We recently observed a clonal expansion of CD3−CD4+ T cells secreting Th2-type cytokines in patients presenting chronic hypereosinophilia. As clonal T cells isolated from such patients did not spontaneously secrete cytokines in vitro, we reasoned that costimulatory signals delivered by antigen-presenting cells might be required to induce their full activation. To address this question, we investigated in two such patients the responses of CD3−CD4+ T cells to dendritic cells (DC). DC elicited proliferation and production of interleukin-5 (IL-5) and IL-13 by clonal cells from patient 1 and upregulated their expression of CD25 (IL-2R-). These effects were abolished when blocking monoclonal antibodies (MoAbs) against IL-2R- and IL-2 were added to cocultures, indicating critical involvement of an autocrine IL-2/IL-2R pathway. Cells from patient 2 were stimulated by DC to produce Th2 cytokines only when rIL-2 or rIL-15 was added to cocultures. In both patients, addition of inhibitory MoAbs against B7-1/B7-2 or CD2 to cocultures resulted in dramatic reduction of cytokine production and inhibited CD25 upregulation. Thus, TCR/CD3-independent activation of clonal Th2 cells by DC is an IL-2–dependent process, which requires signaling through CD2 and CD28.
THE IDIOPATHIC hypereosinophilic syndrome (HES) is defined as blood eosinophilia of unknown origin exceeding 1,500 cells/μL and persisting for over 6 consecutive months. Organ damage and dysfunction in HES is due to infiltration of tissues by eosinophils followed by local release of their toxic content.1-3 The different modes of presentation and disease courses already observed in initial reports suggest that HES represents a heterogenous group of disorders. Furthermore, it is well established that a proportion of patients with HES eventually develop a malignant hematologic disorder after the initial diagnosis of HES, including chronic or acute myeloid leukemia, granulocytic sarcoma, acute lymphoblastic leukemia, and T-cell lymphoma.2 Recent studies have shed some light on the nature of the primary disorders leading to expansion of the eosinophilic lineage observed in HES patients, explaining the clinical heterogeneity of this disease. On one hand, demonstration of the clonal nature of eosinophils in some HES patients has provided clear evidence that a primitive disorder of the eosinophilic lineage, reminiscent of other myeloproliferative syndromes, can account for hypereosinophilia.4-7 On the other hand, a subgroup of patients with chronic hypereosinophilia presenting a monoclonal expansion of T cells has been identified.8-12 The profile of cytokines produced by the clonal T cells suggests their direct involvement in the pathogenesis of hypereosinophilia. Indeed, we and others have demonstrated that these cells consistently produce high levels of interleukin-5 (IL-5), a potent eosinophilopoietic cytokine that also contributes to peripheral activation of eosinophils and promotes their survival through inhibition of apoptosis.13-16 In some cases, the clonal T cells also secrete IL-4,8-10 which may favor tissue homing of eosinophils through upregulation of vascular cell adhesion molecule-1 (VCAM-1) expression on endothelial cells.17
In our own series of hypereosinophilic patients with an underlying T-cell disorder, the clonal CD4+ T cells were first detected because of absent expression of the T-cell receptor (TCR)/CD3 complex on their membrane.8,9 On in vitro activation by phorbol 12-myristate 13-acetate (PMA) and A23187 calcium ionophore, the CD3−CD4+ cells displayed a Th2 phenotype,18 as indicated by their inability to produce interferon-γ (IFN-γ) and their synthesis of high levels of IL-4, IL-5, and IL-13, together with variable amounts of IL-2.19Although the chronic hypereosinophilia observed in these patients and the clonality of the T cells suggested their persistent activation and expansion in vivo, these cells were unable to produce cytokines or proliferate spontaneously in vitro, indicating that they remain dependent on exogenous activating factors. Because of their unique surface phenotype, these clonal T cells represent an ideal tool to investigate alternative activation pathways of Th2-type cells. In this study, we sought to determine whether costimulatory signals provided by antigen-presenting cells (APC) could lead to activation of the clonal Th2 cells in the absence of signaling through the TCR/CD3 complex. To this end, we cocultured highly purified CD3−CD4+ T cells from two hypereosinophilic patients with autologous or allogeneic dendritic cells (DC) in a series of mixed leukocyte cultures (MLC). We observed that DC did indeed stimulate CD3−CD4+cells to proliferate, to upregulate their expression of the IL-2R-α chain (CD25), and to produce Th2 cytokines. We then investigated the nature of the stimulatory signals delivered by DC, paying particular attention to B7/CD28 and lymphocyte function-associated antigen (LFA)-3/CD2 interactions. Finally, we also specified the role of an autocrine IL-2/IL-2R pathway in this model.
MATERIALS AND METHODS
Patients.
We recently evaluated seven patients fulfilling the diagnostic criteria of HES with blood eosinophil levels above 1,500/μL. In three of these patients, flow cytometric immunophenotyping of circulating leukocytes showed the existence of an abnormal CD3−CD4+ lymphocyte subset. Two of them were available for the present study. Patient 1 (P1) was a 20-year-old woman presenting with severe pruritis, eczema, and tenosynovitis of the right ankle. At presentation, circulating leukocyte count was 16,900/μL, including 8,923 eosinophils and 4,630 lymphocytes. CD4+ T cells represented 87% of total lymphocytes and were composed of 88% CD3−CD4+ cells (3,545 CD3−CD4+ cells per μL) and 12% CD3+CD4+ cells. Serum IgE and IgM levels were 340 U/mL (normal, <20) and 310 mg/dL (normal, 40 to 250), respectively, soluble CD25 level was 180 U/mL, and serum IL-5 was 10 pg/mL by enzyme-linked immunosorbent assay (ELISA) (Endogen, Woburn, MA). Five-year follow-up has been characterized by progressive increase in absolute count of the aberrant circulating population of helper T cells (reaching 4,800/μL) and persistence of marked hypereosinophilia (reaching 17,082/μL). Patient 2 (P2) was a 21-year-old woman also presenting with severe pruritis and eczema, as well as cyclic angioedema. Circulating leukocyte count was 14,800/μL, including 9,102 eosinophils and 3,419 lymphocytes. CD4+ T cells represented 87% of total lymphocytes and were composed of 83% CD3−CD4+ cells (2,469 CD3−CD4+ cells/μL) and 17% CD3+CD4+ cells. Serum IgE and IgM levels reached 15,640 U/mL and 1,253 mg/dL, respectively, soluble CD25 level was 175 U/mL and serum IL-5 was below detection threshold (2 pg/mL). The clinical and biological findings were consistent with the diagnosis of Gleich’s syndrome.20 Two-year follow-up has been characterized by good response to glucocorticoid treatment, as evidenced by normalization of eosinophil levels. Although the CD3−CD4+ cell population had decreased significantly (662/μL) over this period, tapering of steroid dosage was quickly followed by recurrence of hypereosinophilia and clinical manifestations. Neither patient presented clinical evidence of lymphoma, such as enlarged lymph nodes or hepatosplenomegaly. Bone marrow aspiration showed abundant eosinophil precursors and absence of blastic cells. P1 had received glucocorticoids and IFN-α, but was out of treatment for 7 months at the time of the study, while cells from P2 were collected before initiation of glucocorticoid therapy.
