Abstract
Background Accurate diagnosis of essential thrombocythemia (ET) continues to be a challenging issue for both hematopathologists and clinicians. Diagnosis is usually performed by applying either the 2014 British Committee for Standards in Haematology (BCSH) guidelines or the 2008 World Health Organization (WHO) criteria. While the WHO classification requires bone marrow morphology (BM) as a major criterion, the BCSH guidelines allow diagnosis also based solely on clinical symptoms and is more focused on exclusion of the other subtypes of myeloproliferative neoplasia (MPN). However, prefibrotic/early stages of primary myelofibrosis (prePMF) may also present with thrombocytosis, while failing to meet the diagnostic signs and symptoms characterizing overt PMF. Moreover, a small fraction of polycythemia vera (PV) patients may present with low hemoglobin and hematocrit levels, but a platelet count in keeping with BCSH- and WHO-defined ET, thus mimicking phenotypically ET at onset (masked PV). Clinical outcome in prePMF patients is considerably worse than in ET patients, while treatment strategies are likely to change for prePMF patients with the use of interferon-alpha or JAK1/2-inhibitors.
Aims The aim of this study was to investigate the prognostic relevance of BM morphology for ET diagnosis as underscored by the WHO classification versus the first set of the BCSH criteria that do not include BM evaluation.
Methods A clinic-pathological database including 450 MPN patients was created by clinicians and hematopathologists from a major Austrian center. Treatment-naive BM biopsies were centrally re-reviewed by three of the authors, who were completely blinded to initial data (except for age and gender). Follow-up data, including clinical course and mutation status, were analyzed after the completion of the histopathology review. For purpose of this study we selected two cohorts of ET patients presenting with a sustained platelet count > 450x10^9/L: (1) 209 ET patients in accordance with the diagnostic requirements of the BCSH (A1-A3) that included no BM biopsy examination. (2) 152 patients in strict agreement with the diagnostic guidelines of the WHO including BM biopsy evaluation as major criterion. Both cohorts were compared and analyzed to regarding their presenting clinico-pathological data, driver mutation status, and follow-up. Diagnosis of post-ET myelofibrosis or progression into overt myelofibrosis with myeloid metaplasia was made according to previously published criteria.
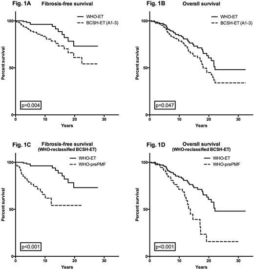
Results Following the BCSH criteria, 209 patients were diagnosed as ET. When reclassifying those cases according to the WHO criteria including BM morphology examination, 80 (38.3%) patients were diagnosed as prePMF and 14 (6.7%) as PV and two were diagnosed as PMF (0.9%). Comparison of clinical features of BCSH-ET and WHO-ET revealed significant differences in LDH levels and palpable splenomegaly at diagnosis. Fibrosis-free survival was significantly shorter in BCSH-ETs (Fig. 1A) as was overall survival (Fig. 1B). When reclassifying the BCSH cohort according to WHO criteria, progression-free and overall survival were significantly shorter in WHO-confirmed prePMF (Fig. 1C and 1D).
Summary/Conclusion The striking differences in outcome are certainly linked with the entry of many prePMF cases in the BCSH-confirmed cohort. The inclusion of these cases, as well as cases with masked PV demonstrates, that BCSH criteria A1-3 may lead clinicians to refrain from performing BM biopsy in patients with elevated thrombocyte counts, which impairs accurate diagnosis with subsequent inadequate management and inferior prognosis. Our results highlight the central role of BM biopsy to achieve accurate diagnosis and differentiation of ET and prePMF.
Gisslinger:Geron: Consultancy; AOP ORPHAN: Consultancy, Honoraria, Research Funding, Speakers Bureau; Sanofi Aventis: Consultancy; Novartis: Honoraria, Research Funding, Speakers Bureau; Celgene: Consultancy, Honoraria, Research Funding, Speakers Bureau; Janssen Cilag: Honoraria, Speakers Bureau.
Author notes
Asterisk with author names denotes non-ASH members.

This feature is available to Subscribers Only
Sign In or Create an Account Close Modal