Abstract
Abstract 4832
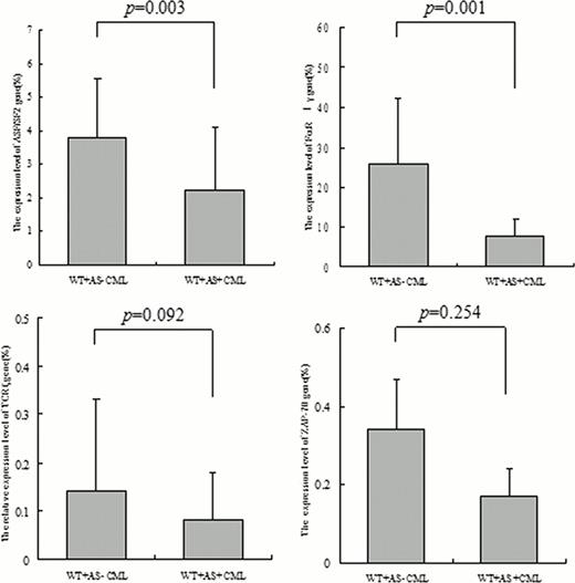
T-cell immunodeficiency is a common feature in patients with chronic myeloid leukemia (CML), and deficiency in CD3 levels was detected in T cells from these patients, which may represent a characteristic that is related to lower T cell activation. Based on our previous finding that the expression level of the TCRζ chain gene was decreased significantly in CML, we further investigated the expression pattern of the TCRζ regulating factors. TCRζ 3′ untranslated region (3′-UTR) and the alternative splicing factor/splicing factor 2 (ASF/SF-2), to evaluate the regulating effect of ASF/SF-2 on the formation of TCRζ 3′-UTR. Moreover, the expression levels and the correlations of the FcεRIγ gene, which has a complementary to TCRζ, and the TCRζ downstream ZAP-70 gene, were analyzed. The TCRζ 3′-UTR were amplified from peripheral blood mononuclear cells (PBMCs) in 14 healthy individuals, 40 cases with CML and 22 cases with CML-CR by RT-PCR, and the splice variants of TCRζ 3′-UTR were identified. The expression levels of TCRζ, FcεRIγ, ASF/SF-2 gene and ZAP-70 gene were analyzed by real-time quantitative PCR. The results showed that two types of spliceosome: wild typed TCRζ 3′-UTR (906 bp) and alternative spliced TCRζ 3′-UTR (344 bp) could be detected in all healthy individuals. However, 35% of CML cases contained only the wild typed TCRζ 3′-UTR, which was significantly different from healthy individuals and CML-CR groups (p<0.001, p<0.001). The expression of TCRζ gene in CML group was significantly lower than healthy individuals and CML-CR groups (p=0.001,p<0.001), while significantly higher expression of FcεRIγ gene(p<0.001,p<0.001)and ASF/SF-2 (p=0.016,p<0.001) were found in CML group. According to the TCRζ 3′-UTR spliceosome feature, the CML patients were divided in two subgroups, patients who contained only the wild typed TCRζ 3′-UTR named as WT+AS− CML group, and patients who contained two types of TCRζ 3′-UTR named as WT+AS+ CML group. Significantly higher expression levels of ASF/SF-2 and FcεRIγ genes were found in WT+AS−CML group in comparison with WT+AS+ CML group (p=0.003,p=0.001), while the expression levels of TCRζ and ZAP-70 were decreased in WT+AS−CML group (Fig 1). In conclusions, the defective expression of TCRζ in CML might relate to the overexpression of ASF/SF2, which alternatively spliced the expression of TCRζ3′-UTR. The upregulation of FcεRIγ gene may overcome the defective status of TCRζ in a certain degree.
Different expression pattern of ASF/SF-2, TCRζ, ZAP-70 and FcεRIγ genes in WT+AS-CML and WT+AS+CML.
Different expression pattern of ASF/SF-2, TCRζ, ZAP-70 and FcεRIγ genes in WT+AS-CML and WT+AS+CML.
Chen:Fundamental Research Funds for the Central Universities (No. 21611447, 21612116): Research Funding. Li:Fundamental Research Funds for the Central Universities (No. 21611447, 21612116): Research Funding; Natural Science Foundation of Guangdong Province, China (No. 9251063201000001): Research Funding; National Natural Science Foundation of China (No. 81100353): Research Funding; Medical Science Foundation of Guangdong Province (A2011325): Research Funding.
The work was supported by Grants from the National Natural Science Foundation of China (No. 81100353), the Natural Science Foundation of Guangdong Province, China (No. 9251063201000001), the Fundamental Research Funds for the Central Universities (No. 21611447, 21612116) and the Medical Science Foundation of Guangdong Province (A2011325).
Author notes
These authors contributed equally to this work.

This feature is available to Subscribers Only
Sign In or Create an Account Close Modal