Abstract
Introduction
The correct diagnosis of myeloproliferative neoplasm (MPN), especially the correct classification of early or prodromal stages, remains a matter of debate. While the 2008 WHOcriteriarecognize the existence of an early, prefibrotic primary myelofibrosis, other diagnostic systems make no such distinction between ET and prePMF. According to WHO criteria the accurate diagnosis is based mainly onhistomorphologicassessment of bone marrow (BM) biopsy samples. However, there is an ongoing debate if ET, prePMF, PV and overt PMF are, dependent from their molecular genetic phenotype, a continuum or rather independent entities.
Methods
From a multicenter database, we selected 251 patients with ET and 185 patients with prePMF, in which the diagnosis had been established by BM biopsy and in which clinical data at time of diagnosis and for follow up were available.
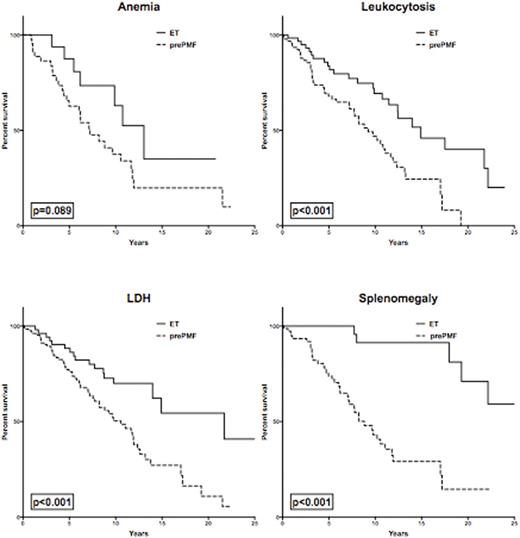
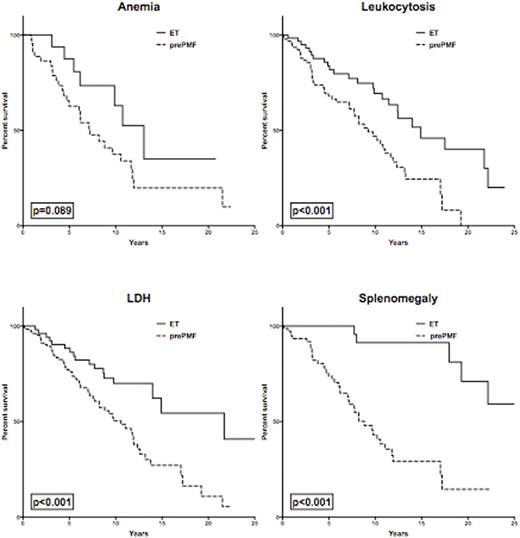
We compared overall survival in patients from both entities in which common clinical features of prePMF were present at time of bone marrow biopsy. These were anemia (male <13 g/dL, female <12 g/dL),leukocyte counts ³ 11 G/L, elevated lactate dehydrogenase levels (LDH) as well as splenomegaly.
Results
Survival was substantially impaired in WHO-defined prePMF patients when compared to the ET cohort (Fig. 1). Median overall survival was significantly worse in patients with leukocytosis (9.3 vs. 14.9 years, 95% CI 6.9-11.6 vs. 9.1-20.7, p<0.001), elevated LDH levels (10.6 vs. 21.7 years, 95% CI 7.7-13.4 vs. 11.5-31.9, p<0.001) and splenomegaly (6.8 years vs. median not reached, 95% CI 6.8-10.8 vs.n.a.,p<0.001). Significance was narrowly missed in anemic patients (7.2 vs. 13.1 years, 95% CI 4.7-9.8 vs. 9.2-16.9, p=0.089).
Discussion
Our data illustrate, that the distinction of prePMF and ET patients based onhistomorphologicalcriteria by the WHO 2008 diagnostic criteria translates into different overall survival patterns in patients that may share some similar clinical features at diagnosis. This suggests that the underlying diseases are two different entities, with different underlying biology, that can both present with the same adverse clinical parameters. Further, these two entities can only be accurately differentiated by bone marrow histology.
Therefore the concept that ET, WHO-defined prePMF and overt PMF form a continuum of the same disease, with prePMF just being an advanced stage of ET, may need revision in face of this study.
Burgstaller:Novartis: Consultancy, Honoraria. Geissler:Novartis: Honoraria. Gisslinger:AOP Orphan: Consultancy, Honoraria; Novartis: Consultancy, Honoraria; Baxalta: Consultancy, Honoraria.
Author notes
Asterisk with author names denotes non-ASH members.

This feature is available to Subscribers Only
Sign In or Create an Account Close Modal