Abstract
Abstract 1941
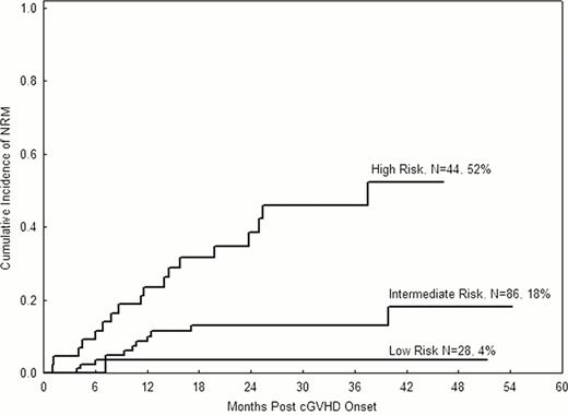
Chronic graft versus host disease (cGVHD) is a major contributor to morbidity and mortality in long-term survivors of allogeneic hematopoietic cell transplantation (HCT). The treatment course is heterogeneous and unpredictable, and a prognostic system at the time of disease onset is highly desirable. Current systems were not developed for disease onset (Arai, Blood, 2011), or used the limited/extensive classification (Arora, Blood, 2011). In addition, utilization of these systems is time consuming, complex, and practice variation can lead to inconsistent application. We developed a simple system that should minimize inter-provider variability, and can be applied at disease onset. We studied 341 consecutive adult patients (age 18–71y; median 53y) who received HCT at the University of Michigan from 2007 to 2010. Data was prospectively collected under an IRB approved protocol. All cGVHD data, including NIH global severity score, was adjudicated by 2 clinicians with expertise in cGVHD. Cumulative incidence of cGVHD was 47%, with a median time to onset of 190d (range 37–806d). Patients presented with de novo (n=64, 41%), quiescent (n=60, 38%), or progressive onset disease (n=34, 21%). The global NIH severity at onset was mild (n=23, 15%), moderate (n=79, 50%) or severe (n=56, 35%). We performed univariable analysis on multiple potential risk factors (RF) (Table) for non-relapse mortality (NRM) within 4 years of cGVHD onset, with relapse considered a competing risk. RF considered included characteristics present prior to cGVHD onset, and several cGVHD specific factors, such as number of organs involved and individual organ severity in multiple combinations. History of severe acute GVHD grades III/IV (severe aGVHD) (Hazard Ratio (HR)=4.0, p<0.001), Karnofsky performance score (KPS) ≤ 70% (HR 4.6, p<0.001), and grade 2/3 lung (HR=3.3, p=0.04) were the strongest predictors of NRM, while presence of grade 1 liver cGVHD was protective (HR=0.3, p=0.03). We next tested combinations of these RF to develop a simple scheme for risk stratification. The simplest stratification grouped patients into 3 categories: High risk (KPS ≤ 70% and/or severe aGVHD), low risk (grade 1 liver, without high risk features), and intermediate risk (all others). Four year NRM in our model was 52% in high risk (n=44, ref), 4% in low risk (n=28, p=0.01), and 18% in intermediate patients (n=86, p=0.001, Figure). Within the high risk group, both low KPS and prior severe aGVHD remained independent predictors after adjustment for each other (HR=4.5, p=0.02 and HR=3.4, p=0.02, respectively), and in the entire cohort. Low KPS patients were more likely to have lung involvement, be on steroids, and have more severe cGVHD, implying that KPS serves as a composite of multiple other RF, including both HCT-related morbidities and cGVHD burden. Severe aGVHD was prevalent in 18% of patients with quiescent onset and 26% of patients with progressive onset, which was not statistically significant (p=0.35), and the risk of NRM in patients with a history of severe aGVHD did not differ based on type of onset (HR 1.02, p=0.9). Platelet count at onset did not predict NRM, but was a RF 3 months post-onset, emphasizing the time dependence of some RF. In conclusion, at onset of cGVHD a history of severe aGVHD, low KPS and grade 1 liver are important predictors of NRM. Factors known to affect morbidity or quality of life did not appear to impact NRM in this study. The combination of the 3 RF into a simple, empirically derived stratification system broadly categorized patients into 3 meaningful NRM risk groups at onset of cGVHD. If validated in an independent population, this classification system may be clinically useful and facilitate referral and management in chronic GVHD clinics.
