Key Points
The prognostic impact of time from diagnosis to treatment in AML is offset by other factors such as age, secondary AML, or genetic abnormalities.
Waiting a short period of time to characterize leukemias better and design adapted treatments at diagnosis seems possible.
Abstract
In acute myeloid leukemia (AML), new strategies assess the potential benefit of genetically targeted therapy at diagnosis. This implies waiting for laboratory tests and therefore a delay in initiation of chemotherapy. We studied the impact of time from diagnosis to treatment (TDT) on overall survival, early death, and response rate in a retrospective series of 599 newly diagnosed AML patients treated by induction chemotherapy between 2000 and 2009. The effect of TDT was assessed using multivariate analysis. TDT was analyzed as a continuous variable using a specific polynomial function to model the shape and form of the relationship. The median TDT was 8 days (interquartile range, 4-16) and was significantly longer in patients with a white blood cell count (WBC) <50 Giga per liter (G/L) (P < .0001) and in older patients (P = .0004). In multivariate analysis, TDT had no impact on overall survival (P = .4095) compared with age >60 years, secondary AML, WBC >50 G/L, European LeukemiaNet risk groups, and Eastern Cooperative Oncology Group performance status. Furthermore, TDT was not associated with response rate and early death. Thus, waiting a short period of time for laboratory tests to characterize leukemias better and design adapted therapeutic strategies at diagnosis seems possible.
Introduction
Acute myeloid leukemia (AML) is a disease induced by the oncogenic transformation of myeloid progenitors, which leads to bone marrow failure and related complications including severe infections, anemia, and bleeding. From both a clinical and genetic point of view, AML is very heterogeneous.1,2 The clinical presentation may vary from moderate and well-tolerated cytopenias to highly proliferative states with extramedullary involvement that are sometimes complicated by severe coagulopathy, leukostasis, or metabolic disturbances requiring immediate therapeutic intervention. Moreover, the increasing knowledge of AML biology has led to the establishment of the 2008 World Health Organization classification, which is a mix between morphologic features and recurrent cytogenetic or molecular abnormalities.3 An international expert panel from the European LeukemiaNet (ELN) has also recently proposed new guidelines for the management and stratification of therapies based on the strongest prognostic factors identified to date such as cytogenetic or molecular defects.4 Many groups now stratify the indication of allogeneic stem cell transplantation according to genetic subgroups: patients with AML1-ETO or CBFb-MYH11 rearrangement and patients with favorable genotype (ie, NPM1 or CEBPA mutation without FLT3-ITD mutation) are no longer referred to allogeneic stem cell transplantation at first complete response.5 Therapies targeting some specific molecular defects are being developed, such as small molecule inhibitors of the FLT3 kinase in patients harboring the FLT3-ITD mutation and all-trans retinoic acid in patients with the NPM1 mutation.6,7 Some study groups have recently designed clinical trials in which patients are stratified at diagnosis according to chromosomal abnormalities but also to specific gene mutations.8,9 Thus, there is a common trend to characterize better AML subtypes as soon as the diagnosis is made to stratify tailored therapies earlier in the treatment course. This is also exemplified by the subgroup of patients with the monosomal karyotype, who have a dismal outcome with standard treatment, including transplantation, that new approaches are specifically needed for them.10,11
The morphologic diagnosis of AML can be easily made in a few hours, but the results of cytogenetic analyses are not available for ≥1 week. This period could be even longer for some molecular analyses, although the most frequent markers such as NPM1 and FLT3-ITD mutations could be obtained in a few days. Thus, there is a dilemma between the potential benefit of genetically targeted therapy early at diagnosis and the risk of delaying the initiation of chemotherapy. This fear has recently been addressed by two North American centers in a retrospective study showing that the time from diagnosis to treatment (TDT) independently predicted survival in younger but not older patients.12 In that study, response rate and overall survival were worsened after a treatment delay of 5 days. On the basis of these results, it is commonly understood that treatment of younger AML patients should be started with minimal delay.4 Because of the limited capacity for the admission of patients in our unit and hypothesizing that many of them probably have had a TDT >5 days, our objectives were to assess the effect of TDT on overall survival, early death, and complete response in a retrospective cohort of 599 patients with AML treated with intensive chemotherapy between 2000 and 2009.
Methods
Study population and treatment
The leukemia unit of the University Hospital in Toulouse is the only certified center for the treatment of acute leukemias in the Midi-Pyrénées region (3 million inhabitants). Patients are referred by personal physicians or primary care centers and are first seen by leukemia specialists either as outpatients for rapid diagnosis and workup or directly as inpatients if urgent medical interventions are needed. Data are recorded each week according to guidelines from the Oncomip network (http://www.oncomip.org). Between Jan 1, 2000, and Dec 31, 2009, all consecutive patients with a new diagnosis of AML (excepting acute promyelocytic leukemia) were registered (N = 1117) to have a representative sample of a homogeneous management period. Among them, 474 were deemed unfit for intensive chemotherapy and were excluded from the study. We excluded patients with a TDT >90 days (n = 18) and patients with incomplete biological data (n = 26), leading to a sample of 599 patients. Before doing any analysis, we assessed the power of the study. To show a significant hazard ratio (HR) for overall survival of 1.4 or 1.5 for subjects with a TDT ≥ 5 days vs subjects with a TDT < 5 days (whose median survival time is considered to be equal to 48 weeks),12 for a 2-sided α log-rank test = 0.05, and for an allocation ratio of 1:1, 1:1.5, and 1:2 (proportion of subjects with TDT <5 days and TDT ≥5 days), 599 patients had a power ≥ 0.80. Informed consent was obtained from all patients in accordance with the Declaration of Helsinki. This study was approved by the institutional review board (Ethical Committee of Research, no. 20-0511). Patients were treated by intensive induction chemotherapy as part of, or according to, Bordeaux Grenoble Marseille Toulouse (BGMT), Groupe Ouest Est des Leucémies Aiguës et autres Maladies du Sang (GOELAMS), Groupe Francophone des Myélodysplasies (GFM), or French Core Binding Factor (CBF) Intergroup protocols.9,13-15 Gemtuzumab ozogamycin (n = 18), imatinib (n = 5), lenalidomide (n = 3), and cloretazine (n = 2) were occasionally added. Responding patients with an HLA-identical sibling (except patients with core binding factor AML) were allocated to allogeneic stem cell transplantation (alloSCT). Patients with no HLA-identical sibling received a consolidation regimen based on high-dose cytarabine (10-24 g/m2) and then autologous stem cell transplantation or three courses of high-dose cytarabine. Since 2008, patients with a favorable genotype were no longer allocated to alloSCT. After achieving a complete response, patients >60 years of age received maintenance therapy with idarubicin and low-dose cytarabine. The cytogenetic and molecular risk classifications were in accordance with the Medical Research Council and ELN classifications, respectively.4,16 Retrospective analyses of molecular abnormalities were performed from samples stored in the Hémopathies Inserm Midi Pyrénées INSERM: Institut National de la Santé et de la Recherche Médicale (HIMIP) tumor bank of the U1037 INSERM department (no. DC-2008-307-CPTP1 HIMIP).17 Pretreatment characteristics at diagnosis (age, gender, Eastern Cooperative Oncology Group (ECOG) performance status,18 secondary AML, extramedullary involvement including splenomegaly, hepatomegaly, lymphadenopathies, leukemic gingival or cutaneous infiltration, leukostasis, infection, white blood cell [WBC], platelet counts, fibrinogen level) were collected in medical files by S.B, A.S., and C.R.
