5), missing assessments (asciminib, n = 3), and lost response (asciminib, n = 1). †The treatment difference, after adjusting for the baseline MCyR status, was 23.16% (95% CI, 13.14-33.18; 2-sided P < .001) at week 156. ‡Based on 142 of 157 patients (90.4%) who received asciminib and 72 of 76 (94.7%) who received bosutinib with BCR::ABL1IS >1% at baseline. §The treatment difference after adjusting for MCyR status at baseline was 32.34% (95% CI, 21.44-43.24; 2-sided P < .001) at week 156.
MMR and BCR::ABL1IS ≤1% at week 156. MMR (BCR::ABL1IS ≤0.1%). ∗Based on the full analysis set. In patients without MMR at week 156, the reasons were treatment failure (asciminib, n = 3; bosutinib, n = 5), missing assessments (asciminib, n = 3), and lost response (asciminib, n = 1). †The treatment difference, after adjusting for the baseline MCyR status, was 23.16% (95% CI, 13.14-33.18; 2-sided P < .001) at week 156. ‡Based on 142 of 157 patients (90.4%) who received asciminib and 72 of 76 (94.7%) who received bosutinib with BCR::ABL1IS >1% at baseline. §The treatment difference after adjusting for MCyR status at baseline was 32.34% (95% CI, 21.44-43.24; 2-sided P < .001) at week 156.
MMR rate difference (95% CI) between treatment at week 156 from subgroup analyses. ∗Patients with T315I and V299L BCR::ABL1 mutations or a nonevaluable mutation assessment were excluded from the subgroup analysis. CRF, case report form.
MMR rate difference (95% CI) between treatment at week 156 from subgroup analyses. ∗Patients with T315I and V299L BCR::ABL1 mutations or a nonevaluable mutation assessment were excluded from the subgroup analysis. CRF, case report form.
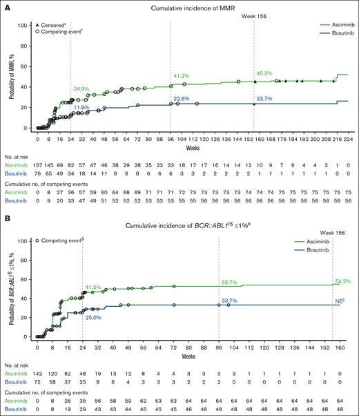
The cumulative incidence of MMR was 45.2% and 23.7% with asciminib and bosutinib, respectively, by week 156 (Figure 3A; supplemental Table 2). The rates increased over time, staying consistently higher with asciminib than with bosutinib.20,21 Among patients who achieved MMR, the median time to response was shorter with asciminib. The responses were durable, and most patients who achieved MMR with asciminib (72 of 74) and bosutinib (18 of 19) maintained MMR at the time of their last molecular assessment (supplemental Figure 4). By EOS, 2 patients who received asciminib and 1 who received bosutinib had loss of MMR by weeks 24 and 96, respectively. The probability of maintaining MMR for ≥120 weeks was 97.0% (95% CI, 88.6-99.2) with asciminib and 92.9% (95% CI, 59.1-99.0) with bosutinib.
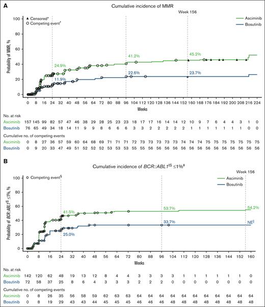
Cumulative incidences of molecular responses. Cumulative incidence of MMR (A) and BCR::ABL1IS ≤1% (B). ∗Nonresponders were censored at their last molecular assessment date. †Discontinuation from treatment for any reason without previous achievement of MMR was considered a competing event. ‡Based on 142 of 157 patients (90.4%) who received asciminib and 72 of 76 (94.7%) who received bosutinib with BCR::ABL1IS >1% at baseline. §Discontinuation from treatment for any reason without previous achievement of BCR::ABL1IS ≤1% was considered a competing event. ||The probability of BCR::ABL1IS ≤1% was not estimable from week 104 onward because no patients were eligible to achieve BCR::ABL1IS ≤1%. NE, not estimable.