| . | Univariable . | |||
|---|---|---|---|---|
| Risk Factor | n | HR | 95% CI | p value | 
| Before Onset | ||||
| Age at HCT, y | ||||
| 18–40 | 29 | Ref | ||
| 41–55 | 70 | 1.8 | 0.5–6.4 | 0.3 | 
| > 55 | 59 | 2.3 | 0.7–8.05 | 0.2 | 
| Related donor | 79 | 0.6 | 0.3–1.2 | 0.2 | 
| Reduced Intensity Conditioning | 51 | 1.1 | 0.5–2.4 | 0.7 | 
| History of aGVHD III–IV | 20 | 4.0 | 1.9–8.5 | <0.001 | 
| Onset | ||||
| Karnofsky Performance Score ≤ 70% | 31 | 4.6 | 2.5–9.5 | <0.001 | 
| NIH Onset Severity | ||||
| Mild | 23 | Ref | ||
| Moderate | 79 | 0.6 | 0.2–1.8 | 0.4 | 
| Severe | 56 | 1.2 | 0.4–3.4 | 0.7 | 
| Progressive onset vs De novo/Quiescent | 34 | 2.1 | 1.0–4.5 | 0.05 | 
| Platelets < 100,000/mm3 at onset | 42 | 1.4 | 0.7–3.1 | 0.3 | 
| On steroids at onset | 28 | 2.0 | 0.9–4.5 | 0.09 | 
| NIH grade 1 liver at onset | 40 | 0.3 | 0.1–0.9 | 0.03 | 
| NIH grade 2/3 lung at onset | 17 | 3.3 | 1.03–10.3 | 0.04 | 
| . | Univariable . | |||
|---|---|---|---|---|
| Risk Factor | n | HR | 95% CI | p value | 
| Before Onset | ||||
| Age at HCT, y | ||||
| 18–40 | 29 | Ref | ||
| 41–55 | 70 | 1.8 | 0.5–6.4 | 0.3 | 
| > 55 | 59 | 2.3 | 0.7–8.05 | 0.2 | 
| Related donor | 79 | 0.6 | 0.3–1.2 | 0.2 | 
| Reduced Intensity Conditioning | 51 | 1.1 | 0.5–2.4 | 0.7 | 
| History of aGVHD III–IV | 20 | 4.0 | 1.9–8.5 | <0.001 | 
| Onset | ||||
| Karnofsky Performance Score ≤ 70% | 31 | 4.6 | 2.5–9.5 | <0.001 | 
| NIH Onset Severity | ||||
| Mild | 23 | Ref | ||
| Moderate | 79 | 0.6 | 0.2–1.8 | 0.4 | 
| Severe | 56 | 1.2 | 0.4–3.4 | 0.7 | 
| Progressive onset vs De novo/Quiescent | 34 | 2.1 | 1.0–4.5 | 0.05 | 
| Platelets < 100,000/mm3 at onset | 42 | 1.4 | 0.7–3.1 | 0.3 | 
| On steroids at onset | 28 | 2.0 | 0.9–4.5 | 0.09 | 
| NIH grade 1 liver at onset | 40 | 0.3 | 0.1–0.9 | 0.03 | 
| NIH grade 2/3 lung at onset | 17 | 3.3 | 1.03–10.3 | 0.04 | 
No relevant conflicts of interest to declare.
Author notes
Asterisk with author names denotes non-ASH members.

This feature is available to Subscribers Only
Sign In or Create an Account Close Modal