Statistical analysis
Statistical analysis was performed on STATA statistical software, release 11.2 (STATA Corp., College Station, TX). We described patients’ characteristics using number and frequency for qualitative data and median, interquartile range (IQR), and range for quantitative data. We then compared TDT according to baseline characteristics using the Mann-Whitney U or Kruskall-Wallis test. TDT was defined as the number of days between diagnosis in the Toulouse University Hospital and chemotherapy initiation (n = 491) or the number of days between first bone marrow aspirate and chemotherapy initiation if the first bone marrow aspirate leading to diagnosis had been made outside of the Toulouse University Hospital (n = 108). The primary end point of the study was overall survival. For each participant, the length of follow-up corresponds to the period between the date of diagnosis and May 31, 2011 or the date of death if the patient died during the study period. The response to treatment was usually evaluated after full hematologic recovery (eg, when neutrophils and platelet counts were >1 and >100 G/L to document complete responses) or at day 35 in case of prolonged aplasia and was defined according to the international consensus criteria as complete response (CR) or complete response with incomplete blood count recovery (CRi).19 Early death was defined as death from any cause occurring between the start of chemotherapy and the response assessment. Differences in survival functions were tested using the log-rank test; differences in response rate and early death were compared between groups using the χ2 test (or Fisher’s exact test in case of small expected numbers). Multivariate analysis of response rate and early death was conducted using logistic regression and using a Cox model for overall survival. Because the linearity hypothesis was not fully respected, the following continuous variables were transformed into ordered data: age (≤60 and >60 years) and WBC (≤50 and >50 G/L). To avoid loss of information and a reduction in power, which will be introduced by the categorization of TDT, and to deal with the supposed nonlinearity in the relationship between outcomes and TDT, we explored the relationship between TDT and outcomes using the restricted cubic spline (RCS) method.20-23 RCS is a polynomial function that is piecewise defined into prespecified adjacent intervals as recommended by Harrell.22 The proportional-hazard assumption was tested for each covariate of the Cox model by the “log-log” plot method curves [(−ln{−ln(survival)}] for each category of nominal covariate vs [ln(analysis time)]. None of the assumptions could be rejected. Multivariate analyses initially included TDT together with potential confounding factors. Then we used a stepwise regression to assess variables that were significantly and independently associated with end points (P < .05). The time period effect was tested in all analyses. Interactions between TDT and the independent covariates (in particular interactions with age, WBC, or type of consolidation treatment) were tested in final logistic and survival models. We also conducted a sensitivity analysis for TDT defined as the number of days between diagnosis in Toulouse University Hospital and chemotherapy initiation using the same methodology. All reported P values were 2-sided, and the significance threshold was <.05.
Results
Patients
The characteristics of the 599 patients and the comparison of TDT according to these characteristics are presented in Table 1. The median age at diagnosis was 58 years old (range, 16-83 years; IQR, 45-68), 60% of the patients were ≤60 years of age (younger patients), and 54% were male. The percentage of patients with secondary AML was 20%, and 22% had WBC > 50 G/L. According to the Medical Research Council classification, 10%, 66%, and 24% of patients had favorable, intermediate, and adverse karyotypes, respectively. The induction chemotherapy regimens were homogeneous because 94% of patients received either daunorubicin (60 mg/m2/d for 3 days) or idarubicin (8 mg/m2/d for 5 days) in combination with standard doses of cytarabine (100 or 200 mg/m2/d for 7 days according to age). The therapeutic course of all patients is shown in Figure 1.
Characteristics of the 599 patients with newly diagnosed AML and comparison of TDT according to these characteristics
| Characteristic . | Total (n = 599) . | TDT (in days) [median (IQR)] . | P value* . |
|---|---|---|---|
| Age (years) | |||
| Median (IQR) | 58 (45-68) | ||
| Range | 16-83 | ||
| ≤60 | 358 (60) | 7 (3-14) | .0004 |
| >60 | 241 (40) | 9 (4-23) | |
| Male/female | |||
| n | 324/275 | 8(4-16)/8(3-17) | .5595 |
| Percentage | 54/46 | ||
| ECOG performance status [n (%)] | |||
| 0 | 173 (29) | 11 (6-22) | .0001 |
| 1 | 196 (33) | 8 (4-16) | |
| 2 | 65 (11) | 8 (3-16) | |
| 3-4 | 20 (3) | 5.5 (2-15) | |
