Abstract

Introduction: There is no clear consensus regarding the optimal therapeutic approach for AYAs with HL. Prior registry data showed that HL AYA patients treated with ABVD had similar outcomes to their older counterparts (Foltz JCO 2006). However, SEER data have suggested that advances in HL survival among AYAs may be less robust compared with older populations (Bleyer NCI 2006). We sought to examine AYA patients treated on two recent, randomized pediatric and adult North American HL clinical trials (i.e., 17-21 years; the age group of those typically eligible for both pediatric- and adult-based HL clinical trials) by comparing outcomes of different age cohorts within E2496 as well as across the two different studies.
Methods: We examined characteristics and outcomes of 114 newly diagnosed AYA HL patients aged 17-21 years treated on E2496 (ABVD vs. Stanford V [SV] chemotherapy, Gordon JCO 2013) trial and compared the failure free survival (FFS) and overall survival (OS) with patients ages >21 years. In addition, we compared presenting features, planned treatment, FFS, and OS of these ECOG AYA patients with 391 newly diagnosed AYA HL patients between ages 17-21 years treated on the COG AHOD0031 (ABVE-PC backbone, Friedman JCO 2014). Unstratified and stratified log-rank tests as well as propensity score analysis were utilized to compare differences in patient outcomes.
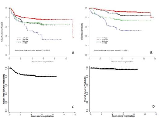
Results: In E2496, the 5-year FFS and OS rates for AYAs were 68% and 89%, respectively, with significant variations identified by patient age (see Table). There was no FFS difference between ECOG AYAs treated with ABVD vs. SV (P =0.66). However, FFS in AYAs were inferior to those ages 21 to 44 years in E2496 (P =0.005; see Figure, sections A and B). Interestingly, AYA outcomes on E2496 appeared more similar to patients aged 45-59 years. In examining COG and E2496 AYA patient characteristics, there was no significant difference in sex, race, or histology. Due in part to trial design differences, a larger proportion of E2496 AYAs were stage III or IV vs. COG AYAs (63% vs. 29%, P <0.001) and had B symptoms (63% vs. 27%, P <0.001); fewer E2496 patients had bulk disease (33% vs. 77%, P <0.001). There was no significant difference in presentation with extralymphatic disease, anemia, or hypoalbuminemia. In terms of therapy, more COG AYAs received radiotherapy (76% vs. 66%, P =0.03), though in smaller doses (21 Gy vs. 36 Gy). In each group, 3 AYAs developed a second cancer. The 5-year FFS and OS for AYAs on the COG study were 80% and 97%, respectively (see Figure, sections C and D). For survival comparison across studies, COG AYAs appeared to have superior FFS compared with E2496AYAs (P =0.001). In stratified multivariable analyses (controlled for stage, anemia, and bulk), E2496 AYAs appeared to have worse FFS compared with COG AYAs in all strata except among the subgroup of patients with stage I/II without anemia. Furthermore, propensity score analysis with patients exactly matched on stage, anemia, and bulk disease confirmed the inferior FFS for E2496 AYAs compared with COG AYAs (P =0.004). Moreover, the AYA survival disparity across studies persisted after additional covariates were incorporated into the propensity score (i.e., age, gender, B symptoms, and hypoalbuminemia; P =0.026).
Conclusions: AYA HL patients treated on E2496 had inferior outcomes compared with older patients (i.e., ages 22 to 44 years) treated within the same study, for unclear reasons, as well as to similarly matched AYA patients treated on COG AHOD0031. These outcomes may result from treatment regimen differences or dose-intensity, differing patient populations or risk profiles, biology, and/or other factors. Prospective examination of these issues in AYA HL patients is warranted.
Survival Outcomes Within E2496 by Age.
| PFS . | 3-yr . | 5-yr . | P . |
|---|---|---|---|
| 17-21 | 70% | 68% | 0.005 |
| 21-44 | 79% | 76% | |
| 45-59 | 68% | 68% | |
| >=60 | 56% | 48% | |
| OS | P | ||
| 17-21 | 93% | 89% | <.0001 |
| 21-44 | 96% | 93% | |
| 45-59 | 79% | 76% | |
| >=60 | 70% | 58% | |
| PFS . | 3-yr . | 5-yr . | P . |
|---|---|---|---|
| 17-21 | 70% | 68% | 0.005 |
| 21-44 | 79% | 76% | |
| 45-59 | 68% | 68% | |
| >=60 | 56% | 48% | |
| OS | P | ||
| 17-21 | 93% | 89% | <.0001 |
| 21-44 | 96% | 93% | |
| 45-59 | 79% | 76% | |
| >=60 | 70% | 58% | |
Smith:Pharmacyclics: Consultancy; Celgene: Consultancy. Advani:Seattle Genetics, Inc.: Research Funding; Genetech: Consultancy. Horning:Genentech: Employment. Shah:Seattle Genetics: Research Funding; Rosetta Genomics: Other: Grant support; Acetylon: Other: Advisory board; Plexus Communications: Honoraria; Pharmacyclics: Speakers Bureau; Spectrum: Other: Advisory board, Speakers Bureau; Bayer: Honoraria; Celgene: Other: Advisory board, Speakers Bureau; DeBartolo Institute for personalized medicine: Other: Grant support. Connors:Roche: Research Funding; Seattle Genetics: Research Funding. Leonard:Weill Cornell Medical College: Employment; Genentech: Consultancy; Medimmune: Consultancy; AstraZeneca: Consultancy; Spectrum: Consultancy; Boehringer Ingelheim: Consultancy; Vertex: Consultancy; ProNAI: Consultancy; Biotest: Consultancy; Seattle Genetics: Consultancy; Pfizer: Consultancy; Mirati Therapeutics: Consultancy; Gilead: Consultancy; Novartis: Consultancy. Gordon:Northwestern University: Employment; Dr Leo I. Gordon: Patents & Royalties: Patent for gold nanoparticles pending.
Author notes
Asterisk with author names denotes non-ASH members.

This icon denotes a clinically relevant abstract

This feature is available to Subscribers Only
Sign In or Create an Account Close Modal