Cumulative incidences of molecular responses. Cumulative incidence of MMR (A) and BCR::ABL1IS ≤1% (B). ∗Nonresponders were censored at their last molecular assessment date. †Discontinuation from treatment for any reason without previous achievement of MMR was considered a competing event. ‡Based on 142 of 157 patients (90.4%) who received asciminib and 72 of 76 (94.7%) who received bosutinib with BCR::ABL1IS >1% at baseline. §Discontinuation from treatment for any reason without previous achievement of BCR::ABL1IS ≤1% was considered a competing event. ||The probability of BCR::ABL1IS ≤1% was not estimable from week 104 onward because no patients were eligible to achieve BCR::ABL1IS ≤1%. NE, not estimable.
With longer follow-up, the rate of BCR::ABL1IS ≤1% at week 156 among patients with BCR::ABL1IS >1% at baseline remained higher with asciminib (43.0%) than with bosutinib (11.1%; Figure 1B; supplemental Table 2). After week 48, most patients who received asciminib had BCR::ABL1IS ≤1% (supplemental Figure 5), and a higher proportion who received bosutinib as opposed to asciminib had BCR::ABL1IS >1% to ≤10%.
By week 156, the cumulative incidence of BCR::ABL1IS ≤1% was 54.2% with asciminib and was not evaluable for bosutinib because no patients met the eligibility criteria for this response owing to discontinuation from the study treatment for any reason, including treatment failure (Figure 3B). The rates of BCR::ABL1IS ≤1% were durable in both treatment arms, and most patients who achieved BCR::ABL1IS ≤1% with asciminib (74 of 78) or bosutinib (23 of 24) maintained BCR::ABL1IS ≤1% at their last molecular assessment. The probability of maintaining BCR::ABL1IS ≤1% for ≥120 weeks was 94.7% with asciminib and 95.0% with bosutinib (supplemental Figure 6).
A higher proportion of patients who received asciminib as opposed to bosutinib demonstrated deeper levels of response. At week 156, deep molecular response rates (MR4, BCR::ABL1IS ≤0.01%; MR4.5, BCR::ABL1IS ≤0.0032%) remained higher with asciminib (19.1% and 8.9%, respectively) than with bosutinib (6.6% and 5.3%, respectively; supplemental Table 5).
By 3 years, the probability of experiencing treatment failure was 52.6% with asciminib and 89.5% with bosutinib, and the median time to treatment failure was 2.4 years with asciminib and 0.5 years with bosutinib (supplemental Figure 7). The estimated progression-free survival (PFS) rate was 85.2% (95% CI, 76.8-90.7) with asciminib and 84.0% (95% CI, 67.5-92.6) with bosutinib (supplemental Figure 8). The estimated overall survival rate at 3 years was 92.3% (95% CI, 86.6-95.7) with asciminib and 96.8% (95% CI, 87.9-99.2) with bosutinib. The PFS and overall survival rates in the bosutinib arm include patients who switched to asciminib (supplemental Figure 9).
BCR::ABL1 mutations
Of 17 patients in the asciminib arm with baseline mutations, 7 achieved MMR or better at EOS, consistent with the week 96 analysis (supplemental Table 6).21 Newly emerging mutations at the EOS cutoff, assessed using Sanger sequencing, occurred in 7.6% (n = 12) of patients with asciminib and 2.6% (n = 2) with bosutinib; 1 new mutation (A337T) occurred with asciminib since the week 96 cutoff and none with bosutinib.20,21 The mutations observed with asciminib were A337T (n = 4), M244V (n = 4), T315I (n = 1), E355G (n = 1), F359V (n = 1), and P465S (n = 1), and the mutations observed with bosutinib were T315I (n = 1) and V299L (n = 1). Among the patients who discontinued asciminib due to lack of efficacy or progressive disease at EOS, 16 (38.1%) had mutations at the EOS treatment assessment, consistent with the week 96 analysis (supplemental Tables 7 and 8).21
Safety
Regardless of the longer duration of exposure, fewer patients experienced all-grade AEs with asciminib than with bosutinib (91.0% vs 97.4%), as well as grade ≥3 AEs (59.6% vs 68.4%), similar to the results of the 96 week analysis.21 By EOS, the most common grade ≥3 AEs (≥10%) were thrombocytopenia (22.4%) and neutropenia (18.6%) with asciminib and neutropenia (14.5%), increased alanine aminotransferase level (14.5%), and diarrhea (10.5%) with bosutinib (Table 2). No new discontinuations due to grade ≥3 AEs with asciminib occurred since the week 96 cutoff (supplemental Table 9).21
Fewer patients experienced ≥1 dose interruption or reduction as a consequence of AEs with asciminib (43.6% and 23.7%, respectively) than with bosutinib (61.8% and 44.7%, respectively; supplemental Table 10). The most common AEs that led to dose interruptions were thrombocytopenia (18.6%) and neutropenia (17.9%) with asciminib and increased alanine aminotransferase level (13.2%) with bosutinib (supplemental Table 11).
