Abstract
Introduction: Acute myeloid leukemia (AML) is a heterogeneous disease characterized by clonal expansion of abnormal hematopoietic progenitor cells. With induction chemotherapy, patients attain a high rate of complete remission as measured by cytogenetic and flow cytometry markers; however, the majority eventually experience relapse. Accurate monitoring of minimal residual disease (MRD) can provide important information for relapse prediction, but current techniques rely on single somatic mutations or a small number flow cytometry markers. It was recently shown that subsets of leukemia-associated mutations can persist after treatment, even if standard clinical evaluation suggests complete remission. Such patients have an increased risk of relapse and reduced overall survival. It is however difficult to foresee which mutations at diagnosis that will persist and contribute to the leukemic relapse. To reliably monitor MRD status, a compelling strategy would be to ascertain as many mutations as possible. We here demonstrate how this can be achieved using an automated design of multiplex PCR primers followed by deep sequencing of the PCR products, enabling monitoring of MRD and mutation pattern based on each patients initial unique mutational fingerprint.
Methods: We selected five patients with AML or high risk myelodysplastic syndrome (MDS) with whole exome sequencing (WES) data available from a diagnostic bone marrow or a peripheral blood sample together with a matched skin biopsy for identification of somatic variants. All five cases had material available from presentation, at least one follow up time point, and at relapse. All somatic coding mutations with a variant allele frequency (VAF) above 5% from the WES that passed the sequencing quality threshold were included, constituting the patients mutational fingerprint. The number of mutations ranged from 9 to 33 per patient. Individualized multiplex PCR assays (1-2 multiplex PCR assays/patient) were designed towards all fingerprint mutations using in-house software together with MPprimer. The multiplex PCRs were performed using Qiagen multiplex PCR kit (Qiagen). Each patient specific fingerprint analysis was performed on paired diagnosis, follow up and relapse samples. Sequencing libraries were generated using Nextera XT DNA library prep kit (Illumina) and sequencing was performed on a NextSeq500 (Illumina). Variant recalling was performed using freebayes and only variants with a VAF>5% and coverage above 100X in the diagnostic sample were considered successful MRD markers.
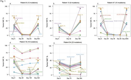
Results: Automatic primer design was possible for 84 out of the total 88 mutations (95%). 75 of the targets (89%) were regarded successfully amplified in the multiplex PCR (sequencing coverage above 100X) and had a median coverage of 6566X. The error rate was estimated to around 1%. This multiplex PCR and sequencing approach allowed us to track each patient's unique mutation pattern in the follow up samples and at relapse. We could identify three patients in which all mutations were cleared in the follow up samples prior to relapse (Fig. 1a, b, c) and two patients in which not all mutations were cleared in the follow up samples (Fig. 1d, e). We could also identify which of the mutations at diagnosis that were present also at relapse (Fig. 1a-e). Hence, this approach is a relatively cost effective, fast and reliable assay for monitoring the disease-causing AML clone during a follow up.
Conclusions: Traditional MRD monitoring by detection of single mutations or aberrant expression of flow cytometry markers is a proven and powerful method for identifying patients with a higher risk of relapse. However, a known problem with this approach is the risk that some markers are lost at relapse. We here describe a straight forward method allowing the diagnostic patient specific mutational fingerprint to be followed, which should serve as a more stable disease marker of the aberrant clone. In the five patients investigated, we could track mutations that were cleared, persisted despite clinical signs of remission, and mutations that were retained or lost at relapse. In a clinical setting, following an initial screen for somatic variants by WES, the individual multiplex PCR MRD assay could easily and at a relatively low cost be performed in any small NGS lab, thus allowing improved risk stratification and follow up of patents diagnosed with AML and other malignant hematologic disorders.
Fioretos:Cantargia: Equity Ownership.
Author notes
Asterisk with author names denotes non-ASH members.

This feature is available to Subscribers Only
Sign In or Create an Account Close Modal