Abstract
Introduction: transient elastography (TE) is a standardized, non-invasive tool which predicts severity of chronic liver disease (CLD). Owing to the known relationships between liver fibrosis, portal hypertension and splenomegaly, the measurement of spleen stiffness (SS) has been evaluated as an alternative and/or complementary method to liver stiffness (LS) in order to evaluate liver disease severity. In particular, a significant correlation between SS and portal hypertension has been established with hemodynamic measurements, demonstrating that SS accurately predicts the risk of both esophageal varices and clinical decompensation in patients with viral cirrhosis.
Recently, we conducted a study in CLD patients with the aim to assess the diagnostic accuracy of combined LS and SS in the prediction of liver fibrosis and portal hypertension; it also included 64 healthy volunteers and 48 patients with a previous diagnosis of hematological malignancies as control population. Among the few hematological patients enrolled in that study, a significant correlation between SS and bone marrow fibrosis grade (p<0.01) was found and it was more pronounced in the 23 primary myelofibrosis (PMF) patients than in those with other hematological neoplasms.
Methods: to validate further these preliminary observations, we enrolled 108 patients with a clinical and histological diagnosis of PMF based on WHO 2008 criteria. All patients concurrently underwent liver and spleen TE, in conjunction with a bone marrow biopsy, ultrasound evaluation of spleen size and chemistries. Once we found normal LS values granted for the absence of liver disease potentially interfering with SS assessments, according to the updated WHO classification, we considered only two main bone marrow fibrosis categories defined as follows: pre-fibrotic/early fibrotic (MF-0/1) and advanced fibrotic stage (MF-2/3).
Results: transient elastography of the liver and spleen was successfully performed in 88 PMF patients (81.5%), whereas 20 (18.5%) had indeterminate spleen-TE results; however, this rate of spleen-TE failure is similar to that reported by previous studies in CLD patients (15 to 20% of all cases). The median liver-TE and spleen-TE values were 7.1 kPa (range 3.5-19.6) and 40.1 kPa (range 11.8–75.0), respectively.
In a univariate analysis both spleen (p<.0001) and liver stiffness (p=.0074) correlated with the severity of bone marrow fibrosis, whereas age, gender and the PMF prognostic scoring systems IPSS, DIPSS and DIPSS-plus did not. Furthermore, bone marrow fibrosis did not correlate with the presence of JAK2 V617F or CALR mutations, whereas it did with Hb (p=0.0001), LDH (p<.0001) and peripheral blood CD34-positive cells count (p=0.0003).
At multivariate analysis, only SS, LDH and CD34-positive cells count maintained a significant correlation with bone marrow fibrosis, with a discriminative ability assessed by the c statistic of 0.904 (95% CI, 0.841-0.967). According to these results, we were able to propose an equation for the estimation of the probability of being MF-2/3, arranged as follows:
probability MF-2/3=
exp[-4.83+0.0380*SS+0.0039*LDH+0.0148*CD34]/[1+exp(-4.83+0.0380*SS+0.0039*LDH+0.0148*CD34)].
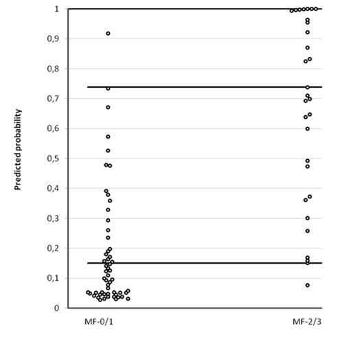
The model entails two decisional threshold values that predict the probability of diagnosing PMF severity: the best cut-off for the diagnosis of MF-0/1 was 0.15 (negative predictive value=0.97) and the best cut-off for the diagnosis of MF-2/3 was 0.73 (positive predictive value=0.94), with an accuracy of 97% for the former and 94% for the latter. Figure 1 describes the two decisional thresholds and the distribution of our patients in the MF-0/1 and MF-2/3 categories.
Conclusions: to our knowledge, this study represents the first attempt to evaluate the entity of SS in PMF patients as a measure of disease severity. Furthermore, our results allow us to suggest the use of SS as a surrogate marker of bone marrow fibrosis, particularly following the fibrogenetic progression of the disease, especially when it is considered together with such routine chemistries as LDH and CD34-positive cells count, a finding that may limit the need for an invasive and more expensive procedure like bone marrow biopsy in the management of PMF patients.
Patients’ distribution in the two main bone marrow fibrosis categories according to the predicted probability cut-off values
Patients’ distribution in the two main bone marrow fibrosis categories according to the predicted probability cut-off values
No relevant conflicts of interest to declare.
Author notes
Asterisk with author names denotes non-ASH members.

This feature is available to Subscribers Only
Sign In or Create an Account Close Modal