Consistent with the week 96 analysis, the exposure-adjusted incidence rates (EAIRs) of special interest by EOS were lower with asciminib than with bosutinib for hematologic AEs (Table 3), and the EAIRs of nonhematologic AEs were mostly lower with asciminib than with bosutinib (supplemental Table 12).21 Most AEs initially occurred within the first 6 months of treatment. Nonhematologic first-ever AEs occurring by ≥18 months by EOS occurred at similar frequencies, except for a coincidentally increased frequency of COVID-19 since week 96. No first-ever thrombocytopenia or neutropenia AEs occurred after ≥18 months with first-ever all-grade anemia occurring infrequently after ≥18 months (1%; Figure 4).21 Most hematologic laboratory abnormalities were mild to moderate severity (grade 1 or 2). The frequencies of grade 3 or 4 hematologic and biochemical abnormalities by EOS were consistent with previous analyses (supplemental Table 13).20,21
All-grade AEs by time period with asciminib. ∗Includes thrombocytopenia and platelet count decreased. †Includes neutropenia and neutrophil count decreased. ‡Includes anemia, hemoglobin decreased, and macrocytic anemia. §A patient with multiple occurrences of an AE is counted only once in that time period. Percentages were rounded to the nearest whole number. The denominator for incidence is the number of patients who were ongoing at the beginning of each time period who have not yet experienced the event. The denominator for prevalence is the number of patients who were ongoing at the beginning of each time period. ALT, alanine aminotransferase; AST, aspartate aminotransferase.
All-grade AEs by time period with asciminib. ∗Includes thrombocytopenia and platelet count decreased. †Includes neutropenia and neutrophil count decreased. ‡Includes anemia, hemoglobin decreased, and macrocytic anemia. §A patient with multiple occurrences of an AE is counted only once in that time period. Percentages were rounded to the nearest whole number. The denominator for incidence is the number of patients who were ongoing at the beginning of each time period who have not yet experienced the event. The denominator for prevalence is the number of patients who were ongoing at the beginning of each time period. ALT, alanine aminotransferase; AST, aspartate aminotransferase.
Since week 96, 3 new on-treatment deaths occurred with asciminib, and none occurred with bosutinib. New on-treatment deaths with asciminib, per investigator assessment, were due to cardiac failure (n = 1, unrelated to study drug), a cardiac disorder, which included heart block and arrhythmia (n = 1, unrelated to study drug), and an unknown cause (n = 1, related to study drug; supplemental Table 14). Since the week 96 cutoff, 9 additional deaths occurred during the survival follow-up (defined as starting at day 31 after the last administration of any study treatment), with 6 among those on asciminib and 3 among those with bosutinib.21 The causes were CML (asciminib, n = 3; bosutinib, n = 1), hemorrhagic stroke (asciminib, n = 1), multiorgan dysfunction syndrome (asciminib, n = 1), COVID-19 (asciminib, n = 1; bosutinib, n = 1), and respiratory distress (bosutinib, n = 1).
Since the week 96 analysis, no new patients experienced AOEs with asciminib or bosutinib; the frequency of AOEs was 5.1% (n = 8) with asciminib and 1.3% (n = 1) with bosutinib (supplemental Table 15). The EAIR of AOEs (per 100 patient-years) with asciminib was 2.2 in the EOS analysis and 3.0 in the week 96 analysis, likely because of prolonged exposure.21 The EAIR of AOEs (per 100 patient-years) was 1.2 with bosutinib.
Healthcare resource utilization was 32.5% with asciminib and 44.7% with bosutinib; fewer hospitalizations (20.4% vs 25.0%), emergency room visits (2.5% vs 5.3%), and urgent care visits (0.6% vs 5.3%) occurred with asciminib than with bosutinib (supplemental Table 16).
