Abstract
Background: The prevalence of obesity has more than doubled between 1980 and 2014, worldwide. In Japan, 25% of adults aged ≥20 years (29 % of males and 20% of females) were overweight in 2013. Body mass index (BMI) assesses the proportion of weight versus height, and is commonly used to stratify underweight, normal, overweight, and obesity in adults. However, the prognostic impact of BMI in acute myeloid leukemia (AML) is debatable. In this retrospective study, we aimed to assess whether BMI was associated with clinical outcomes in AML patients in Japan.
Patients and Methods: We identified 374 patients with newly diagnosed AML who had been administered either daunorubicin or idarubicin in combination with cytarabine as induction chemotherapy at any of the seven Japanese hospitals that collaborate to form the Yokohama City University Hematology Group from January 2000 to March 2015. Patients with acute promyelocytic leukemia were excluded from this study. BMI is defined as a person's weight in kilograms divided by the square of his height in meters (kg/m2). All patients were categorized in one of two groups according to their BMI: underweight (BMI <18.5) and normal weight (BMI, 18.5-24.9) designed as NW, and overweight (BMI, 25.0-29.9) and obese (BMI ≥30.0) designed as OW. We analyzed complete remission (CR) rate, primary induction failure (PIF) which was defined as not achieving CR in two cycles of chemotherapy, and overall survival (OS) in each group.
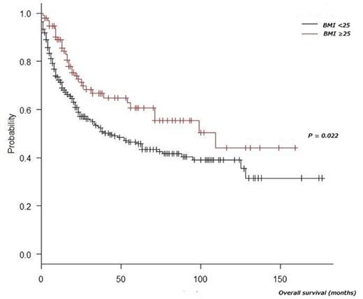
Results: This study included 227 males and 147 females, with median age at diagnosis of 49 years (range, 15-77 years). In BMI classification, 273 were NW (47, underweight; 226, normal weight), 101 were OW (83, overweight; 18, obese). Median BMI was 22.4 (range, 15.9-39). There were not significant differences in age, sex, Performance status (PS), cytogenetic risk, and comorbidities such as diabetes, hypertension, and ischemic heart disease requiring treatment on diagnosis of AML in the two BMI groups. In this cohort, 283 patients (75.7%) achieved CR and 81 (21.7%) experienced PIF, and 10 subjects (2.8%) had an early death (ED) as death occurring within 30 days of chemotherapy initiation. Only one patient received reduced intensity of chemotherapy ( ≥20%) because of obesity. Relapse during the first CR occurred in 173 subjects (46.3%), and death occurred in 139 patients (37.2%). There was no significant difference in CR rate between the NW and OW groups (73.3% and 82%, respectively, P = 0.079). All 10 patients who experienced ED were in NW (3.7%, P = 0.0068). Causes of ED were as follows: infection in 5 subjects; 3 from cerebral bleeding; and 2 deaths from alveolar bleeding. With a median follow-up of 42 months (1-176 months), OS was 52.4% and 64% at 3 years for the NW and OW groups, respectively (P = 0.022; Figure 1). There was no significant difference in PIF and adverse event between theNW and OW groups. Multivariate analysis showed that a better OS was associated with OW (HR 0.65, 95% CI 0.43-0.97, P = 0.033) and the other prognostic factors of age, sex, PS, and cytogenetic risk.
Conclusions: The results of this study show that AML patients with BMI ≥25 had better survival. There was no difference in the toxicity of chemotherapy between the different BMI groups. Out study suggests that Increased BMI should not be a criterion for reducing the dose of chemotherapy administered to patients of newly diagnosed AML.
Overall survival of patients with newly diagnosed acute myeloid leukemia according to BMI.
Overall survival of patients with newly diagnosed acute myeloid leukemia according to BMI.
Fujita:Chugai Pharmaceutical CO.,LTD.: Honoraria.
Author notes
Asterisk with author names denotes non-ASH members.

This feature is available to Subscribers Only
Sign In or Create an Account Close Modal