| Unknown | 145 (24) | 5 (2-11) | |
| Secondary AML [n (%)] | |||
| No | 477 (80) | 11.5 (5-21) | .0037 |
| Yes | 122 (20) | 8 (3-15) | |
| Extramedullary involvement [n (%)] | |||
| No | 357 (60) | 9 (5-21) | .0001 |
| Yes | 151 (25) | 6 (2-10) | |
| Unknown | 91 (15) | 5 (2-13) | |
| Infection at diagnosis [n (%)] | |||
| No | 488 (82) | 8 (4-16) | .2325 |
| Yes | 79 (13) | 8 (5-16) | |
| Unknown | 32 (5) | 4.5 (2-15.5) | |
| Leukostasis [n (%)] | |||
| No | 562 (94) | 8 (4-18) | .0001 |
| Yes | 21 (4) | 1 (1-2) | |
| Unknown | 16 (3) | 2 (1-6) | |
| WBC (G/L) | |||
| Median (IQR) | 10.1 (3.0-41.8) | ||
| Range | 0.3-433 | ||
| ≤50 | 466 (78) | 9 (5-20) | .0001 |
| >50 | 133 (22) | 2 (1-4) | |
| Platelet count [n (%)] | |||
| <20 G/L | 55 (9) | 7 (3-12) | .2146 |
| ≥20 G/L | 536 (90) | 8 (4-17) | |
| Unknown | 8 (1) | 13 (4.5-29) | |
| Fibrinogen [n (%)] | |||
| >4 g/L | 243 (41) | 7 (3-15) | .0001 |
| 1.5-4 g/L | 225 (38) | 9 (5-18) | |
| <1.5 g/L | 18 (3) | 2.5 (1-4) | |
| Unknown | 113 (19) | 7 (4-21) | |
| Cytogenetics [n (%)] | |||
| Favorable | 61 (10) | 6 (2-10) | .0014 |
| Intermediate | 394 (66) | 8 (3-16) | |
| Adverse | 144 (24) | 9 (5-20.5) | |
| ELN [n (%)] | |||
| Favorable | 126 (21) | 6 (3-10) | .0001 |
| Intermediate I | 168 (28) | 8 (2-18) | |
| Intermediate II | 161 (27) | 9 (4-18) | |
| Adverse | 144 (24) | 9 (5-20.5) |
| Characteristic . | Total (n = 599) . | TDT (in days) [median (IQR)] . | P value* . |
|---|---|---|---|
| Age (years) | |||
| Median (IQR) | 58 (45-68) | ||
| Range | 16-83 | ||
| ≤60 | 358 (60) | 7 (3-14) | .0004 |
| >60 | 241 (40) | 9 (4-23) | |
| Male/female | |||
| n | 324/275 | 8(4-16)/8(3-17) | .5595 |
| Percentage | 54/46 | ||
| ECOG performance status [n (%)] | |||
| 0 | 173 (29) | 11 (6-22) | .0001 |
| 1 | 196 (33) | 8 (4-16) | |
| 2 | 65 (11) | 8 (3-16) | |
| 3-4 | 20 (3) | 5.5 (2-15) | |
| Unknown | 145 (24) | 5 (2-11) | |
| Secondary AML [n (%)] | |||
| No | 477 (80) | 11.5 (5-21) | .0037 |
| Yes | 122 (20) | 8 (3-15) | |
| Extramedullary involvement [n (%)] | |||
| No | 357 (60) | 9 (5-21) | .0001 |
| Yes | 151 (25) | 6 (2-10) | |
| Unknown | 91 (15) | 5 (2-13) | |
| Infection at diagnosis [n (%)] | |||
| No | 488 (82) | 8 (4-16) | .2325 |
| Yes | 79 (13) | 8 (5-16) | |
| Unknown | 32 (5) | 4.5 (2-15.5) | |
| Leukostasis [n (%)] | |||
| No | 562 (94) | 8 (4-18) | .0001 |
| Yes | 21 (4) | 1 (1-2) | |
| Unknown | 16 (3) | 2 (1-6) | |
| WBC (G/L) | |||
| Median (IQR) | 10.1 (3.0-41.8) | ||
| Range | 0.3-433 | ||
| ≤50 | 466 (78) | 9 (5-20) | .0001 |
| >50 | 133 (22) | 2 (1-4) | |
| Platelet count [n (%)] | |||
| <20 G/L | 55 (9) | 7 (3-12) | .2146 |
| ≥20 G/L | 536 (90) | 8 (4-17) | |
| Unknown | 8 (1) | 13 (4.5-29) | |
| Fibrinogen [n (%)] | |||
| >4 g/L | 243 (41) | 7 (3-15) | .0001 |
| 1.5-4 g/L | 225 (38) | 9 (5-18) | |
| <1.5 g/L | 18 (3) | 2.5 (1-4) | |
| Unknown | 113 (19) | 7 (4-21) | |
| Cytogenetics [n (%)] | |||
| Favorable | 61 (10) | 6 (2-10) | .0014 |
| Intermediate | 394 (66) | 8 (3-16) | |
| Adverse | 144 (24) | 9 (5-20.5) | |
| ELN [n (%)] | |||
| Favorable | 126 (21) | 6 (3-10) | .0001 |
| Intermediate I | 168 (28) | 8 (2-18) | |
| Intermediate II | 161 (27) | 9 (4-18) | |
| Adverse | 144 (24) | 9 (5-20.5) |
Total percentages differ from 100% because of rounding.
Mann-Whitney U test for factors with 2 levels or Kruskall-Wallis test if >2 levels.
Study profile. Between 2000 and 2009, 599 patients with nonpromyelocytic AML were treated with intensive chemotherapy within a TDT inferior to 90 days. Modalities of consolidation treatment and response are detailed. AlloSCT, allogeneic stem cell transplantation; AutoSCT, autologous stem cell transplantation; HDAC, high-dose cytarabine.
Study profile. Between 2000 and 2009, 599 patients with nonpromyelocytic AML were treated with intensive chemotherapy within a TDT inferior to 90 days. Modalities of consolidation treatment and response are detailed. AlloSCT, allogeneic stem cell transplantation; AutoSCT, autologous stem cell transplantation; HDAC, high-dose cytarabine.
Variables affecting the TDT
The median TDT was 8 days (IQR, 4-16). Notably, 378 patients (63%) had a TDT >5 days. The median TDT was significantly longer in patients with a WBC <50 G/L (9 days; IQR, 5-20 vs 2 days; IQR, 1-4 if WBC > 50 G/L, P < .0001) and in older patients (9 days; IQR, 4-23 vs 7 days; IQR, 3-14 in younger patients, P = .0004). TDT was significantly longer in the 2006 to 2009 period compared with the 2000 to 2005 period (9 days; IQR, 5-19 vs 7 days; IQR, 3-14, P < .0001). In the 378 patients who received chemotherapy >5 days after diagnosis, the main causes leading to a delayed treatment were diagnosis out of Toulouse University Hospital (25%), waiting for cytogenetics (11%), diagnosis out of the leukemia unit (12%), infection (7%), or other less common reasons (Table 2). The cause of delay could not be identified in 50% of cases.