Cell purification.
Circulating leukocytes were obtained from both patients by cytapheresis, after informed consent, and from buffy coats of healthy blood donors. Peripheral blood mononuclear cells (PBMC) were isolated by density gradient centrifugation on Lymphoprep (Nycomed, Oslo, Norway) according to the manufacturer’s instructions. After washing with Hanks’ balanced salt solution (HBSS) (GIBCO, Life Technologies, Paisley, UK), PBMC were resuspended in cold-conservation medium composed of 80% RPMI 1640 (Bio Whittaker/Boehringer Ingelheim, Verviers, Belgium), 10% dimethyl sulfoxide (Sigma Chemical Co, St Louis, MO) and 10% heat-inactivated fetal calf serum (FCS) (Bio Whittaker/Boehringer Ingelheim). Cells were stored in liquid nitrogen until tested.
Purified CD3−CD4+ cells from patients and CD3+CD4+ cells from healthy subjects were obtained by negative selection. PBMC were thawed and treated with Lymphokwik T (One Lambda, Los Angeles, CA) according to the manufacturer’s instructions. The remaining cells were resuspended in culture medium (RPMI 1640 supplemented with 10% FCS and 40 μg/mL gentamicin (Schering-Plough, Kennelworth, NJ) at 10 × 106/mL, and incubated with mouse monoclonal antibodies (MoAb) against CD8, CD14, CD19, and CD56 (Becton Dickinson, Mountain View, CA), as well as against CD3 for patients, for 30 minutes at 4°C. After washing with HBSS, cells were resuspended in culture medium and incubated with sheep anti-mouse IgG-coated magnetic Dynabeads (Dynal, Oslo, Norway) for 45 minutes at 4°C. Coated cells were removed with a magnet, leaving purified CD3−CD4+ (patients) or CD3+CD4+ (healthy subjects) cells in suspension. No contaminating B cells, monocytes, or natural killer (NK) cells were detected. The CD3−CD4+ cell preparations contained less than 0.5% CD3-positive cells and more than 98.5% CD4-positive cells, as assessed by flow cytometry. The monoclonality of the purified CD3−CD4+ cells was established by Southern blotting and polymerase chain reaction (PCR) analysis for TCR genes (not shown).
Flow cytometry.
Flow cytometric analysis of surface phenotype was performed by two- and three-color immunofluorescence using fluorescein isothiocyanate (FITC)-, phycoerythrin (PE)-, and peridinin-chlorophyll-a-protein (PerCP)-conjugated MoAbs. Surface antigens of T cells were stained with MoAbs against TCR-α/β, CD3, CD4, CD8, CD7, CD27, CD25, CD2, CD28, CD80, CD40L, and CD45RO from Becton Dickinson and CD86 from Pharmingen (San Diego, CA). Surface antigens of DC were stained with MoAbs against HLA-DR, CD14, CD80 (Becton Dickinson), CD86 (Pharmingen), CD83 (Immunotech, Marseille, France), CD40 (Biosource, Camarillo, CA), CD1a (Dako, Glostrup, Denmark) and the corresponding isotype-matched irrelevant MoAbs. Data were collected on 10,000 viable cells using a FACScan flow cytometer (Becton Dickinson).
The percentage of apoptotic lymphocytes was determined by two methods. At the end of cell cultures, the CD3−CD4+cells were directly analyzed by flow cytometry. Apoptotic cells could be distinguished from surviving lymphocytes by their decreased forward scatter and increased side scatter. Secondly, cells from each culture condition were stained with FITC-conjugated Annexin-V (Pharmingen) and propidium iodide (PI) (Pharmingen) according to the manufacturer’s instructions, before fluorescence-activated cell sorting (FACS) analysis. Comparison of the two methods showed that all surviving cells according to forward and side scatter parameters were Annexin-V–negative and excluded PI, whereas the apoptotic cells were mostly positive for both markers with a minute proportion of Annexin-V–positive PI-negative cells.
Flow cytometry was also used for the detection of intracytoplasmic cytokine expression in lymphocyte subsets. To this end, total T cells (CD4+ and CD8+) were isolated from PBMC of both patients and healthy control subjects using the same procedure as described above, except that only MoAbs against CD14, CD19, and CD56 were used. These cells were incubated at 106/mL with Brefeldine A (Sigma Chemical Co) at 10 μg/mL, alone or combined with 50 ng/mL PMA (Sigma Chemical Co) and 0.1 μg/mL calcium ionophore A23187 (Calbiochem-Behring, San Diego, CA) for 6 hours in culture medium (37°C, 5% CO2). Surface antigens were stained on aliquots of 2 × 105 cells with FITC- or PE-conjugated anti-CD8 MoAb, and PerCP-conjugated anti-CD3 MoAb. Staining of CD8 was preferred to CD4 because of important downregulation of surface CD4 expression on T cells after in vitro stimulation. Cells were fixed with FACS Lysing Solution (Becton Dickinson) for 10 minutes at room temperature in the dark, washed, and then permeabilized with 0.5 mL FACS Permeabilizing Solution (Becton Dickinson) in the same conditions. Intracellular cytokines were stained with PE- or FITC-conjugated MoAbs against IL-2, IFN-γ, IL-4 (Becton Dickinson), and IL-5 (Pharmingen). Negative controls for cytokine expression were provided by unstimulated cells treated only with Brefeldine A and by intracellular staining with isotype-matched irrelevant PE- or FITC-conjugated MoAbs. Triple-stain flow cytometry permitted distinct analysis of cytokine expression in gated CD3+CD8− (equivalent to CD3+CD4+) and CD3−CD8− (equivalent to CD3−CD4+) cells.
Stimulation of CD4+ cells with mitogenic agents in vitro.
