Background and objective. Specific immunochemotherapy is the standard treatment of patients with Burkitt leukemia or lymphoma (BL/L). The BURKIMAB08 trial showed 3-yr overall survival (OS) probability of 72% (Ribera JM et al, Cancer. 2013; 119:1660-8). However, the toxicity was high, and 11% of patients died in complete response (CR). In the BURKIMAB14 trial, dose-intensity of chemotherapy blocks was reduced in patients ≤55 years who achieved CR, with the aim to decrease the death rate without impact on efficacy. We present the results of this trial in 80 patients with BL/L and compare them with those of the BURKIMAB08 trial.
Patients and method. All patients received a pre-phase with cyclophosphamide, prednisone and rituximab. Patients in localized stages (I-II non-bulky) received 4 blocks of immunochemotherapy (A1, B1, C1, A2), with 33% reduction of doses of iphosphamide, methotrexate and ARA-C in patients ≤55 years in CR (assessed by PET-CT) after B1 cycle. Patients in stages III-IV and mature B-ALL received 6 immunochemotherapy blocks (A1, B1, C1, A2, B2, C2), with the same dose reduction in cycles C1, A2, B2, C2 in patients ≤55 years in CR after B1 cycle. Patients >55 years received reduced intensity chemotherapy (as in BURKIMAB08) in both induction and post-induction cycles. The CR rate, cumulated incidence of relapse (CIR) and OS were analyzed and compared with those from the BURKIMAB08 trial.
Results. From 2014-2019, 80 patients with BL/L were enrolled. Median age (range): 48 (17-80) years, 57 (71%) ≤55 years, 61 males (76%), 15 (19%) patients in stages I-II non-bulky and 65 (81%) in stages III-IV, 25 of whom (38%) had mature B-ALL. 18 patients (23%) were HIV positive, 13 (17%) showed CNS involvement at diagnosis and 23 (31%) bulky mass (>10 cm). 45 patients (60%) had intermediate-high or high IPI.
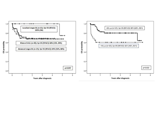
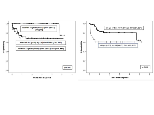
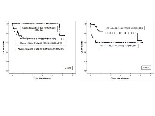
All patients in stages I-II non-bulky showed CR. 4/65 patients in stages III-IV or mature B-ALL are receiving induction therapy, 1/65 withdrew the trial, 7/60 (12%) died in induction, 2/60 (3%) were resistant and 51/60 (85%) achieved CR. Of them, 6 relapsed, 3 withdrew the trial and 3 died in CR (one in the group of localized stage). OS probability at 3 years was 74% (95%CI: 64%-84%) (localized stages 100% [NE], advanced stages 68% [56%-80%], p=0.047, without difference in patients in stages III-IV vs. mature B-ALL, Figure 1). Patients >55 years showed a significantly lower probability of OS (61% [41%-81%] vs. 80% [68%-92%], p=0.022, Figure 2). A lower but non-statistically significant OS probability was observed in HIV-infected vs. non-HIV-positive patients (61% [36%-86%] vs. 78% [67%-89%], p=0.310). The CIR for patients in advanced stage/mature B-ALL was 13% (3%-28%)A trend for lower death rate in CR was observed in BURKIMAB14 vs. BURKIMAB 08 trial (3/62 vs. 16/151, p=0.180), without differences in CIR (9% [3%-21%] vs. 12% [6%-20%]) or in OS (74% [64%-84%] vs. 72% [65%-79%], respectively).
Conclusions. The results of the BURKIMAB14 trial are promising, especially for patients in localized stages and for those <55 years. The death rate in CR was lower compared with the BURKIMAB08 trial. The reduction of the dose-intensity of chemotherapy in CR patients did not have impact on the CIR.
Supported in part with the grants PI14/01971 FIS, Instituto Carlos III, SGR 288 (GRC) y Fundación "La Caixa".
Figure 1. OS according to stage (I-II, vs. III-IV vs. mature B ALL)
Figure 2. OS according to age (≤55 y vs >55 y)
Abrisqueta:Abbvie: Consultancy, Honoraria, Other: Travel, Accommodations, expenses, Speakers Bureau; Celgene: Consultancy, Honoraria; Janssen: Consultancy, Honoraria, Other: Travel, Accommodations, expenses, Speakers Bureau; Roche: Consultancy, Honoraria, Other: Travel, Accommodations, expenses, Speakers Bureau. Fernandez:Teva: Membership on an entity's Board of Directors or advisory committees, Research Funding, Speakers Bureau; Incyte: Membership on an entity's Board of Directors or advisory committees, Speakers Bureau; Pfizer: Membership on an entity's Board of Directors or advisory committees, Research Funding, Speakers Bureau; Abbvie: Membership on an entity's Board of Directors or advisory committees; Daiichi Sankyo: Consultancy, Membership on an entity's Board of Directors or advisory committees, Research Funding, Speakers Bureau; Celgene: Consultancy, Membership on an entity's Board of Directors or advisory committees, Research Funding, Speakers Bureau; Janssen: Membership on an entity's Board of Directors or advisory committees, Research Funding, Speakers Bureau; Novartis: Membership on an entity's Board of Directors or advisory committees, Research Funding, Speakers Bureau; Karyopharm: Membership on an entity's Board of Directors or advisory committees, Research Funding. Terol:Roche: Consultancy; Abbvie: Consultancy; Astra Zeneca: Consultancy; Janssen: Consultancy, Research Funding; Gilead: Research Funding. Gimeno Vázquez:JANSSEN: Consultancy, Speakers Bureau; Abbvie: Speakers Bureau. Sancho:Janssen: Honoraria, Membership on an entity's Board of Directors or advisory committees; Gilead: Consultancy, Honoraria, Other: Advisory board; Novartis: Honoraria; Kern Pharma: Honoraria, Membership on an entity's Board of Directors or advisory committees; Sanofi: Honoraria; Celltrion: Membership on an entity's Board of Directors or advisory committees; Bristol-Myers Squib: Membership on an entity's Board of Directors or advisory committees; Celgene: Consultancy, Honoraria, Membership on an entity's Board of Directors or advisory committees; Sandoz: Consultancy; F. Hoffmann-La Roche Ltd: Honoraria, Membership on an entity's Board of Directors or advisory committees.
Author notes
Asterisk with author names denotes non-ASH members.

This feature is available to Subscribers Only
Sign In or Create an Account Close Modal