Main causes leading to delayed chemotherapy (TDT > 5 days)
| Main cause . | Total (n = 378) [n (%)] . |
|---|---|
| Diagnosis out of Toulouse University Hospital | 93 (25) |
| Awaiting for cytogenetics | 43 (11) |
| Diagnosis out of leukemia unit | 44 (12) |
| Infection | 28 (7) |
| Awaiting for complementary tests* | 19 (5) |
| Comorbidities evaluation | 10 (3) |
| Awaiting for central line | 7 (2) |
| No symptom | 3 (1) |
| AML-related initial complications† | 8 (2) |
| Pregnancy/postpartum | 5 (1) |
| Patient choice | 4 (1) |
| Clinical trial procedure | 1 (0.3) |
| No identified cause | 189 (50) |
| Main cause . | Total (n = 378) [n (%)] . |
|---|---|
| Diagnosis out of Toulouse University Hospital | 93 (25) |
| Awaiting for cytogenetics | 43 (11) |
| Diagnosis out of leukemia unit | 44 (12) |
| Infection | 28 (7) |
| Awaiting for complementary tests* | 19 (5) |
| Comorbidities evaluation | 10 (3) |
| Awaiting for central line | 7 (2) |
| No symptom | 3 (1) |
| AML-related initial complications† | 8 (2) |
| Pregnancy/postpartum | 5 (1) |
| Patient choice | 4 (1) |
| Clinical trial procedure | 1 (0.3) |
| No identified cause | 189 (50) |
Total percentage exceeds 100% because a subject may have several causes leading to delayed chemotherapy.
Other than cytogenetics.
Other than infection.
TDT and overall survival
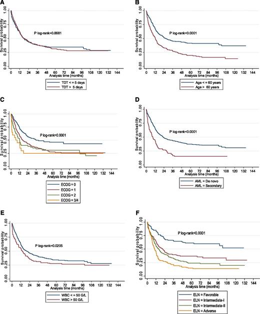
The median follow-up of the cohort was 71 months. Between Jan 1, 2000 and May 31, 2011, 397 deaths (66%) were recorded: 206 (58%) and 191 (79%) in younger and older patients, respectively. The median overall survival was 17.9 months (26.1 and 12.1 months in younger and older patients, respectively). Variables associated with overall survival (OS) in univariate analysis are shown in Table 3. As shown in Figure 2A, the nonadjusted risk of death according to TDT is U-shaped, with a nadir to day 6. Subjects with a TDT <3 days and 16 to 31 days had a risk of death significantly higher than subjects with a TDT equal to 6 days. However, after adjustment for age, secondary AML, WBC, ECOG performance status, ELN risk groups, and type of consolidation treatment, TDT was no longer associated with OS (P = .4095; Figure 2B). In multivariate analysis, risk factors for shorter OS were age >60 years (HR = 1.36; 95% confidence interval [CI]: 1.08-1.70; P = .008), secondary AML (HR = 1.51; 95% CI: 1.18-1.93; P = .001), WBC > 50 G/L (HR = 1.59; 95% CI: 1.18-2.15; P = .002), ELN risk groups (HR = 2.29, 95% CI: 1.61-3.24; HR = 2.79, 95% CI: 1.98-3.94; and HR = 3.86, 95% CI: 2.69-5.55 for intermediate I, intermediate II and adverse, respectively, compared with favorable; P < .001), ECOG performance status 1 or 2 vs 0 (HR = 1.46, 95% CI: 1.12-1.91, P = .006 and HR = 1.76, 95% CI: 1.22-2.53, P = .002, respectively). Consolidation with autologous (HR = 0.47; 95% CI: 0.30-0.76; P = .002) or allogeneic stem cell transplantation (HR = 0.63; 95% CI: 0.45-0.88; P = .007) was significantly associated with a better OS. Interactions between TDT and the independent covariates were not significant. TDT did not have an impact on OS regardless of age (younger vs older). The effect of TDT on OS in younger and older patients is shown in supplemental Figures 1 and 2 (on the Blood website). After removing cytogenetics, ELN classification, and type of consolidation from the model to solely assess clinical factors known early at diagnosis (ie, age, secondary AML, WBC, and ECOG performance status), TDT did not affect OS (P = .6069). To illustrate better the lack of impact of TDT on OS according to the cutoff of 5 days proposed by Sekeres et al,12 Kaplan-Meier curves are shown in Figure 3 (the cutoff of 5 days implies a loss of information in the description of the relationship between TDT and OS, which is better shown in Figure 2).
Univariate analysis for early death, response, and overall survival
| Variable . | n = 599 . | Early death (n = 58) . | Response CR/CRi (n = 432) . | Overall survival (months) . | |||
|---|---|---|---|---|---|---|---|
| n (%) . | P value* . | n (%) . | P value* . | Median survival . | P value† . | ||
| TDT (days) | .4134‡ | .9048‡ | .1048‡ | ||||
| 1 | 63 | 11 (17.5) | 39 (61.9) | 12.0 | |||
| 2 | 52 | 7 (13.5) | 40 (76.9) | 18.2 | |||
| 3-4 | 65 | 4 (6.2) | 50 (76.9) | 21.2 | |||
| 5-6 | 68 | 4 (5.9) | 52 (76.5) | 27.7 | |||
| 7-10 | 124 | 10 (8.1) | 85 (68.5) | 15.5 | |||
| >10 | 227 | 22 (9.7) | 166 (73.1) | 21.6 | |||
| Age (years) | .0010 | .0018 | <.0001 | ||||
| ≤60 | 358 | 23 (6.4) | 275 (76.8) | 26.1 | |||
| >60 | 241 | 35 (14.5) | 157 (65.1) | 12.1 | |||
| ECOG performance status | .0001 | .0002 | .0001 | ||||
| 0 | 173 | 7 (4.0) | 144 (83.2) | 35.7 | |||
| 1 | 196 | 14 (7.1) | 145 (74.0) | 16.6 | |||
| 2 | 65 | 9 (13.8) | 41 (63.1) | 12.3 | |||
| 3-4 | 20 | 6 (30.0) | 12 (60.0) | 6.9 | |||
| Secondary AML | .0005 | <.0001 | <.0001 | ||||
| De novo | 477 | 36 (7.5) | 366 (76.7) | 23.0 | |||
| Secondary | 122 | 22 (18.0) | 66 (54.1) | 8.6 | |||