Purified CD3−CD4+ cells from patients or CD3+CD4+ cells from healthy subjects (5 × 105/mL) were stimulated using 1 ng/mL PMA alone or combined with either 0.1 μg/mL A23187 or 1 μg/mL anti-CD28 MoAb (clone CD28.2) (Immunotech). In addition, cells were also incubated in wells coated with the anti-CD3 MoAb OKT3 (Orthoclone OKT3, Cilag, Switzerland) in the presence of soluble anti-CD28 MoAb (1 μg/mL). All culture supernatants were harvested after 48 hours for measurement of cytokine concentrations.
Determination of cytokine levels in culture supernatants.
Commercial ELISA kits were used to determine concentrations of IL-12 and IL-13 (Biosource). Other cytokine concentrations were measured by two-site sandwich ELISA using antibodies from Genzyme for IL-2, Chromogenix (Mölndal, Sweden) for IFN-γ, Mabtech (Stockholm, Sweden) for IL-4, and Pharmingen for IL-5 and IL-10.
Generation of DC from PBMC.
PBMC were isolated from buffy coats obtained from healthy blood donors or from cytapheresis of P1. DC were generated by culturing plastic-adherent PBMC with 800 IU/mL recombinant granulocyte-macrophage colony-stimulating factor (rGM-CSF) (Leucomax) and 500 IU/mL rIL-4 (both kindly provided by Schering-Plough) in enriched culture medium (RPMI 1640 supplemented with 10% FCS, 2 mmol/L L-glutamine [GIBCO], 1% nonessential amino acids [GIBCO], 50 μmol/L 2-mercapto-ethanol [GIBCO], and 40 μg/mL gentamycin), as previously described by Romani et al.21 After 6 days, DC were harvested, washed, and incubated at 4 × 105/mL in the presence of 1 μg/mL LPS from Escherichia coli (strain 0128:B12) (Sigma, Bornem, Belgium) in 24-well flat-bottom culture plates for a further 24 hours. The resulting DC displayed a mature phenotype, as assessed by high levels of CD40, CD80, and CD86 expression, and positivity for surface CD83 by flow cytometry (not shown). For all MLCs, DC were irradiated using 3,000 rads.
MLCs.
All MLCs were performed in enriched culture medium. Purified CD3−CD4+ cells (2 × 105cells/well) obtained from both patients were cocultured with allogeneic (P1 and P2) or autologous (P1 only) DC (6.7 × 103cells/well) in 96-well sterile round-bottom microtiter plates, for 5 days, at 37°C and 5% CO2. In some experiments with P2 cells, rIL-2 (150 U/mL) or rIL-15 (16.7 ng/mL) (Genzyme) was added to the MLC. To determine the nature of the costimulatory molecules involved in activation of the CD3−CD4+cells during cocultures, blocking MoAbs against CD2 (IgG1 isotype), CD80 (IgM), CD86 (IgG2b) (10 μg/mL) (Pharmingen), or CD40 (IgG1) (100 ng/mL) (Genzyme) were added to successive MLCs. Isotype-matched irrelevant MoAbs were used as controls at the same concentrations. To further assess the role of B7/CD28 interactions, soluble CTLA4-Ig (Ancell, Bayport, MN) or control mouse IgG2a (10 μg/mL) was also added to MLCs. Finally, cocultures were performed in the presence of inhibitory concentrations (10 μg/mL) of an anti–IL-2R-α MoAb (Genzyme) alone or combined with an anti–IL-2 MoAb (Genzyme) or with corresponding isotype-matched irrelevant MoAbs (IgG2a and IgG1, respectively). After 5 days of MLC, proliferation of CD3−CD4+ cells was assessed by3H-thymidine uptake during the following 16 hours, culture supernatants were harvested for measurement of cytokine concentrations, and the remaining cells were resuspended in fresh medium to determine surface expression of CD3, CD4, and CD25, as well as the proportion of apoptotic cells by flow cytometry.
RESULTS
Phenotype and cytokine profile of clonal T cells from two patients with chronic hypereosinophilia.
Lymphocyte phenotyping showed a population of CD3−CD4+ lymphocytes in two patients (P1 and P2) with chronic hypereosinophilia. These aberrant cells, which did not express α/β or γ/δ TCR (not shown), represented 88% and 83% of total CD4+ lymphocytes in P1 and P2, respectively. As shown in Fig 1, the CD3-negative helper T cells from both patients expressed CD2 and CD28, but neither CD80 nor CD86 (not shown). Furthermore, they expressed the CD45RO isoform characteristic of memory T cells, while lacking CD40L, CD7, and CD27. Finally, the α chain of the IL-2 receptor (CD25) was absent on cells from P1, while it was weakly expressed on cells from P2 (Fig 1). Distribution of surface antigens on the CD3-positive helper T-cell population from P1 and P2 was similar to that of CD4+ T cells obtained from normal subjects.
Surface phenotype of clonal T cells from two hypereosinophilic patients. PBMC from two hypereosinophilic patients and from a healthy blood donor were stained with FITC-, PE-, or PerCP-conjugated MoAbs against CD4, CD3, CD2, CD28, CD45RO, CD25, CD7, and CD27 antigens. Flow cytometric determination of surface phenotype is shown after gating on CD4+ (healthy subject) or CD3−CD4+ (patients) lymphocytes. Data were obtained on more than 10,000 viable cells.
Surface phenotype of clonal T cells from two hypereosinophilic patients. PBMC from two hypereosinophilic patients and from a healthy blood donor were stained with FITC-, PE-, or PerCP-conjugated MoAbs against CD4, CD3, CD2, CD28, CD45RO, CD25, CD7, and CD27 antigens. Flow cytometric determination of surface phenotype is shown after gating on CD4+ (healthy subject) or CD3−CD4+ (patients) lymphocytes. Data were obtained on more than 10,000 viable cells.
The clonal nature of the CD3−CD4+ cell population from both patients was established by Southern blot and PCR analysis of the TCR β-chain and γ-chain genes, respectively (not shown). Cytogenetic analysis of initial blood samples from P1 at time of presentation showed a normal karyotype, but clonal T cells obtained for the present study displayed chromosomal abnormalities characterized by partial deletions of chromosomes 6 and 10. In contrast, circulating leukocytes obtained from P2 displayed a normal karyotype at the time of investigation.
The cytokine profile of the CD3−CD4+ cell population was first determined using flow cytometry after intracellular staining. In the absence of in vitro stimulation, no cytokines were detected. After 6 hours of incubation with PMA and A23187 ionophore, a clearly distinct cytokine profile was observed as compared with control CD3+CD4+ cells (Fig 2). Indeed, a significant proportion of the CD3−CD4+ cells expressed IL-4 (77% for P1, 69% for P2) and IL-5 (95% for P1, 69% for P2), whereas IFN-γ was virtually absent. Furthermore, most CD3−CD4+ cells produced IL-2 (82% for P1, 69% for P2). The cytokine profile of CD3+CD4+ cells from both patients was comparable to that of control CD4+ cells from normal subjects (percentage of CD3+CD4+ cells producing IL-2 was 30% and 31% in P1 and P2, respectively, for IFN-γ, 29% and 30%; IL-4, 3% and 6%, and IL-5, 3% and 5%).
