Abstract
Abstract 3068
Advanced age is becoming less of a barrier to allogeneic hematopoietic cell transplantation (HCT) and transplantation has become an established standard of care for many older patients (pts) with hematologic malignancies. We previously reported superior quality of life (QOL) scores in pts age 60 and over undergoing high dose chemotherapy and autologous stem cell transplant compared with pts less than 60 (Dabney J et al, Blood 2008 112: Abstract 2381). These data prompted us to evaluate QOL assessments in pts≥60 undergoing allogeneic HCT compared to pts<60 years.
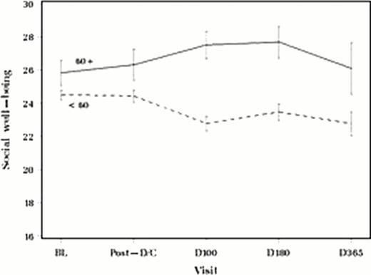
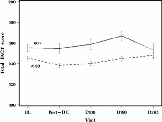
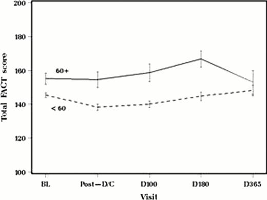
435 adult pts underwent allogeneic HCT from June 2003 to December 2010. Prospective psychometric instruments were administered to 304 pts <60 years of age (median 47, range 18–59) and 47 pts≥60 years of age (median 62, range 60–70) with acute myeloid leukemia, myelodysplastic syndrome, acute lymphoblastic leukemia, non-Hodgkins lymphoma, Hodgkins disease, myeloproliferative neoplasms, aplastic anemia, and plasma cell neoplasms. Psychometric data was assessed longitudinally (at baseline, first post-discharge visit, day 100, 180, and 365) by validated questionnaires: Functional Assessment of Cancer Therapy-Bone Marrow Transplant (FACT-BMT), coping inventory (Brief COPE), and the Profile of Mood State- Short Form (POMS). The FACT-BMT measures five components of QOL: physical well being (PWB), social well being (SWB), emotional well being (EWB), functional well being (FWB), and additional concerns (AC). The POMS measures depression, vigor, anger, tension, confusion and fatigue. Brief COPE has 14 coping skills, such as use of emotional and instrumental support, venting, and positive reframing. Secondary endpoints included overall survival (OS), relapse-free survival (RFS), incidence of acute and chronic graft versus host disease (GVHD), and relapse. Imbalances between the two groups (p<0.01 for all) included comorbidity index (HCT-CI), (62% of pts<60 with a comorbid score of >1 compared to 74% in pts≥60), preparative regimen, (84% myeloablative in pts <60, 21% in pts ≥60%), and source of hematopoietic cells, (29% peripheral stem cells in pts<60 versus 72% in pts≥60), with a higher median CD34+ cell dose (4.51×106/kg in pts≥60) compared with pts<60 (2.51×106/kg).
Psychosocial functioning and QOL differences were compared between age groups over time by repeated measures analysis of variance, using intensity of transplant as a variable given the imbalance. On FACT, pts≥60 reported better social (p=0.006) and functional well being (p=0.05), and had better total FACT scores, (p=0.043) across all time points. On POMS, pts≥60 reported less fatigue than patients<60 (p=0.01), while COPE assessment indicated that older pts reported worse use of planning (p=0.012) and humor (p=0.041) compared with younger pts. Pts≥60 years also reported worse scores for active coping, but only at day 365 (p=0.019), and scored worse on behavioral disengagement at the first post-transplant time point (p=0.016), but this difference became non-significant by day 100 (p=0.81). With a median follow up of 49 months, there were no significant differences in OS, RFS, relapse, or chronic GVHD. There was a lower incidence of grade 3–4 acute GVHD in pts≥60 compared to pts<60, (6.4% versus 15.8% at 6 months, p=0.016).
This study provides further evidence that advanced age should not be a barrier in the decision to pursue allogeneic HCT. Older pts achieved better total scores in QOL assessments when compared to younger pts. One can hypothesize that older pts are more likely to have experienced adversity or family and personal health related problems, making them better able to endure symptoms than younger pts. In addition, younger pts may be more affected due to non-health related concerns including the adverse effect of transplantation on their careers, family, and finances. While our older population has proven to have similar medical outcomes and improved QOL, younger pts may benefit from social work interventions that focus on adapting to changes in functioning and social well-being.
No relevant conflicts of interest to declare.
Author notes
Asterisk with author names denotes non-ASH members.



This feature is available to Subscribers Only
Sign In or Create an Account Close Modal