| Extramedullary involvement [n (%)] | <.0001 | <.0001 | .0004 | ||||
| No | 357 | 19 (5.3) | 281 (78.7) | 23.7 | |||
| Yes | 151 | 16 (10.6) | 103 (68.2) | 13.5 | |||
| Leukostasis [n (%)] | <.0001 | <.0001 | <.0001 | ||||
| No | 562 | 44 (7.8) | 416 (74.0) | 19.7 | |||
| Yes | 21 | 10 (47.6) | 6 (28.6) | 1.0 | |||
| WBC (G/L) | <.0001 | .0166 | .0205 | ||||
| ≤50 | 466 | 31 (6.7) | 347 (74.5) | 20.1 | |||
| >50 | 133 | 27 (20.3) | 85 (63.9) | 14.2 | |||
| Fibrinogen [n (%)] | .1154 | .4325 | .0115 | ||||
| >4 g/L | 243 | 22 (9.1) | 175 (72.0) | 16.2 | |||
| 1.5-4 g/L | 225 | 21 (9.3) | 163 (72.4) | 21.2 | |||
| <1.5 g/L | 18 | 5 (27.8) | 10 (55.6) | 19.1 | |||
| Cytogenetics | .0527 | <.0001 | <.0001 | ||||
| Favorable | 61 | 2 (3.3) | 58 (95.1) | NR | |||
| Intermediate | 394 | 46 (11.7) | 286 (72.6) | 20.7 | |||
| Adverse | 144 | 10 (6.9) | 88 (61.1) | 9.5 | |||
| ELN | .1432 | <.0001 | <.0001 | ||||
| Favorable | 126 | 8 (6.3) | 114 (90.5) | NR | |||
| Intermediate I | 168 | 19 (11.3) | 120 (71.4) | 20.8 | |||
| Intermediate II | 161 | 21 (13.0) | 110 (68.3) | 15.4 | |||
| Adverse | 144 | 10 (6.9) | 88 (61.1) | 9.5 | |||
| Variable . | n = 599 . | Early death (n = 58) . | Response CR/CRi (n = 432) . | Overall survival (months) . | |||
|---|---|---|---|---|---|---|---|
| n (%) . | P value* . | n (%) . | P value* . | Median survival . | P value† . | ||
| TDT (days) | .4134‡ | .9048‡ | .1048‡ | ||||
| 1 | 63 | 11 (17.5) | 39 (61.9) | 12.0 | |||
| 2 | 52 | 7 (13.5) | 40 (76.9) | 18.2 | |||
| 3-4 | 65 | 4 (6.2) | 50 (76.9) | 21.2 | |||
| 5-6 | 68 | 4 (5.9) | 52 (76.5) | 27.7 | |||
| 7-10 | 124 | 10 (8.1) | 85 (68.5) | 15.5 | |||
| >10 | 227 | 22 (9.7) | 166 (73.1) | 21.6 | |||
| Age (years) | .0010 | .0018 | <.0001 | ||||
| ≤60 | 358 | 23 (6.4) | 275 (76.8) | 26.1 | |||
| >60 | 241 | 35 (14.5) | 157 (65.1) | 12.1 | |||
| ECOG performance status | .0001 | .0002 | .0001 | ||||
| 0 | 173 | 7 (4.0) | 144 (83.2) | 35.7 | |||
| 1 | 196 | 14 (7.1) | 145 (74.0) | 16.6 | |||
| 2 | 65 | 9 (13.8) | 41 (63.1) | 12.3 | |||
| 3-4 | 20 | 6 (30.0) | 12 (60.0) | 6.9 | |||
| Secondary AML | .0005 | <.0001 | <.0001 | ||||
| De novo | 477 | 36 (7.5) | 366 (76.7) | 23.0 | |||
| Secondary | 122 | 22 (18.0) | 66 (54.1) | 8.6 | |||
| Extramedullary involvement [n (%)] | <.0001 | <.0001 | .0004 | ||||
| No | 357 | 19 (5.3) | 281 (78.7) | 23.7 | |||
| Yes | 151 | 16 (10.6) | 103 (68.2) | 13.5 | |||
| Leukostasis [n (%)] | <.0001 | <.0001 | <.0001 | ||||
| No | 562 | 44 (7.8) | 416 (74.0) | 19.7 | |||
| Yes | 21 | 10 (47.6) | 6 (28.6) | 1.0 | |||
| WBC (G/L) | <.0001 | .0166 | .0205 | ||||
| ≤50 | 466 | 31 (6.7) | 347 (74.5) | 20.1 | |||
| >50 | 133 | 27 (20.3) | 85 (63.9) | 14.2 | |||
| Fibrinogen [n (%)] | .1154 | .4325 | .0115 | ||||
| >4 g/L | 243 | 22 (9.1) | 175 (72.0) | 16.2 | |||
| 1.5-4 g/L | 225 | 21 (9.3) | 163 (72.4) | 21.2 | |||
| <1.5 g/L | 18 | 5 (27.8) | 10 (55.6) | 19.1 | |||
| Cytogenetics | .0527 | <.0001 | <.0001 | ||||
| Favorable | 61 | 2 (3.3) | 58 (95.1) | NR | |||
| Intermediate | 394 | 46 (11.7) | 286 (72.6) | 20.7 | |||
| Adverse | 144 | 10 (6.9) | 88 (61.1) | 9.5 | |||
| ELN | .1432 | <.0001 | <.0001 | ||||
| Favorable | 126 | 8 (6.3) | 114 (90.5) | NR | |||
| Intermediate I | 168 | 19 (11.3) | 120 (71.4) | 20.8 | |||
| Intermediate II | 161 | 21 (13.0) | 110 (68.3) | 15.4 | |||
| Adverse | 144 | 10 (6.9) | 88 (61.1) | 9.5 | |||
NR, not reached.
χ2 test (or Fisher’s exact test in case of small expected numbers).
Log-rank test.
P value for restricted cubic spline method.
Estimated HR of death for each day delaying chemotherapy initiation. (A) RCS method shows the nonadjusted HR of death for each value of TDT compared with day 6. For example, the nonadjusted HR of death for a TDT of 1 day is equal to 1.38 (95% CI: 1.03-1.86) compared with day 6 according to the RCS method. The locations of the 4 knots used in the RCS method are 1, 5, 12, and 42 days (corresponding, respectively, to the 5th, 35th, 65th, and 95th percentile of the TDT).22 (B) RCS method shows the adjusted* estimated hazard ratio of death for each value of TDT compared with day 6. *Adjusted for age (HR = 1.36; 95% CI: 1.08-1.70; P = .008 for subjects >60 vs ≤60 years), ECOG performance status (HR = 1.46, 95% CI: 1.12-1.91, P = .006; HR = 1.76, 95% CI: 1.22-2.53, P = .002; and HR = 1.73, 95% CI: 0.97-3.07, P = .062, respectively, for ECOG 1, 2, and 3/4 vs 0), secondary AML (HR = 1.51; 95% CI: 1.18-1.93; P = .001 compared with de novo AML), WBC (HR = 1.59; 95% CI: 1.18-2.15; P = .002 for subjects >50 vs ≤50 G/L), ELN classification (HR = 2.29, 95% CI: 1.61-3.24, P < .001; HR = 2.79, 95% CI: 1.98-3.94, P < .001; and HR = 3.86, 95% CI: 2.69-5.55, P < .001, respectively, for intermediate I, intermediate II, and adverse vs favorable), and consolidation (HR = 0.47, 95% CI: 0.30-0.76, P = .002 and HR = 0.63, 95% CI: 0.45-0.88, P = .007, respectively, for autologous stem cell transplantation and allogeneic stem cell transplantation vs high-dose cytarabine only).