Cytokine profile of clonal T cells from two hypereosinophilic patients. Total T cells (CD4+ and CD8+) were isolated from PBMC obtained from two hypereosinophilic patients and a healthy blood donor by negative selection. After a 6-hour culture (106 cells/mL) with Brefeldine A (10 μg/mL) in the absence or in the presence of PMA (50 ng/mL) and A23187 (0.1 μg/mL), cell membranes were stained with FITC- or PE-conjugated anti-CD8 and PerCP-conjugated anti-CD3 MoAbs. The T cells were fixed and permeabilized before staining cytokines with PE- or FITC-conjugated MoAbs against IL-2, IFN-γ, IL-4, or IL-5. Intracytoplasmic expression of cytokines was analyzed by flow cytometry after gating on CD3−CD8− (equivalent to CD3−CD4+) lymphocytes for patients and CD3+CD8− (equivalent to CD3+CD4+) lymphocytes for the control subject. Filled histograms represent staining for cytokines in cells that have been stimulated with PMA and A23187. Negative controls (solid lines) are provided by unstimulated cells that have been incubated in the presence of Brefeldine A alone.
Cytokine profile of clonal T cells from two hypereosinophilic patients. Total T cells (CD4+ and CD8+) were isolated from PBMC obtained from two hypereosinophilic patients and a healthy blood donor by negative selection. After a 6-hour culture (106 cells/mL) with Brefeldine A (10 μg/mL) in the absence or in the presence of PMA (50 ng/mL) and A23187 (0.1 μg/mL), cell membranes were stained with FITC- or PE-conjugated anti-CD8 and PerCP-conjugated anti-CD3 MoAbs. The T cells were fixed and permeabilized before staining cytokines with PE- or FITC-conjugated MoAbs against IL-2, IFN-γ, IL-4, or IL-5. Intracytoplasmic expression of cytokines was analyzed by flow cytometry after gating on CD3−CD8− (equivalent to CD3−CD4+) lymphocytes for patients and CD3+CD8− (equivalent to CD3+CD4+) lymphocytes for the control subject. Filled histograms represent staining for cytokines in cells that have been stimulated with PMA and A23187. Negative controls (solid lines) are provided by unstimulated cells that have been incubated in the presence of Brefeldine A alone.
Cytokine synthesis by clonal T cells cultured with mitogens.
As shown in Table 1, the Th2 cytokine profile of the clonal T cells was confirmed by measurement of IL-5, IL-13, and IFN-γ concentrations in supernatants of purified CD3−CD4+ lymphocytes incubated for 48 hours with PMA and either A23187 ionophore or anti-CD28 MoAb. IL-4 was also produced, although at lower levels than IL-13, especially after stimulation with PMA and anti-CD28 MoAb. In the following experiments, Th2 activities were therefore assessed by IL-5 and IL-13 measurements. In addition to IL-4, IL-5, and IL-13, CD3−CD4+ cells from both patients produced high levels of IL-2 in these conditions. As expected by their phenotype, these clonal T cells did not respond to immobilized anti-CD3 MoAb alone or combined with soluble anti-CD28 MoAb, neither in terms of cytokine secretion (levels of IL-5 and IL-13 in 48-hour culture supernatants remained below detection threshold levels for both patients) nor in terms of proliferation (3H-thymidine incorporation after 48 hours of culture: 46 and 128 cpm for patients 1 and 2, respectively, versus 185,348 cpm for normal CD4+ T cells purified from a healthy donor).
In Vitro Activation of Clonal T Cells From Two Patients With Chronic Hypereosinophilia
| Culture Conditions* . | IL-2 (pg/mL) . | IL-4 (pg/mL) . | IL-5 (pg/mL) . | IL-13 (pg/mL) . | IFN-γ (U/mL) . | ||||||||||
|---|---|---|---|---|---|---|---|---|---|---|---|---|---|---|---|
| P1 . | P2 . | Control . | P1 . | P2 . | Control . | P1 . | P2 . | Control . | P1 . | P2 . | Control . | P1 . | P2 . | Control . | |
| None | <20 | <20 | <20 | <20 | <20 | <20 | <20 | <20 | <20 | 53 | <10 | <10 | <2 | <2 | <2 |
| PMA alone | 1,800 | <20 | <20 | <20 | <20 | <20 | 91 | 165 | <20 | 247 | 630 | <10 | <2 | <2 | <2 |
| PMA + A23187 | 338,500 | 309,000 | 366,000 | 3,184 | 10,350 | 114 | 34,250 | 18,900 | 119 | 16,050 | 14,750 | 21 | 160 | 4 | 4,700 |
| PMA + anti-CD28 | 33,500 | 98,000 | 52,000 | 45 | 49 | <20 | 8,400 | 12,950 | 802 | 14,050 | 2,900 | 195 | <2 | 4 | 89 |
| Culture Conditions* . | IL-2 (pg/mL) . | IL-4 (pg/mL) . | IL-5 (pg/mL) . | IL-13 (pg/mL) . | IFN-γ (U/mL) . | ||||||||||
|---|---|---|---|---|---|---|---|---|---|---|---|---|---|---|---|
| P1 . | P2 . | Control . | P1 . | P2 . | Control . | P1 . | P2 . | Control . | P1 . | P2 . | Control . | P1 . | P2 . | Control . | |
| None | <20 | <20 | <20 | <20 | <20 | <20 | <20 | <20 | <20 | 53 | <10 | <10 | <2 | <2 | <2 |
| PMA alone | 1,800 | <20 | <20 | <20 | <20 | <20 | 91 | 165 | <20 | 247 | 630 | <10 | <2 | <2 | <2 |
| PMA + A23187 | 338,500 | 309,000 | 366,000 | 3,184 | 10,350 | 114 | 34,250 | 18,900 | 119 | 16,050 | 14,750 | 21 | 160 | 4 | 4,700 |
| PMA + anti-CD28 | 33,500 | 98,000 | 52,000 | 45 | 49 | <20 | 8,400 | 12,950 | 802 | 14,050 | 2,900 | 195 | <2 | 4 | 89 |
Purified CD3−CD4+ cells from patient 1 (P1) and patient 2 (P2) or CD3+CD4+ cells from a healthy blood donor (control) (5 × 105 cells/mL) were stimulated with PMA (1 ng/mL) alone, or PMA + A23187 calcium ionophore (0.1 μg/mL), or PMA + anti-CD28 MoAb (1 μg/mL). After 48 hours, culture supernatants were harvested and cytokine concentrations were determined by ELISA. Data are from 1 of 3 experiments, which gave similar results.
