Abstract
This study was coordinated by the ECOG-ACRIN Cancer Research Group (Robert L. Comis, MD and Mitchell D. Schnall, MD, PhD, Group Co-Chairs) and the Medical Research Counsel, United Kingdom, and supported in part by Public Health Service Grants CA180820, CA180794, CA180790, CA189859, CA180853, CA180791, and from the National Cancer Institute, National Institutes of Health and the Department of Health and Human Services. Its content is solely the responsibility of the authors and does not necessarily represent the official views of the National Cancer Institute.
Background: Late relapse in acute leukemia is considered a relatively rare event. Patients with acute myeloid leukemia (AML) are often considered cured of the disease at 3 years, but information regarding adult acute lymphoblastic leukemia (ALL) patients is scarce. Data are presented from one of the largest prospective adult ALL studies, the MRC UKALLXII/ECOG E2993, to evaluate the rate and characteristics of late relapse in ALL. For this purpose, late relapse was defined, arbitrarily, as relapse 3 years post achievement of complete remission (CR) and very late relapse was defined as relapse > 5 years from CR.
Methods: The UKALLXII/ECOG E2993 was an international ALL trial conducted jointly by the MRC in the United Kingdom and ECOG in the United States. All patients received identical induction therapy, followed by central nervous system prophylaxis. Patients with a sibling donor (or a matched unrelated donor in Philadelophia-chromosome-positive ALL) were assigned to receive an allogeneic hematopoietic stem cell transplant (HSCT); all others were randomized to undergo an autologous transplant or protracted standard consolidation/ maintenance therapy. The study accrued 2109 patients from 1993 to 2008. Following relapse, patients were followed for survival. For this report only patients registered before the tyrosine kinase inhibitors era are included in the analysis.
Results: 1518 study patients were eligible for this analysis, 1208 (79.6%) Philadelphia-chromosome negative (Ph-neg) and 267 (17.5%) Philadelphia-chromosome positive (Ph-pos). 1381 (91%) of the patients achieved CR; 93% of the Ph-neg and 82% of the Ph-pos. 572 patients (37.7%) underwent allogeneic HSCT. The median duration of follow-up of patients who achieved CR was 10 years. Among the 1381 patients who achieved CR, 626 (45.3%) had a documented relapse; 566 (90.4%) relapsed within 3 years of CR and 60 (9.6%) relapsed beyond 3 years ('late relapse') (Figure 1). Among these 60 patients, 18(2.9%) relapsed after 5 years ('very late relapse').
| Patients . | n . | CR . | All relapses . | Relapses < 3 years . | Relapses ≥ 3 years . | Relapses ≥ 5 years . |
|---|---|---|---|---|---|---|
| All patients | 1518 | 1381 (91%) | 626 (45.3%) | 566 (90.4%) | 60 (9.6%) | 18 (2.9%) |
| Ph-neg | 1208 (79.6%) | 1123 (93%) | 485 (40.1%) | 429 (88.5%) | 56 (11.5%) | 17 (3.5%) |
| Ph-pos | 268 (17.5%) | 219 (82%) | 124 (56.6%) | 122 (98.4%) | 2 (1.6%) | 1 (0.8%) |
| Patients . | n . | CR . | All relapses . | Relapses < 3 years . | Relapses ≥ 3 years . | Relapses ≥ 5 years . |
|---|---|---|---|---|---|---|
| All patients | 1518 | 1381 (91%) | 626 (45.3%) | 566 (90.4%) | 60 (9.6%) | 18 (2.9%) |
| Ph-neg | 1208 (79.6%) | 1123 (93%) | 485 (40.1%) | 429 (88.5%) | 56 (11.5%) | 17 (3.5%) |
| Ph-pos | 268 (17.5%) | 219 (82%) | 124 (56.6%) | 122 (98.4%) | 2 (1.6%) | 1 (0.8%) |
Relapse beyond 3 years occurred in 4.3% of all who achieved CR, in 5% of Ph-neg and 0.01% of Ph-pos patients.
Among the 60 late relapses, the median time to relapse was 46 months. 61.7% of the late-relapse patients were males, median age was 32 years, 88.3% were B-lineage ALL and the median white cell count at diagnosis was 6000/ul. 56.7% were in cytogenetic standard risk, 8.3% at high risk and the data of 35% are unknown.
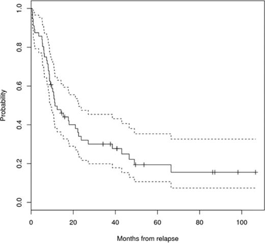
The median survival for the late relapse patients was longer than for those who relapsed within 3 years. The overall survival (OS) of the 56 Ph-neg patients who relapsed beyond 3 years is shown in Fig 2.
| . | Relapse > 3 years . | Relapse > 3 years . |
|---|---|---|
| Median survival from relapse (months) | 5.4 | 11.2 |
| 3-year OS from relapse | 6.5% | 29% |
| 5-year OS from relapse | 5.6% | 19% |
| . | Relapse > 3 years . | Relapse > 3 years . |
|---|---|---|
| Median survival from relapse (months) | 5.4 | 11.2 |
| 3-year OS from relapse | 6.5% | 29% |
| 5-year OS from relapse | 5.6% | 19% |
Conclusions: Late relapses in adults with Ph-neg ALL are not uncommon. About 10% of relapses occur beyond 3 years and 4.3% of all ALL patients who achieved a CR can expect to have a late relapse. These data are in contrast to AML where only 1% of patients relapse beyond 3 years (Watts JM et al, 2014). Most of the late relapse patients were at standard risk and appeared to have a relatively favorable outcome post relapse. Patients with ALL, particularly those who are Ph-neg, cannot be considered as cured at 3 years and need to be closely followed.
Time to relapse of Ph-pos and Ph-neg ALL
Survival from relapse for Ph-neg patients who relapsed after 3 years from CR.
Survival from relapse for Ph-neg patients who relapsed after 3 years from CR.
Rowe:Amgen: Consultancy; BioSight Ltd.: Consultancy, Membership on an entity's Board of Directors or advisory committees; BioLineRx Ltd.: Consultancy. Douer:Gilead: Consultancy.
Author notes
Asterisk with author names denotes non-ASH members.


This feature is available to Subscribers Only
Sign In or Create an Account Close Modal