Results in patients who switched to asciminib
Of the 28 patients who discontinued bosutinib because of a lack of efficacy, 25 switched to asciminib. At switch, patients had received on-treatment bosutinib for 194 to 1565 days, and 96% of patients had BCR::ABL1IS >10% (supplemental Figures 10 and 11). As these patients had treatment failure with bosutinib after 2 previous TKIs, most patients who switched to asciminib were heavily pretreated with 84% (n = 21) having received ≥4 previous TKIs (including 40% who received bosutinib as the study treatment). At EOS, 68% of patients discontinued treatment, primarily due to lack of efficacy (56%; supplemental Table 17). The median (range) duration of exposure to asciminib among patients who switched to asciminib was 44 (10-182) weeks.
Efficacy in patients who switched to asciminib
A total of 25 patients switched to receive asciminib. The BCR::ABL1IS levels decreased over time with asciminib; at and by week 48 following the switch, 24% and 36% of patients, respectively, achieved BCR::ABL1IS ≤10%, whereas 8% and 8%, respectively, achieved BCR::ABL1IS ≤1% (supplemental Figure 11). No patients achieved MMR at or by week 48 following the switch.
By EOS after the switch, the cumulative rates of BCR::ABL1IS ≤1% and MMR were 12.0% and 8.0%, respectively. Patients maintained or deepened their response by EOS; none lost their best response achieved with asciminib.
BCR::ABL1 mutations among patients who switched to asciminib
Among the patients who switched to asciminib, 5 had mutations before switching, including 1 incidence each of F317L, V299L, and E255V and 2 incidences of M244V, and 7 had newly emerged mutations after switching, including V299L/T315I, T315I, E255V, F317L, K222E, M244V, and P465R (n = 1 each). The best molecular response achieved in patients with newly emerged mutations was BCR::ABL1IS >1% to ≤10% (supplemental Table 18).
Safety in patients who switched to asciminib
All-grade and grade ≥3 treatment-related AEs occurred in 64% and 40% of patients who switched to asciminib, respectively, similar to what was observed in the main study population (supplemental Figure 12). The most common AEs in patients who switched to asciminib were neutropenia and thrombocytopenia (supplemental Table 19).
AEs that led to treatment discontinuation occurred in 2 patients (8.0%) who switched to asciminib, including secondary Philadelphia chromosome–negative acute myeloid leukemia and thrombocytopenia (n = 1; 4.0% each). All-grade and grade ≥3 AEs that led to dose adjustment or interruption occurred in 52% and 40% of patients who switched to asciminib, respectively, similar to the percentages in the main study population (supplemental Figure 12).
Discussion
With nearly 4 years of follow-up, asciminib demonstrated sustained superior efficacy over bosutinib in patients with CML-CP who were treated with ≥2 TKIs. In addition, asciminib continued to demonstrate consistently favorable safety and tolerability. The statistically significant difference in the MMR rates between the 2 arms remained consistently higher over time (21.7%; 95% CI, 10.53-32.95; 2-sided P = .001 at week 96; 23.2%; 95% CI, 13.14-33.18; 2-sided P = .001 at week 156).21
As with previous analyses from ASCEMBL, the MMR and BCR::ABL1IS ≤1% rates were highly durable with asciminib and were maintained in most patients who achieved them.20,21 Consistent MMR benefit in favor of asciminib was seen across all major prognostic and demographic subgroups at week 156, regardless of the number of previous TKIs,8,20,21 thus establishing asciminib as a favorable treatment option in patients with ≥2 previous TKIs who often have limited treatment options, higher rates of resistance, and poorer outcomes.8
The MMR and BCR::ABL1IS ≤1% rates were lower at week 156 than at week 96 in both treatment arms but remained relatively stable with asciminib and decreased slightly with bosutinib beyond week 96.21 Diminished rates were due to missing assessments (n = 3) and loss of response (n = 1) with asciminib and primarily due to treatment failure (n = 5) with bosutinib. One patient without MMR at week 96 in each arm achieved MMR at week 156. Of patients with previous ponatinib treatment who discontinued due to resistance, 3 and 0 achieved BCR::ABL1IS ≤1% with asciminib and bosutinib, respectively. Results from ASCEMBL, the phase 1 monotherapy trial, and a real-world evidence study showed that asciminib is a potential treatment option for patients with previous ponatinib treatment with 25.0%, 47.6%, and 35.3% of patients, respectively, achieving BCR::ABL1IS ≤1%.22,25
Higher MMR rates among patients who received asciminib may predict longer-term survival rates.3 At the time of the analysis, the survival rates were marginally lower with asciminib than with bosutinib, which may be because of confounding factors, including patients who switched from bosutinib to asciminib being counted in the bosutinib arm, patients who discontinued bosutinib because of tolerability or disease progression not being followed up in the survival phase, and patients who completed treatment with bosutinib who may have proceeded to other treatment options.