Estimated HR of death for each day delaying chemotherapy initiation. (A) RCS method shows the nonadjusted HR of death for each value of TDT compared with day 6. For example, the nonadjusted HR of death for a TDT of 1 day is equal to 1.38 (95% CI: 1.03-1.86) compared with day 6 according to the RCS method. The locations of the 4 knots used in the RCS method are 1, 5, 12, and 42 days (corresponding, respectively, to the 5th, 35th, 65th, and 95th percentile of the TDT).22 (B) RCS method shows the adjusted* estimated hazard ratio of death for each value of TDT compared with day 6. *Adjusted for age (HR = 1.36; 95% CI: 1.08-1.70; P = .008 for subjects >60 vs ≤60 years), ECOG performance status (HR = 1.46, 95% CI: 1.12-1.91, P = .006; HR = 1.76, 95% CI: 1.22-2.53, P = .002; and HR = 1.73, 95% CI: 0.97-3.07, P = .062, respectively, for ECOG 1, 2, and 3/4 vs 0), secondary AML (HR = 1.51; 95% CI: 1.18-1.93; P = .001 compared with de novo AML), WBC (HR = 1.59; 95% CI: 1.18-2.15; P = .002 for subjects >50 vs ≤50 G/L), ELN classification (HR = 2.29, 95% CI: 1.61-3.24, P < .001; HR = 2.79, 95% CI: 1.98-3.94, P < .001; and HR = 3.86, 95% CI: 2.69-5.55, P < .001, respectively, for intermediate I, intermediate II, and adverse vs favorable), and consolidation (HR = 0.47, 95% CI: 0.30-0.76, P = .002 and HR = 0.63, 95% CI: 0.45-0.88, P = .007, respectively, for autologous stem cell transplantation and allogeneic stem cell transplantation vs high-dose cytarabine only).
Kaplan-Meier estimates of overall survival. Overall survival according to (A) time from diagnosis to treatment (with a cutoff of 5 days), (B) age, (C) ECOG performance status, (D) AML status (secondary vs de novo), (E) white blood cell count, and (F) ELN classification.
Kaplan-Meier estimates of overall survival. Overall survival according to (A) time from diagnosis to treatment (with a cutoff of 5 days), (B) age, (C) ECOG performance status, (D) AML status (secondary vs de novo), (E) white blood cell count, and (F) ELN classification.
TDT, early deaths, and response to therapy
Among the 397 deaths recorded during the follow-up, there were 58 early deaths. Variables associated with early death in univariate analysis are shown in Table 3. TDT was not significantly associated with early death, both in nonadjusted analysis (P = .4134) and after adjustment for age (>60 vs ≤60 years), ECOG performance status, secondary AML, ELN classification, and WBC (>50 vs ≤50 G/L; P = .1544; Figure 4). Interactions between TDT and the independent covariates were not significant. TDT did not have an impact on early death regardless of age (younger vs older). The effect of TDT on early death in younger and older patients is shown in supplemental Figure 3. CR or CRi was obtained in 432 patients (72%). Variables associated with response rate in univariate analysis are shown in Table 3. Interaction between TDT and age and interaction between TDT and WBC were significant, and analyses were stratified from age (>60 vs ≤60 years) and WBC (>50 vs ≤50 G/L). After adjustment for ECOG performance status, secondary AML, and ELN classification, TDT was not significantly associated with response rate (P = .5840 for younger patients with WBC ≤ 50 G/L; P = .7127 for older patients with WBC ≤ 50 G/L; P = .8993 for younger patients with WBC > 50 G/L; P = .9518 for older patients with WBC > 50 G/L; Figure 5). The sensitivity analysis considering TDT as the number of days between diagnosis in Toulouse University Hospital and chemotherapy initiation did not change the results.
Estimated probability of early death for each day delaying chemotherapy initiation. The graph shows the estimated probability of early death for each value of TDT, adjusted* for the mean of all other variables of the model. The locations of the 3 knots used in the RCS method are 1, 8, and 32 days (corresponding, respectively, to the 10th, 50th, and 90th percentile of the TDT).22 *Adjusted for age (odds ratio [OR] = 2.41; 95% CI: 1.32-4.39; P = .004 for subjects >60 vs ≤60 years), ECOG performance status (OR = 1.87, 95% CI: 0.70-4.99, P = .213; OR = 3.23, 95% CI: 1.07-9.74, P = .037; and OR = 8.40, 95% CI: 2.20-32.0, P = .002, respectively, for ECOG 1, 2, and 3/4 vs 0), secondary AML (OR = 2.84; 95% CI: 1.48-5.46; P = .002 compared with de novo AML), WBC (OR = 4.48; 95% CI: 2.11-9.52; P < .001) for subjects >50 vs ≤50 G/L), and ELN classification (OR = 1.42, 95% CI: 0.56-3.62, P = .458; OR = 1.83, 95% CI: 0.71-4.71, P = .208; and OR = 0.78, 95% CI: 0.26-2.34, P = .659, respectively, for intermediate I, intermediate II, and adverse vs favorable).
Estimated probability of early death for each day delaying chemotherapy initiation. The graph shows the estimated probability of early death for each value of TDT, adjusted* for the mean of all other variables of the model. The locations of the 3 knots used in the RCS method are 1, 8, and 32 days (corresponding, respectively, to the 10th, 50th, and 90th percentile of the TDT).22 *Adjusted for age (odds ratio [OR] = 2.41; 95% CI: 1.32-4.39; P = .004 for subjects >60 vs ≤60 years), ECOG performance status (OR = 1.87, 95% CI: 0.70-4.99, P = .213; OR = 3.23, 95% CI: 1.07-9.74, P = .037; and OR = 8.40, 95% CI: 2.20-32.0, P = .002, respectively, for ECOG 1, 2, and 3/4 vs 0), secondary AML (OR = 2.84; 95% CI: 1.48-5.46; P = .002 compared with de novo AML), WBC (OR = 4.48; 95% CI: 2.11-9.52; P < .001) for subjects >50 vs ≤50 G/L), and ELN classification (OR = 1.42, 95% CI: 0.56-3.62, P = .458; OR = 1.83, 95% CI: 0.71-4.71, P = .208; and OR = 0.78, 95% CI: 0.26-2.34, P = .659, respectively, for intermediate I, intermediate II, and adverse vs favorable).
