Abstract
Introduction
CK AML patients have high relapse rate and poor outcomes when treated with conventional chemotherapy. Allogeneic hematopoietic stem cell transplantation (AHSCT) may cure this disease; however, relapse rate remains a major limitation and survival is one of the worst amongst AML patients. Here we aimed to identify prognostic factors associated with survival in patients with AML and CK using combined data from the EBMT and MDACC.
Methods
A total 1,342 consecutively transplanted patients with CK (>3 cytogenetic abnormalities) AML reported to EBMT (N=1,118) and at MDACC (N=224) between 01/2000-12/2015 were included.The median age was 52 years (range 18-76 years), 335 patients (25%) were older than 60 years. Seven hundred and twenty-nine patients (54.3%) were male, 239 patients (17.8%) had secondary AML. Disease status before transplant was CR1, CR2 and activediseasein 877 (65.3%), 77 (5.7%) and 388 (29%), respectively. Donors were matched related (MRD), matched unrelated (MUD) and mismatched unrelated (MMUD) in 749 (55.8%), 513 (38.2%) and 80 (6%), respectively. Conditioning regimens were various, mostly eitherbusulfan-based (53.7%) or TBI-based (26.7%). Seven hundred and thirty-nine patients (55%) and 603 patients (45%) receivedmyeloablativeconditioning (MAC) and reduced intensity conditioning (RIC), respectively. The main stem cell source was peripheral blood (81%). In vivo T-cell depleted (TCD) methods were used in 665 patients (50%). Median time from diagnosis to transplant was 5.1 months (range 2-387 months) while the median follow-up duration was 35.5 months (range 8-174 months).
Results
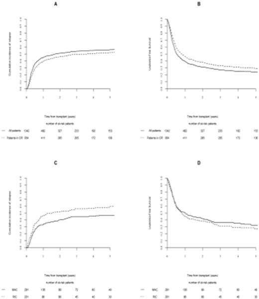
Engraftment occurred in 96.3%, 69.7% and 30.3% had full and mixed donorchimerism, respectively. At 2 year post-transplant, the cumulative incidence (CI) of acute GVHD grade II-IV and grade III-IV was 26.3% and 8.4%, respectively, whereas CI of chronic GVHD was 30.9% with extensive chronic GVHD 17.8%. Leukemia free survival (LFS), overall survival (OS), CI of relapse, non-relapse mortality (NRM) at 2 years for the whole group was 31.3%, 36.8%, 51.1% and 17.6%, respectively, while 2-year GVHD-free, relapse-free survival (GRFS) was 19.8%. LFS, OS, GRFS, CI of relapse and NRM at 2 years for patients transplanted in CR1 was 38.4%, 44.5%, 23.8%, 46% and 15.7%, respectively. For patients with active disease these outcomes were 14.6%, 18.5%, 9.6%, 63.5% and 21.9%, respectively (Figure A, B). Patients ages 40-60 years transplanted in CR1 with MAC demonstrated lower relapse (40.2% vs. 51% with RIC, p=0.005), offset by a higher NRM (18.2% vs 9.8% RIC, p=0.037), associated with higher incidence of acute GVHD, and a non-significant difference in LFS (Figure C, D).
In multivariable analysis (MVA) for the entire group, advanced age, transplantation in active disease, secondary AML and presence of deletion or monosomy 5 or 7 predicted poor LFS and OS. All of these factors as well as year of transplant (before 2010) also predicted poor GRFS, while conditioning intensity (MAC vs RIC) and donor type did not influence survival outcomes. Prognostic factors for relapse were age, secondary AML, active disease at transplant and presence of deletion or monosomy 5, while prognostic factors for NRM were older age, active disease, use of a mismatched unrelated donor and deletion or monosomy 7.
Conclusions
In this largest analysis of complex karyotypes AML patients, relapse remains the most common cause of treatment failure with 45% for patients in CR1 and 63.5% for patients not in remission relapsing after transplant. The only modifiable factorsat this time are performing transplantation in CR1 as soon as the donor is available. Control of GVHD might allow younger patients receiving MAC to have a lower NRM and improved LFS. Novel approaches are needed to decrease relapse rate and improve survival in these patients.
A. CI of relapse for all patients and patients in CR; B. LFS for all patients and patients in CR; C. CI of relapse for patients age 40-60 years in CR with MAC, RIC; D. LFS for patients age 40-60 years in CR with MAC, RIC.
A. CI of relapse for all patients and patients in CR; B. LFS for all patients and patients in CR; C. CI of relapse for patients age 40-60 years in CR with MAC, RIC; D. LFS for patients age 40-60 years in CR with MAC, RIC.
Ciurea:Cyto-Sen Therapeutics: Equity Ownership; Spectrum Pharmaceuticals: Other: Advisory Board. Champlin:Ziopharm Oncology: Equity Ownership, Patents & Royalties; Intrexon: Equity Ownership, Patents & Royalties.
Author notes
Asterisk with author names denotes non-ASH members.


This feature is available to Subscribers Only
Sign In or Create an Account Close Modal