DC induce cytokine synthesis by clonal T cells.
We sought to determine whether signals provided by DC would lead to activation of clonal T cells despite absence of signaling through the TCR/CD3 complex. Coculture of purified CD3−CD4+ cells from patient 1 for 5 days with autologous or allogeneic DC indeed resulted in the induction of IL-5 and IL-13 synthesis, whereas IFN-γ remained below detection levels in corresponding supernatants (Table2). Only low levels of IL-2 (<700 pg/mL) were measured in these conditions, presumably because of reuptake by the clonal T cells during the 5-day culture period (see below). Furthermore, the clonal cells displayed marked proliferation during T-DC cocultures (Table 2). As similar results were obtained with autologous versus allogeneic DC in these experiments (which was consistent with the lack of TCR/CD3 expression by the clonal T cells), allogeneic DC were used in further experiments for the sake of greater availability.
Activation of Clonal T Cells From Patient 1 With Autologous or Allogeneic DC
| DC Type* . | 3H-Thymidine Uptake (cpm) . | IL-5 (pg/mL) . | IL-13 (pg/mL) . | IFN-γ (U/mL) . | ||||
|---|---|---|---|---|---|---|---|---|
| Exp 1 . | Exp 2 . | Exp 1 . | Exp 2 . | Exp 1 . | Exp 2 . | Exp 1 . | Exp 2 . | |
| None | 49 | 70 | 57 | <20 | <10 | <10 | <2 | <2 |
| Autologous DC | 27,432 | 17,638 | 7,450 | >5,000 | 12,150 | 3,698 | <2 | <2 |
| Allogeneic DC | 21,146 | 37,364 | 4,150 | 1,621 | 4,900 | 4,966 | 3 | <2 |
| DC Type* . | 3H-Thymidine Uptake (cpm) . | IL-5 (pg/mL) . | IL-13 (pg/mL) . | IFN-γ (U/mL) . | ||||
|---|---|---|---|---|---|---|---|---|
| Exp 1 . | Exp 2 . | Exp 1 . | Exp 2 . | Exp 1 . | Exp 2 . | Exp 1 . | Exp 2 . | |
| None | 49 | 70 | 57 | <20 | <10 | <10 | <2 | <2 |
| Autologous DC | 27,432 | 17,638 | 7,450 | >5,000 | 12,150 | 3,698 | <2 | <2 |
| Allogeneic DC | 21,146 | 37,364 | 4,150 | 1,621 | 4,900 | 4,966 | 3 | <2 |
Mixed leukocyte cultures were prepared between purified CD3−CD4+ cells and mature irradiated DC generated from either autologous or allogeneic PBMC at a DC:T-cell ratio of 1:30. Culture supernatants were harvested after 5 days for cytokine measurements. T-cell proliferation was assessed by measuring3H-thymidine incorporation during the following 16 hours.
In contrast to patient 1, clonal T cells from patient 2 were not stimulated by DC to secrete cytokines (Table 3). In parallel, we observed a higher degree of apoptosis among P2 clonal cells: after 5-day coculture with DC, mean percentage of apoptotic T cells was 59.1% ± 2.63% in patient 2 (mean ± standard error of mean [SEM], n = 8) versus 36.1% ± 2.79% in patient 1 (n = 9, P = .0003 using Mann-Whitney’s test). We reasoned that addition of a T-cell survival-promoting factor such as rIL-2 or rIL-15 could influence both their survival and their responses to DC. As shown in Table 3, incubation of clonal P2 cells alone with a high concentration of rIL-2 resulted in enhanced survival and proliferation, but induced the secretion of only low levels of cytokines. Indeed, the presence of both rIL-2 and DC in cocultures was required to induce secretion of high amounts of IL-5 and IL-13 by clonal P2 cells.
Activation of Clonal T Cells From Patient 2 by DC Requires Addition of rIL-2
| MLC Conditions3-150 . | Apoptotic Cells (%) . | 3H-Thymidine Uptake (cpm) . | IL-5 (pg/mL) . | IL-13 (pg/mL) . | IFN-γ (U/mL) . |
|---|---|---|---|---|---|
| T cells | 54 | 47 | <20 | <10 | <2 |
| T cells + DC | 51 | 143 | <20 | <10 | <2 |
| T cells + rIL-2 | 28 | 22,886 | 502 | 427 | <2 |
| T cells + DC + rIL-2 | 24 | 35,010 | 32,520 | 11,100 | <2 |
| MLC Conditions3-150 . | Apoptotic Cells (%) . | 3H-Thymidine Uptake (cpm) . | IL-5 (pg/mL) . | IL-13 (pg/mL) . | IFN-γ (U/mL) . |
|---|---|---|---|---|---|
| T cells | 54 | 47 | <20 | <10 | <2 |
| T cells + DC | 51 | 143 | <20 | <10 | <2 |
| T cells + rIL-2 | 28 | 22,886 | 502 | 427 | <2 |
| T cells + DC + rIL-2 | 24 | 35,010 | 32,520 | 11,100 | <2 |
Purified CD3−CD4+ cells from patient 2 were cocultured with mature irradiated DC generated from allogeneic PBMC (DC:T-cell ratio 1:30) in absence or in the presence of rIL-2 (150 U/mL). After 5 days, the percentage of apoptotic cells was determined by flow cytometry using annexin V and PI staining, T-cell proliferation was determined by 3H-thymidine uptake, and cytokine concentrations were measured in supernatants by ELISA. Data are from 1 of 8 experiments, which gave similar results.
Activation signals delivered by DC involve B7/CD28 and CD2 pathways.