Estimated probability of induction failure for each day delaying chemotherapy initiation. (A-D) Estimated adjusted probability of induction failure. Interaction between TDT and age and interaction between TDT and WBC were significant, and analyses were stratified by age (>60 vs ≤60 years) and WBC (>50 vs ≤50 G/L). (A-B) Estimated probability of induction failure in subjects with WBC ≤50 G/L for each value of TDT, adjusted** for the mean of all other variables of the model in (A) younger patients (≤60 years, n = 276) and (B) older patients (>60 years, n = 190). The locations of the 3 knots used in the RCS method are 3, 9, and 35 days (corresponding, respectively, to the 10th, 50th, and 90th percentile of the TDT).22 **Adjusted for ECOG performance status (OR = 1.75, 95% CI: 0.98-3.13, P = .058; OR = 2.81, 95% CI: 1.32-5.99, P = .007; and OR = 4.64, 95% CI: 1.17-18.39, P = .029, respectively, for ECOG 1, 2, and 3/4 vs 0), secondary AML (OR = 1.65; 95% CI: 0.99-2.74; P = .053 compared with de novo AML), ELN classification (OR = 2.06, 95% CI: 0.85-4.98, P = .107; OR = 3.83, 95% CI: 1.64-8.94, P = .002; and OR = 4.70, 95% CI: 2.00-11.04, P < .001, respectively, for intermediate I, intermediate II, and adverse vs favorable), and the interaction between TDT and age (>60 vs ≤60 years). (C-D) Estimated probability of induction failure in subjects with WBC >50 G/L for each value of TDT, adjusted*** for the mean of all other variables of the model in (C) younger patients (≤60 years, n = 82) and (D) older patients (>60 years, n = 51). The locations of the 3 knots used in the RCS method are 1, 2, and 10 days (corresponding, respectively, to the 10th, 50th, and 90th percentile of TDT).22 ***Adjusted for ECOG performance status (OR = 4.55, 95% CI: 0.56-36.7, P = .155; OR = 7.57, 95% CI: 0.76-74.9, P = .084; and OR = 4.75, 95% CI: 0.33-68.7, P = .253, respectively, for ECOG 1, 2, and 3/4 vs 0), secondary AML (OR = 20.57; 95% CI: 4.32-97.8; P < .001 compared with de novo AML), ELN classification (OR = 8.53, 95% CI: 2.17-33.5, P = .002; OR = 3.04, 95% CI: 0.66-14.0, P = .154; and OR = 4.94, 95% CI: 0.83-29.6, P = .080, respectively, for intermediate I, intermediate II, and adverse vs favorable), and the interaction between TDT and age (>60 vs ≤60 years).
Estimated probability of induction failure for each day delaying chemotherapy initiation. (A-D) Estimated adjusted probability of induction failure. Interaction between TDT and age and interaction between TDT and WBC were significant, and analyses were stratified by age (>60 vs ≤60 years) and WBC (>50 vs ≤50 G/L). (A-B) Estimated probability of induction failure in subjects with WBC ≤50 G/L for each value of TDT, adjusted** for the mean of all other variables of the model in (A) younger patients (≤60 years, n = 276) and (B) older patients (>60 years, n = 190). The locations of the 3 knots used in the RCS method are 3, 9, and 35 days (corresponding, respectively, to the 10th, 50th, and 90th percentile of the TDT).22 **Adjusted for ECOG performance status (OR = 1.75, 95% CI: 0.98-3.13, P = .058; OR = 2.81, 95% CI: 1.32-5.99, P = .007; and OR = 4.64, 95% CI: 1.17-18.39, P = .029, respectively, for ECOG 1, 2, and 3/4 vs 0), secondary AML (OR = 1.65; 95% CI: 0.99-2.74; P = .053 compared with de novo AML), ELN classification (OR = 2.06, 95% CI: 0.85-4.98, P = .107; OR = 3.83, 95% CI: 1.64-8.94, P = .002; and OR = 4.70, 95% CI: 2.00-11.04, P < .001, respectively, for intermediate I, intermediate II, and adverse vs favorable), and the interaction between TDT and age (>60 vs ≤60 years). (C-D) Estimated probability of induction failure in subjects with WBC >50 G/L for each value of TDT, adjusted*** for the mean of all other variables of the model in (C) younger patients (≤60 years, n = 82) and (D) older patients (>60 years, n = 51). The locations of the 3 knots used in the RCS method are 1, 2, and 10 days (corresponding, respectively, to the 10th, 50th, and 90th percentile of TDT).22 ***Adjusted for ECOG performance status (OR = 4.55, 95% CI: 0.56-36.7, P = .155; OR = 7.57, 95% CI: 0.76-74.9, P = .084; and OR = 4.75, 95% CI: 0.33-68.7, P = .253, respectively, for ECOG 1, 2, and 3/4 vs 0), secondary AML (OR = 20.57; 95% CI: 4.32-97.8; P < .001 compared with de novo AML), ELN classification (OR = 8.53, 95% CI: 2.17-33.5, P = .002; OR = 3.04, 95% CI: 0.66-14.0, P = .154; and OR = 4.94, 95% CI: 0.83-29.6, P = .080, respectively, for intermediate I, intermediate II, and adverse vs favorable), and the interaction between TDT and age (>60 vs ≤60 years).
Discussion
In this study, we did not find any harmful signs concerning the effect of time from diagnosis to treatment on overall survival, early death, and response rate in younger and older patients with newly diagnosed AML treated by intensive chemotherapy. The prognostic impact of TDT, if any, was offset by other more powerful prognostic factors such as age, secondary AML, and cytogenetic and molecular abnormalities. Our results contrast with those of Sekeres et al,12 who found that delaying intensive chemotherapy >5 days after diagnosis could be detrimental for younger AML patients. In our study, we found much less secondary AML (20% vs 45%) in both younger and older patients, even though the repartition of cytogenetic groups was comparable. The other main difference resides in the chemotherapy regimen. For induction therapy, we invariably used daunorubicin (180 mg/m2) or idarubicin (40 mg/m2) in combination with standard-dose cytarabine. In contrast, induction chemotherapies were variable in the study of Sekeres et al,12 with several modalities of cytarabine administration, other compounds than anthracyclines (such as topotecan, cyclophosphamide, or clofarabine) used in combination with cytarabine, and no description of the dose of daunorubicin, which is crucial for complete response and overall survival.24,25 Last, we have no information on the modalities of consolidation therapies and the proportion of patients receiving allogeneic stem cell transplantation.
