Abstract
Cytogenetic abnormalities at diagnosis have significant impacts on disease outcome and clonal evolution at cytogenetic level is considered to be associated with relapse and refractoriness to chemotherapy. Relapse of AML was reported to be associated with cytogenetic clonal evolution in 40% of patients who have received chemotherapy. However, little is known about the association of cytogenetic clonal evolution and relapse after allogeneic hematopoietic stem cell transplantation (allo-HSCT). This study was conducted to see the karyotypic changes of the AML relapsed after allo-HSCT and to see whether the presence of the cytogenetic evolution has a prognostic impact.
We retrospectively reviewed patients diagnosed as AML who underwent allo-HSCT for the first time at our institute from Jan. 2006 to Dec. 2012 consecutively and analyzed the cytogenetic evolution patterns in patient at relapse of AML after HSCT.
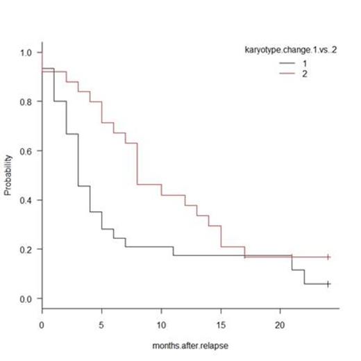
Three hundred and thirty patients were included in this study. We identified fifty-seven (17%) relapsed in bone marrow after HSCT. We excluded two patients, because of that one patient was not performed bone marrow aspiration after relapse and the other received auto-PBSCT after allo-HSCT due to an engraftment failure. So, we analyzed the bone marrow karyotypic changes before and after transplantation of 55 patients. Thirty-eight (69%) were male, and median age at allo-HSCT was 56 years (range, 21-82). Eight (14%) are still alive. Thirty-four (61%) received umbilical cord blood transplantation (UCBT), ten (18%) did related HSCT, and eleven (20%) did unrelated HSCT. Eleven (20%) had normal karyotype, fourteen (25%) had one chromosomal abnormality, eleven (20%) had two abnormalities, and nineteen (35%) had more than three abnormalities before HSCT. Median observation time after HSCT was 16 months (1-75). Thirty (55%) showed gain or loss of chromosomal abnormalities from original one (group1), sixteen (29%) showed no karyotypic change between HSCT, and nine (16%) showed totally different karyotype. We defined the cytogenetic evolution group as group 1, and the others as group 2. Median day of relapse after HSCT was not different between group 1 and 2 (4 months (range 1-73), 6 months (range 1-26), P=0.29). Shorter survival time after relapse was observed in group 1 (5.9% vs. 16.8% at 2 year post-relapse, P= 0.04) (figure. 1).
Impact of karyotype change on survival time after relapse.
Impact of karyotype change on survival time after relapse.
Although durations from HSCT to relapse were comparable between group 1 and 2, survival time after relapse was significantly shorter in group 1 than in group 2, which indicates that cytogenetic clonal evolution may confer resistant characters against treatments, and needs novel therapeutic applications.
No relevant conflicts of interest to declare.
Author notes
Asterisk with author names denotes non-ASH members.

This feature is available to Subscribers Only
Sign In or Create an Account Close Modal