Background: Interleukin-18 (IL-18) is an immune regulatory cytokine that induces interferon-gamma (IFNg) and IL-17A production. The serum activity of IL18 is controlled by an IFNg-inducible inhibitor (IL-18 binding protein, IL18BPa). IL-18 promotes hematopoietic stem cell (HSC) hibernation and aggravates symptoms of sepsis. Here, we investigated whether free IL-18 serum levels measured before and on day 0 of allogeneic stem cell transplantation (alloSCT) inhibit hematologic recovery.
Patients and methods: Serum levels of pre-transplant IL-18 and IL18BPa, together with the IFNg-response marker CXCL9, were analyzed in patients from two independent institutions (cohort I n=617 and cohort II n= 605), and in 43 normal subjects. Further, IL-18 and IL18BPa levels were measured also on day 0-3 of alloSCT in 309 patients. Free IL-18 was calculated according to the law of masses. Routine lab parameters were recorded pre-transplant and on days 0, 28 and 100 after alloSCT. These were compared to cytokine serum levels and outcome.
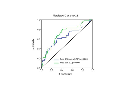
Results: Pre-conditioning serum levels of total IL-18 were significantly (approximately threefold) higher in both patient cohorts (cohort I: 629 pg/ml, cohort II: 693 pg/ml) compared to healthy controls (median: 147 pg/ml). Cytokine serum levels further increased by approx. 25% until day 0-3. Pre-transplant IL-18 and free IL-18, but not IL18BPa or CXCL9 were inversely correlated with platelet counts before and on days 28 and 100 after alloSCT in both independent cohorts. This inhibitory effect on platelet recovery was similar for free IL-18 levels measured at the day of transplantation (Figure 1). High free IL18 on day 0-3 and low platelet counts on days 28 and 100 predicted 1-year non-relapse mortality in separate multivariable Cox regression analyses (confounders: age, disease stage, HLA-mismatch, donor and recipient sex, disease, ATG and conditioning strength).
Conclusion: Serum levels of free IL-18 were closely associated with platelet recovery after alloSCT. This effect did not depend on the IFNg response markers IL18BPa and CXCL9, suggesting a direct inhibitory effect of IL18 on thrombopoiesis. Strategies reducing IL18 activity should be explored to potentially improve hematopoietic recovery and outcome after alloSCT.
Figure 1: ROC curves showing influence of free IL-18 serum levels measured before alloSCT and on day 0-3 on endpoint platelets<50/nl on day+28
Bogdanov:Jazz Pharmaceuticals, MSD.: Other: Travel subsidies. Beelen:Medac GmbH Wedel Germany: Consultancy, Honoraria. Dreger:AbbVie, AstraZeneca, Gilead, Janssen, Novartis, Riemser, Roche: Consultancy; AbbVie, Gilead, Novartis, Riemser, Roche: Speakers Bureau; Neovii, Riemser: Research Funding; MSD: Membership on an entity's Board of Directors or advisory committees, Other: Sponsoring of Symposia. Luft:Neovii: Research Funding; JAZZ: Research Funding.
Author notes
Asterisk with author names denotes non-ASH members.

This feature is available to Subscribers Only
Sign In or Create an Account Close Modal