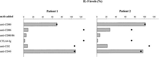
To investigate the nature of the activation signals delivered by DC to clonal T cells, blocking MoAbs to B7-1, B7-2, CD2, or CD40 were added to cocultures of purified CD3−CD4+ T cells with DC. For the above-mentioned reason, rIL-2 was added to cultures performed with P2 cells. Addition of anti-CD80 MoAb to T-DC cocultures had no significant effect on IL-5 and IL-13 production. In contrast, addition of anti-CD86 MoAb strongly inhibited IL-5 (Fig 3) and IL-13 production by cells of both P1 and P2 (mean percentages of inhibition in two independent experiments: 77.5% and 83.4% for IL-5, and 88.1% and 80% for IL-13, in P1 and P2, respectively). Blocking both CD86 and CD80 almost completely abolished cytokine production by the clonal T cells (mean percentages of inhibition in two independent experiments: 97.1% and 94.25% for IL-5, and 99.45% and 95.7% for IL-13, in P1 and P2), and this was confirmed using soluble CTLA4-Ig in parallel experiments. Thus, signaling through CD28 appears to play a crucial role in activation of the clonal T cells. Costimulation through CD2 also contributes to this process, as indicated by the major reduction of IL-5 and IL-13 production on addition of anti-CD2 MoAb to T-DC cocultures (mean percentages of inhibition in three independent experiments: 85.6% and 80% for IL-5 and 95.1% and 67% for IL-13 in P1 and P2, respectively). Furthermore, in cocultures prepared with P1 cells, proliferation of clonal cells was inhibited by addition of anti-CD86 MoAb alone (mean percentage of inhibition in two independent experiments: 73.5%) or combined with anti-CD80 MoAb (mean percentage of inhibition in two independent experiments: 99.4%) as well as by addition of anti-CD2 MoAb (mean percentage of inhibition in three independent experiments: 99.5%). In cocultures prepared with P2 cells in which a high dose of exogenous IL-2 sufficient to drive T-cell proliferation was added, such inhibition was not observed. The specificity of these findings was ascertained by control experiments using irrelevant isotype-matched MoAbs. Moreover, the addition of a blocking anti-CD40 MoAb had no significant effect in this system.
Synthesis of Th2 cytokines by clonal T cells requires signaling through CD28 and CD2 molecules. Purified CD3−CD4+ cells from hypereosinophilic patients were cocultured with mature allogeneic irradiated DC in the absence (patient 1) or in the presence (patient 2) of 150 U/mL rIL-2 at a DC:T-cell ratio of 1:30. In successive experiments, CTLA4-Ig (10 μg/mL) or blocking MoAbs against B7-1 (CD80), B7-2 (CD86), CD2 (all used at 10 μg/mL), CD40 (100 ng/mL), or isotypic controls at the same concentrations were added to cocultures. After 5 days, supernatants were harvested for measurement of IL-5 concentrations by ELISA. Solid bars represent IL-5 synthesis during cocultures in the presence of the above-mentioned blocking molecules, and diamonds represent IL-5 production in the presence of corresponding isotypic controls. Results are expressed as percentage of IL-5 levels reached in the presence of blocking MoAbs compared with T-DC cocultures prepared in the absence of these MoAbs. Data from one of two experiments, which yielded similar results for each coculture condition, are shown.
Synthesis of Th2 cytokines by clonal T cells requires signaling through CD28 and CD2 molecules. Purified CD3−CD4+ cells from hypereosinophilic patients were cocultured with mature allogeneic irradiated DC in the absence (patient 1) or in the presence (patient 2) of 150 U/mL rIL-2 at a DC:T-cell ratio of 1:30. In successive experiments, CTLA4-Ig (10 μg/mL) or blocking MoAbs against B7-1 (CD80), B7-2 (CD86), CD2 (all used at 10 μg/mL), CD40 (100 ng/mL), or isotypic controls at the same concentrations were added to cocultures. After 5 days, supernatants were harvested for measurement of IL-5 concentrations by ELISA. Solid bars represent IL-5 synthesis during cocultures in the presence of the above-mentioned blocking molecules, and diamonds represent IL-5 production in the presence of corresponding isotypic controls. Results are expressed as percentage of IL-5 levels reached in the presence of blocking MoAbs compared with T-DC cocultures prepared in the absence of these MoAbs. Data from one of two experiments, which yielded similar results for each coculture condition, are shown.
Activation of clonal T cells depends on an autocrine IL-2/IL-2R-α pathway.
We finally investigated the role of endogenous IL-2 production in the responses of T cells from patient 1 during cocultures with DC. First, we observed that addition of a blocking anti–IL-2R-α (CD25) MoAb to cocultures of P1 cells with DC dramatically decreased their proliferative responses and enhanced their apoptosis rate. In parallel, the secretion of both IL-5 and IL-13 was profoundly inhibited in the presence of the anti-CD25 MoAb. These effects of IL-2R-α blockade were further enhanced by addition of a neutralizing anti–IL-2 MoAb (Table 4). Consistent with these findings, we observed that clonal cells from patient 1 upregulated their membrane expression of CD25 during cocultures with DC, allowing them to respond to their own secretion of IL-2. As shown in Fig 4, this CD25 upregulation depends both on CD28 and CD2 signaling, as it is prevented by the addition of CTLA4-Ig or blocking anti-CD2 MoAb. To investigate the effects of IL-2 on the synthesis of Th2 cytokines independently from its effects on survival and proliferation, cocultures were prepared using clonal cells from P2 in the presence of an alternative T-cell survival promoting factor, rIL-15. In these experiments, anti-IL–2R-α MoAb specifically inhibited cytokine production (99% inhibition for IL-5 and 86% inhibition for IL-13) without affecting T-cell survival or proliferation (Table 5). Taken together, these experiments establish that costimulatory signals delivered by DC initiate an IL-2/IL-2R autocrine loop, which is critically involved in the survival and proliferation of the CD3−CD4+ cells, as well as in their secretion of cytokines.
Evidence for an Autocrine IL-2/IL-2R- Activation Pathway in Clonal T Cells From Patient 1
| MoAb Added to MLC4-150 . | Apoptotic Cells (%) . | 3H-Thymidine Uptake (cpm) . | IL-5 (pg/mL) . | IL-13 (pg/mL) . |
|---|---|---|---|---|
| None | 32.9 | 21,146 | 4,150 | 4,900 |
| Anti–IL-2R-α | 74.7 | 702 | 109 | 230 |
| Anti–IL-2R-α + anti-IL-2 | 78.5 | 821 | 83 | 144 |
| Isotypic ctrl (IgG2a) | 39.5 | 25,080 | 4,430 | 2,999 |
| Isotypic ctrl (IgG1) | 36.7 | 25,652 | 4,430 | 5,400 |
| MoAb Added to MLC4-150 . | Apoptotic Cells (%) . | 3H-Thymidine Uptake (cpm) . | IL-5 (pg/mL) . | IL-13 (pg/mL) . |
|---|---|---|---|---|
| None | 32.9 | 21,146 | 4,150 | 4,900 |
| Anti–IL-2R-α | 74.7 | 702 | 109 | 230 |
| Anti–IL-2R-α + anti-IL-2 | 78.5 | 821 | 83 | 144 |
| Isotypic ctrl (IgG2a) | 39.5 | 25,080 | 4,430 | 2,999 |
| Isotypic ctrl (IgG1) | 36.7 | 25,652 | 4,430 | 5,400 |
Mixed leukocyte cultures were prepared between purified CD3−CD4+ cells from P1 and mature irradiated DC generated from allogeneic PBMC at a DC:T cell ratio of 1:30 in the absence or presence of blocking anti–IL-2R-α MoAb (IgG2a) (10 μg/mL) or a combination of anti–IL-2R-α and anti–IL-2 MoAbs (IgG1) (10 μg/mL) or the same concentration of isotypic control (ctrl) MoAbs. After 5 days, the percentage of apoptotic cells, T-cell proliferation, and cytokine levels in culture supernatants were determined as indicated in Table 3. Data are from 1 of 2 experiments, which gave similar results.