Patients with ≥2 previous TKIs have concerns for disease progression, and treatment-free remission is not a primary goal.3,26 However, they may have the potential to be eligible for treatment-free remission with asciminib because of the consistently higher deep molecular response rates when compared with bosutinib.20,21
No additional patients with newly emerging mutations were observed since the week 96 analysis in those who discontinued because of a lack of efficacy or disease progression.20 Among patients who discontinued treatment due to lack of efficacy or disease progression, ∼60% and 70% who received asciminib and bosutinib, respectively, had no mutations detected by EOS, suggesting BCR::ABL1-independent mechanisms for poor response. This finding is consistent with literature that demonstrated that BCR::ABL1 mutations are present in 30% to 60% of resistant patients.27 No new conclusions can be drawn regarding the impact of BCR::ABL1 mutations on the efficacy of asciminib because of the small sample size and diversity of mutations in ASCEMBL; further study is ongoing.
The median duration of exposure to asciminib increased since the week 96 analysis from 23.7 to 35.9 months.21 Favorable safety and tolerability of asciminib when compared with bosutinib remained consistent in the primary and key secondary analyses.20,21 With nearly 4 years of safety data from ASCEMBL and the previously reported safety results from the phase 1 study with a median duration of exposure of nearly 6 years, the safety profile of asciminib is well established.28
Ponatinib is approved for the treatment of patients with CML-CP with ≥2 previous TKIs and has been explored in the Ponatinib Ph+ ALL and CML Evaluation (PACE) and optimizing pPonatinib treatment in CP-CML(OPTIC) trials (median follow-up, 56.8 months and 60.6-63.5 months, respectively).13,29,30 The MMR rate was 33.8% in ASCEMBL, which is comparable with that in PACE (40%) and OPTIC (24%-45%).13,29 The PFS rates were 85.2%, 53%, and 63% to 73%, respectively, in ASCEMBL, PACE, and OPTIC. These findings suggest that asciminib may offer patients a comparably efficacious treatment option and a higher chance of PFS when compared with ponatinib.13,29
Regardless of the longer exposure duration, asciminib demonstrated lower rates of AEs that led to discontinuation and dose adjustment.20,21 The higher rate of discontinuations with bosutinib are likely because of intolerance of the 500 mg dose. Thrombocytopenia and neutropenia were the most commonly reported AEs with asciminib but occurred at lower EAIRs when compared with bosutinib. By EOS, the rates of thrombocytopenia (3.2%) and neutropenia (2.6%) that led to discontinuation of asciminib were consistent with the week 96 analysis, suggesting continued manageability of these events with longer exposure.21 Laboratory abnormalities with asciminib and bosutinib were consistent with previous analyses and known safety profiles of these drugs.20,21,31,32
Most AEs occurred for the first time within 6 months of initiating asciminib, and the frequency of new AEs was low thereafter. The risk of AOEs with asciminib did not increase with longer exposure, and the EAIRs decreased from the primary analysis.20,21 With longer follow-up, no new or worsening AEs were observed with asciminib, and patients required a lower frequency of healthcare resource utilization.
Patients who experienced treatment failure with bosutinib could switch to asciminib after week 24. Most (96%) had BCR::ABL1IS >10% at baseline before the switch, and 84% had received ≥4 previous TKIs. Although responses were limited, the BCR::ABL1IS levels decreased over time, and the safety profile was consistent with that in the main study population.
Five of 25 patients who switched to asciminib had mutations before switching; 7 of 25 developed new mutations after switching. Most emergent mutations detected by week 48 are not known to impact the myristoyl pocket,21,33 suggesting that non-BCR::ABL–mediated resistance mechanisms may be the main driver of failure to achieve MMR after the switch. Responses in patients who switched to asciminib were poor, possibly due to heavy pretreatment, higher BCR::ABL1IS baseline levels,34 and/or delay in treatment with asciminib. Such findings suggest that resistance mechanisms should be further explored and that incorporating asciminib earlier, before other TKIs, may improve responses.