The current assertion that AML is an oncologic emergency is generally accepted. However, true early emergencies such as coagulopathy, leukostasis with respiratory distress syndrome, or tumor lysis syndrome requiring specific therapy in the hours after diagnosis are not as frequent. In our study, this may have included <10% of patients. The level of hyperleukocytosis is a recognized factor of early death. However, not all patients with a high WBC display the so-called leukostasis syndrome, which is the most serious complication correlated to early death. The incidence of pulmonary or central nervous system leukostasis is ∼30% in patients with WBC >100 G/L.26 Further, most patients with a high WBC respond well to oral hydroxyurea before starting induction chemotherapy.27 Thus, we decided not to exclude those patients with a WBC > 50 G/L as was the case in the study of Sekeres et al.12 In our study, about one-quarter of patients with hyperleukocytosis received hydroxyurea for a median time of 5 days. Although the TDT was shorter in those patients, some of them had a delayed TDT without an apparent worse outcome. Whether hydroxyurea could offer a short delay between diagnosis and initiation of chemotherapy remains to be fully studied.
It was difficult to analyze exhaustively the factors that contributed to delayed chemotherapy. First of all, we must emphasize that the decision to postpone the initiation of intensive chemotherapy was made by leukemia specialists in agreement with personal physicians, primary care centers, and patients. We acknowledge that if patients were just made to wait for several days without careful analysis of their clinical presentations, the outcome could have been different. Since 2006, we have been waiting for the results of cytogenetics before enrolling patients in prospective trials designed for CBF, intermediate and high-risk AML. Thus, our cytogenetic laboratory has to report results within 5 days. This could partly explain the difference in median TDT between the 2 periods. The time period effect was tested in all analyses and was not significant. Several other points in the organization of care need to be taken into account when assessing the TDT. Chemotherapy is usually performed in tertiary care facilities most often located in big cities. Although this has not yet been studied in AML, it implies unavoidable geographical inequalities toward access to care for patients residing far from tertiary centers. We were able to determine that the median TDT for the 108 patients from the Midi-Pyrénées region who had a diagnosis before coming to our center was 16 days. The outcome of these patients did not differ from those diagnosed in the university hospital (not shown). The organization of care also requires the placement of a central catheter or sperm conservation for fertility sparing before chemotherapy exposure. Furthermore, as prognosis is recognized to be poorer in elderly patients, both patients and physicians may also request time for decision-making before choosing intensive chemotherapy.28 Finally, early complications, such as severe infections, could also delay chemotherapy initiation. Overall, a causal factor could not be identified in half of the cases, and in fact, the main reason for delay in chemotherapy initiation was the chronic overload of the leukemia unit.
It is unlikely that a randomized trial addressing the effect of TDT would be undertaken. Therefore, studies from other centers relating their own experience are needed. Because personalized therapies based on genetic features of AML are going to be developed, it is fundamental to have a clear vision of the impact of TDT on the outcome of AML patients. Although AML remains an oncologic emergency, our study suggests that, except for specific conditions, it does not seem unreasonable to wait for specialized laboratory tests to characterize better the leukemias and design new therapeutic strategies.
The online version of this article contains a data supplement.
The publication costs of this article were defrayed in part by page charge payment. Therefore, and solely to indicate this fact, this article is hereby marked “advertisement” in accordance with 18 USC section 1734.
Acknowledgments
The authors thank all the clinicians of the Oncomip Network who referred their patients and all the nurses and other health care providers from the Hematology Department of Toulouse University Hospital. The authors also thank Sarah Scotland and Karine Nguyen for the correction of the manuscript.
Authorship
Contribution: S.B. collected and analyzed data and wrote the paper; E.B. performed statistical analysis and wrote the paper; F.H., A.H., and G.L. treated patients; S.T. and F.V. collected data; S.D. and N.D. performed cytogenetic studies; E. Delabesse and V.M.-D.M. performed molecular analysis; E. Duchayne; C.D. and V.M.-D.M. performed cytologic analysis; A.S. collected data; V.L.-C. managed statistical analysis and corrected the paper; M.A. analyzed data; C.R. treated patients, collected and analyzed data, and wrote the paper. All the authors checked the final version of the manuscript.
Conflict-of-interest disclosure: The authors declare no competing financial interests.
Correspondence: Christian Récher, Service d’Hématologie, CHU de Toulouse, Hôpital Purpan, place du Dr Baylac, 31059 Toulouse cedex 9, France; e-mail: recher.c@chu-toulouse.fr.



![Figure 4. Estimated probability of early death for each day delaying chemotherapy initiation. The graph shows the estimated probability of early death for each value of TDT, adjusted* for the mean of all other variables of the model. The locations of the 3 knots used in the RCS method are 1, 8, and 32 days (corresponding, respectively, to the 10th, 50th, and 90th percentile of the TDT).22 *Adjusted for age (odds ratio [OR] = 2.41; 95% CI: 1.32-4.39; P = .004 for subjects >60 vs ≤60 years), ECOG performance status (OR = 1.87, 95% CI: 0.70-4.99, P = .213; OR = 3.23, 95% CI: 1.07-9.74, P = .037; and OR = 8.40, 95% CI: 2.20-32.0, P = .002, respectively, for ECOG 1, 2, and 3/4 vs 0), secondary AML (OR = 2.84; 95% CI: 1.48-5.46; P = .002 compared with de novo AML), WBC (OR = 4.48; 95% CI: 2.11-9.52; P < .001) for subjects >50 vs ≤50 G/L), and ELN classification (OR = 1.42, 95% CI: 0.56-3.62, P = .458; OR = 1.83, 95% CI: 0.71-4.71, P = .208; and OR = 0.78, 95% CI: 0.26-2.34, P = .659, respectively, for intermediate I, intermediate II, and adverse vs favorable).](https://ash.silverchair-cdn.com/ash/content_public/journal/blood/121/14/10.1182_blood-2012-09-454553/4/m_2618f4.jpeg?Expires=1765033314&Signature=3wsvfkexpIodlT88pafyIQOlwvJtueE1Z30SoLhqHRAM4VTAcS6Z4iGQMtReVPbPcAVs0WMUWejaPogFZdMr3VbnOY2oGuybLNcXkKKuiGUWKHAYGqDCFNM1Ei~q4UZv8r9NK9X1NdcNrRSqQ-WpLw~0gnfiDhYe5idSWvcZvPCtDP-t4MrzU2EW~OaIWvHPbua4UYnfrNjwn9DOt2mZvtIBryCwy-OCuY4OH~hql2YMiwNaJY9CDQP18EKx1yB5yjQ-~fizsrfjPvK7IYQ4MU6njE9bf-QTYOHXOI2RWNTeUZUPJ5mfKtmFyubyLQqPzezIPEdbQX~3oC8Xyau82A__&Key-Pair-Id=APKAIE5G5CRDK6RD3PGA)