Activation of clonal T cells by DC during cocultures is associated with upregulation of IL-2R- (CD25) expression. Purified CD3−CD4+ cells from patient 1 were cultured alone or with mature autologous irradiated DC in the absence or in the presence of CTLA4-Ig (10 μg/mL), blocking MoAb against CD2 (10 μg/mL) or corresponding isotypic controls at a DC:T cell ratio of 1:30. Cells were harvested after 5 days and stained with fluoro-conjugated MoAbs against CD3, CD4, and CD25. Flow cytometric analysis of surface expression of CD25 is shown on at least 10,000 viable cells after gating on CD3−CD4+lymphocytes. Data from one of two experiments with similar results for each condition are shown.
Activation of clonal T cells by DC during cocultures is associated with upregulation of IL-2R- (CD25) expression. Purified CD3−CD4+ cells from patient 1 were cultured alone or with mature autologous irradiated DC in the absence or in the presence of CTLA4-Ig (10 μg/mL), blocking MoAb against CD2 (10 μg/mL) or corresponding isotypic controls at a DC:T cell ratio of 1:30. Cells were harvested after 5 days and stained with fluoro-conjugated MoAbs against CD3, CD4, and CD25. Flow cytometric analysis of surface expression of CD25 is shown on at least 10,000 viable cells after gating on CD3−CD4+lymphocytes. Data from one of two experiments with similar results for each condition are shown.
Role of Endogenous IL-2 in Th2 Cytokine Production by Clonal Cells From Patient 2
| MLC Conditions5-150 . | Apoptotic Cells (%) . | 3H-Thymidine Uptake (cpm) . | IL-5 (pg/mL) . | IL-13 (pg/mL) . |
|---|---|---|---|---|
| T cells | 62 | 388 | <20 | <10 |
| T cells + rIL-15 | 39 | 1,033 | <20 | <10 |
| T cells + DC | 54 | 704 | <20 | <10 |
| T cells + DC + rIL-15 | 37 | 2,336 | 13,970 | 990 |
| T cells + DC + rIL-15 + anti–IL-2R-α | 34 | 2,038 | 127 | 142 |
| MLC Conditions5-150 . | Apoptotic Cells (%) . | 3H-Thymidine Uptake (cpm) . | IL-5 (pg/mL) . | IL-13 (pg/mL) . |
|---|---|---|---|---|
| T cells | 62 | 388 | <20 | <10 |
| T cells + rIL-15 | 39 | 1,033 | <20 | <10 |
| T cells + DC | 54 | 704 | <20 | <10 |
| T cells + DC + rIL-15 | 37 | 2,336 | 13,970 | 990 |
| T cells + DC + rIL-15 + anti–IL-2R-α | 34 | 2,038 | 127 | 142 |
MLC were prepared between purified CD3−CD4+ cells from P2 and mature irradiated DC generated from allogeneic PBMC at a DC:T cell ratio of 1:30 in the absence or presence of rIL-15 (16.7 ng/mL) and blocking anti–IL-2R-α MoAb (10 μg/mL). After 5 days, percentage of apoptotic cells, T-cell proliferation, and cytokine levels in culture supernatants were determined as indicated in Table 3. Data are from 1 of 2 experiments, which gave similar results.
DISCUSSION
Absent or low membrane expression of the TCR/CD3 complex on helper T cells has been observed in several pathological settings including (retro-)viral infections,22-24 chronic antigenic stimulation,25 and cancer.26 27 In our hypereosinophilic patients, we have failed so far to show any retroviral sequences and the TCR/CD3-negative phenotype of their clonal T cells was stable throughout T-DC cocultures, as well as after prolonged culture in the presence of rIL-2 (data not shown), indicating that the loss of TCR/CD3 expression did not depend on continuous exposure to a putative exogenous antigen. Whatever the cause of their lack of TCR/CD3 expression, these clonal T cells are likely to be involved in the pathogenesis of hypereosinophilia through secretion of high levels of IL-5.