In conclusion, the ASCEMBL EOS results reflect the clinical benefit of asciminib, with continued superior efficacy over bosutinib and a favorable tolerability and safety profile enduring over nearly 4 years of follow-up. The maintenance of molecular responses and absence of new safety signals with longer follow-up strongly support asciminib as being able to satisfy the need for agents that combine durable efficacy and long-lasting safety in patients after ≥2 previous TKIs. These results substantiate asciminib as standard of care in patients with resistance and/or intolerance after previous TKIs and support continued development of asciminib across the CML treatment paradigm.
Acknowledgments
Medical writing support was provided by Leah Maharaj and Rohini Roy of Nucleus Global, Inc, and was funded by Novartis Pharma AG. This manuscript was developed in accordance with the Good Publication Practice (2022) guidelines. Authors had full control of the content and made the final decision on all aspects of this publication.
Authorship
Contribution: All authors were involved in the acquisition, analysis, and interpretation of data; contributed to writing and reviewing the manuscript; and approved the final version.
Conflict-of-interest disclosure: A.H. received institutional research support from Novartis, Bristol Myers Squibb, Incyte, and Pfizer; and personal fees from Novartis and Incyte. D.R. received personal fees from Novartis, Pfizer, and Incyte. C.B. received grants from Novartis during the conduct of the study. Y.M. received honoraria from Bristol Myers Squibb, Novartis, Pfizer, and Astellas. J.E.C. received grants and consulting fees from Novartis and Pfizer; and grants from Bristol Myers Squibb. T.P.H. received grants and honoraria for serving on advisory boards and for symposia from Novartis and grants from Bristol Myers Squibb. J.F.A. received honoraria from Incyte and Paladin; received research funding from Incyte; received honoraria for lecturing from Novartis, Pfizer, and R-Pharm; and is an National Institute for Health and Care Research (NIHR) emeritus senior investigator and acknowledges the support of the Imperial NIHR Biomedical Research Centre. E.L. received grants from Novartis; and personal fees and nonfinancial support from Novartis, Pfizer, and Bristol Myers Squibb. S.V. received personal fees from Novartis, AbbVie, Janssen, Sanofi, BIOCAD, Takeda, and AstraZeneca; and nonfinancial support from Pfizer, Novartis, AbbVie, Janssen, Sanofi, and BIOCAD. D.-W.K. received grants from Novartis, Bristol Myers Squibb, Pfizer, ILYANG, and Takeda. A.A. received honoraria from Novartis and Takeda. P.l.C. received speaker’s honoraria from Novartis, Incyte, Pfizer, and Bristol Myers Squibb. K.S. received research funding and honoraria for serving on advisory boards from Novartis. D.D.H.K. received grants, honoraria, and consulting fees from Novartis; grants from Bristol Myers Squibb; and honoraria from Pfizer and Paladin. S.S. received honoraria, grants, and personal fees from Novartis; and grants and personal fees from Bristol Myers Squibb and Incyte. L.C. received honoraria for advisory boards from Otsuka and Novartis; consultancy fees from Keros Therapeutics; and honoraria from Otsuka, Novartis, and Keros Therapeutics. V.G.-G. received grants, nonfinancial support, and honoraria from Novartis, Pfizer, Bristol Myers Squibb, and Incyte. S.K., N.E., and V.D. report being employees of Novartis. M.J.M. reports receiving personal fees from Bristol Myers Squibb, Takeda, and Pfizer. The remaining authors declare no competing financial interests.
Correspondence: Michael J. Mauro, Leukemia Service, Memorial Sloan Kettering Cancer Center, 1275 York Ave, Box 489, New York, NY 10065; email: maurom@mskcc.org.
References
Author notes
Presented virtually in poster form at the 65th Annual Meeting & Exposition of the American Society of Hematology, San Diego, CA, 9 to 12 December 2023.
Novartis is committed to sharing access to patient-level data and supporting clinical documents from eligible clinical trials with qualified external researchers upon request. These requests are reviewed and approved by an independent review panel based on scientific merit. All data provided are anonymized to respect the privacy of patients who have participated in the trial consistent with applicable laws and regulations. The data sets generated and/or analyzed during the current trial are available according to the criteria and process described at www.clinicalstudydatarequest.com.
The full-text version of this article contains a data supplement.
 https://orcid.org/0000-0002-2251-4032
  https://orcid.org/0000-0002-2251-4032
        




 
                



