Abstract
Objective:
Extramedullary multiple myeloma (EMM) is an aggressive subtype of multiple myeloma, especially those soft tissue-related extramedullary multiple myeloma (EM-S). Plasma cells often infiltrate in extramedullary tissues, but the proportion of plamas cells in bone marrow is not high, so FISH test often produces false negative results. Therefore, the R-ISS staging system cannot predict the really prognosis of this type of patients. A novel risk score is needed for these patients.
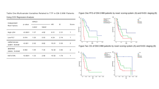
Methos: A cohort of 73 patients with EM-S in four centers in China were included, excluding those only with bone related extramedullary multiple myeloma, primary or secondary plasma leukemia. We performed univariate and multivariate Cox regression analysis, generated risk scores to predict outcomes in EM-S MM and compared with R-ISS staging.
Results: In the Cox multivariate model, high LDH, low count of platelet、central nervous system involved, abdominal viscera involved (including liver, spleen, pancreas, kidney) and Ki67≥70% were found to significantly and independently predict outcomes for EM-S. According to these parameters, the patients were divided into three groups: the low-risk group with a median TTP of 14.13 months, and the medium-risk group with a median TTP of 8.53 months. In the high-risk group, the median TTP was 2.73 months (p<0.05 between any two groups). This novel risk is better to predict prognosis of this group of patients than R-ISS stage, in which the TTP in R-ISS stage I was 20.33 months, R-ISS stage II 9.83 months, and R-ISS stage III 4.83 months (p=0.065). Conclusion: The novel risk stratification for EM-S may be may be superior to R-ISS for EM-S MM patients.
No relevant conflicts of interest to declare.

This feature is available to Subscribers Only
Sign In or Create an Account Close Modal