In this study, we first observed that freshly explanted and purified CD3−CD4+ cells from our patients did not proliferate and were unable to produce cytokines spontaneously in vitro, as established by flow cytometry showing absence of intracytoplasmic cytokines, and by absence of measurable cytokine release into culture supernatants. Addition of mitogenic factors, which bypass physiological activation pathways such as PMA in combination with either A23187 ionophore or anti-CD28 MoAb, was necessary to elicit cytokine production in vitro. In these conditions, the clonal cells secreted high levels of IL-5, IL-4, and IL-13, but were unable to produce IFN-γ, indicating their Th2 nature.18,19 Thus, these cells could be incriminated for both hypereosinophilia, through IL-5 production,28 and high serum IgE levels, through IL-4 and IL-13 production.29 The absence of spontaneous activation in vitro contrasted with clinical evidence that the clonal T cells were in an activated state in vivo. Indeed, the long-standing hypereosinophilia observed in both patients indicated persistent secretion of Th2-type cytokines, as eosinophils quickly undergo apoptosis in the absence of specific survival-promoting cytokines such as IL-5.15,16 Furthermore, the monoclonality of these cells suggested constant expansion of the cell population. The divergence between in vivo and in vitro behavior of the CD3−CD4+ cells argues against constitutional activation of signaling pathways in the clonal T cells, as has been described for transformed lymphocytes infected with human T-cell lymphotropic virus type 1 (HTLV-1) in adult T-cell leukemia lymphoma.30 They suggest on the contrary that the clonal CD3−CD4+ cell population remains dependent on exogenous signals for both proliferation and cytokine production. In this study, we focused on accessory signals delivered by antigen-presenting cells,31 by performing cocultures between CD3−CD4+ cells and DC previously incubated with LPS. Indeed, LPS-induced maturation of DC enhances their T-cell–stimulating properties by upregulating their expression of LFA-3, B7-1, B7-2, and CD40, as well as their secretion of IL-12.32 We found that DC were able to induce both proliferation and cytokine production by clonal cells obtained from patient 1 in the absence of TCR/CD3 signaling. Despite secretion of IL-12 by DC, the T cells produced IL-5 and IL-13 and remained unable to produce IFN-γ, consistent with recent data demonstrating unresponsiveness of mature Th2 cells to IL-12.33 Clonal cells obtained from patient 2 differed in that addition of rIL-2 or rIL-15 to cocultures was necessary to observe efficient activation by DC. The different activation requirements of P1 and P2 cells during cocultures probably reflects different thresholds of cytokine-deprivation induced apoptosis in these cells. Indeed, complete blockade of IL-2/IL-2R interactions in P1 cells led to high levels of apoptosis and thus abrogated their responses to DC alone, leading to a situation similar to that observed with P2 cells. Such divergence in survival requirements may be explained by the fact that P1 and P2 cells were obtained at different time points in disease course. Indeed, cells were harvested from P1 several years after initial symptoms and discovery of hypereosinophilia during a treatment-free period characterized by severe eczematous lesions, whereas cells were obtained from P2 at time of diagnosis, only 5 months after first appearance of clinical manifestations. Moreover, P1 cells displayed chromosomal abnormalities, suggestive of progression toward T-cell malignancy, whereas P2 had a normal karyotype. Although not yet capable of autonomous proliferation, clonal cells from P1 may thus be less dependent on growth factors for survival than those from P2. When cocultures using P2 cells were prepared in the presence of rIL-15 to promote T-cell survival instead of rIL-2, addition of anti–IL-2R-α MoAb specifically inhibited Th2 cytokine production without affecting proliferation or apoptosis. Thus, IL-2 was found critical not only to protect clonal T cells from apoptosis, but also to induce their proliferation and synthesis of cytokines.
Data obtained with cells of both patients showed that B7/CD28 and LFA-3/CD2 interactions were critically involved in their TCR-independent activation, as indicated by profound inhibition of proliferation (P1) and cytokine production (both P1 and P2) when cocultures were performed in the presence of blocking antibodies that interfered with these costimulatory pathways. In patient 1, these effects were in part related to CD28/CD2-dependence of CD25 upregulation on clonal T cells. Several investigators have reported that simultaneous ligation of CD2 and CD28 molecules with specific MoAbs in vitro induces prolonged T-cell proliferation compared with stimulation with anti-CD3 and anti-CD28 MoAb.34-36 Ligation of CD2 and CD28 on human T cells was previously shown to induce IL-2 production, as well as upregulation of the IL-2R-α and -β chains, resulting in autocrine IL-2–dependent stimulation.34 36-39Our data obtained in patient 1 are consistent with such a role for CD2 and CD28 pathways in TCR-independent activation of T cells.
The abnormal T cells from our patients share some features with Sezary cells that are found in peripheral blood of patients with advanced stages of cutaneous T-cell lymphoma (CTCL), including their mature CD4+CD45RO+CD7−CD25−phenotype,40,41 a Th2-type cytokine profile,42and their clonal nature43 in most cases. The importance of the CD28-signaling pathway in the activation of Sezary cells has been demonstrated in a recent report by McCusker et al.44 As with our CD3−CD4+ cells, Sezary cells have a paradoxical proliferative defect in that, although they are malignant lymphomatous cells, they do not proliferate spontaneously in vitro, nor do they respond to the combined action of anti-CD3 and anti-CD28 MoAbs. However, cocultures of purified CD4+CD7− cells with allogeneic growth-inactivated PBMC in the presence of anti-CD3 MoAb induced proliferation of Sezary cells, and addition of CTLA4-Ig or of combined anti-B7 MoAbs to these cultures led to substantial inhibition of cell growth. These results indicate that although signaling through CD28 is critical for Sezary cell growth following engagement of the TCR/CD3 complex, another as of yet unidentified signal provided by APC is required for activation of Sezary cells. Similarly, we observed that stimulation of clonal T cells from patient 1 with a combination of anti-CD2 and anti-CD28 MoAbs was not sufficient to elicit optimal cytokine synthesis (data not shown), suggesting that additional costimulatory signals delivered by DC were indeed operative in our coculture experiments.
It has been suggested that the nature of signals leading to T-cell activation can skew the subsequent cytokine profile. Activation of mature T cells through the alternative CD2-dependent pathway has been shown to induce IL-4 production more efficiently than engagement of CD3,45 and signaling through CD28 was involved in the differentiation of naive CD4+ T cells toward Th2 cytokine-producing cells.46,47 The specific involvement of the CD28 ligands B7-1 and B7-2 in functional differentiation of target cells remains a controversial issue.48 Several studies suggest that ligation of CD28 by CD80 preferentially induces Th1 cytokines, whereas CD86 preferentially induces Th2 cytokines.49,50 However, the fact that anti-CD86 MoAb often inhibited Th2 cytokine production more efficiently than anti-CD80 MoAb as in our own study could simply reflect different levels and/or kinetics of expression of these molecules on APC.51 52
Clinical observations indicate that chronic hypereosinophilia is sometimes associated with a premalignant lymphoproliferative condition as some HES patients will eventually develop a full-blown T-cell lymphoma.53 Identification of a monoclonal population of CD3− helper T cells could be a predictive marker of malignant transformation.54-56 Understanding the activation requirements of such cells could lead to more efficient therapeutic approaches both for the control of eosinophilia and for prevention of malignant evolution. Our observations that TCR-independent activation of the CD3−CD4+ cells can be provided by APC through an IL-2–dependent process, which requires signaling through CD2 and CD28 molecules may be useful for defining new therapeutic strategies for hypereosinophilic patients with a profile similar to ours.
ACKNOWLEDGMENT
We thank Alain Crusiaux for excellent technical assistance.
Supported by the Fonds de la Recherche Scientifique Médicale and the Télévie Programme (Belgium). F.R. is a research fellow of the Fonds National de la Recherche Scientifique (Smithkline Beecham Biologicals fellowship).
The publication costs of this article were defrayed in part by page charge payment. This article must therefore be hereby marked “advertisement” in accordance with 18 U.S.C. section 1734 solely to indicate this fact.
REFERENCES
Author notes
Address reprint requests to Michel Goldman, MD, Hôpital Erasme, Department of Immunology, 808 route de Lennik, B-1070 Brussels, Belgium; e-mail: mgoldman@ulb.ac.be.




This feature is available to Subscribers Only
Sign In or Create an Account Close Modal