Abstract

Decitabine is a pyrimidine nucleoside analogue of cytidine and with azacytidine has been approved for treatment of MDS and non-proliferative CMML. Anyhow, few CMML cases were included in the registrative studies and CMML treatment still remains very arduous, being CMML an heterogenous disease by itself, with characteristics of both MDS and MPN and with a variable prognosis. Decitabine has been suggested to be particularly effective in CMML in a few studies. We evaluated efficacy and safety of decitabine 20mg/m2/day for 5 days every 28 days for a minimum of 6 cycles in a group of pretreated CMML patients. Evaluation of response was performed after 4 and 6 cycles of therapy, according to IWG 2006 criteria. Morphological diagnosis, evaluation of dysplastic signs and monocytic component was performed centrally after first on-site diagnosis. The mononuclear cell expression of decitabine metabolizing enzymes CDA, hENT1, DCK, and CN-II was determined.
Between April 2010 and October 2011, 44 patients were enrolled from 15 Italian Hematology centers, 43 had a confirmed centralized diagnosis of CMML (M/F 30/13), and 42 were finally evaluable. According to WHO 27/42 pts were classified CMML-I with organomegaly and 15/42 CMML-II. Among these patients, 46% had received previous therapy. Proliferative CMML was diagnosed in 32/42 cases. Median age was 71 (42-84) yrs, median number of cycles 6 (1-28).
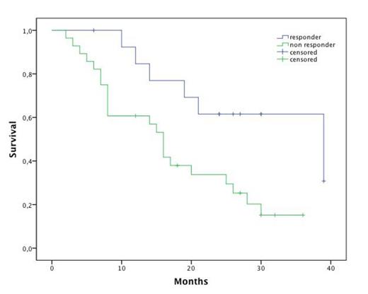
Eleven patients received < 4 cycles, 16 from 4 to 6 cycles and 15 > 6 cycles. Eighty one percent of patients with CMML-I received > 4 cycles. All cycles were administered in an out-patient basis. Overall response rate (ORR) was 33%, mCR in 19%, CR in 14.3 %, PR 2.3% and SD in 34.9% and at 3 year-observation time 31% of patients are still alive (13/42). Median duration of response was 9 months. At present, 16.3% (7/42) of patients are still in treatment. Splenomegaly was significantly reduced in 28% of cases. No significative difference in response rate was present in CMML I vs CMML II, nor in proliferative CMML vs dysplastic ones. At analysis of karyotype, 57% of cases had no cytogenetic abnormality and there was no difference in RR between normal and abnormal cases, among which only 5% had complex karyotype. Median OS is 19 months (2-39). For CMML I cases OS is 26 months vs 15 months for CMML II (p<0.05). Responding patients (14/42) had a significantly longer OS : 39 vs 16 months (p< 0.05)(Figure 1).
CMML patients even when heavily pretreated, can be responsive to decitabine which can be administered for several cycles with good tolerability. Our data are confirming reported data on ORR and OS after decitabine therapy (Braun et al Blood 2011). OS of decitabine- responding patients is significantly prolonged. No clinical or cytogenetic characteristics seem to be predictive of response to decitabine. No significant difference in enzyme expression was demonstrated, although a trend in lower expression of hENT1 was noted for non responsive cases.
Santini:Celgene: Honoraria; Janssen : Honoraria; Novartis: Honoraria; gsk: Honoraria.
Author notes
Asterisk with author names denotes non-ASH members.

This icon denotes a clinically relevant abstract

This feature is available to Subscribers Only
Sign In or Create an Account Close Modal