Abstract
Abstract 3741
Chronic myeloid leukemia (CML) is a rare malignancy in children. The oncogenic transformation of hematopoietic stem cells results from the dysregulated tyrosine kinase (TK) activity of the BCR-ABL fusion protein. As front line treatment the TK inhibitor (TKI) imatinib (IMA; Gleevec®, Novartis) has radically changed the hematological, cytogenetic and molecular response rates in adults as well as in children with CML. IMA blocks the BCR-ABL oncogene, however, as side effect also related TKs (c-FMS, PDGF-R) which are important for bone (re)modeling are inhibited. This may result in impaired development and activity of osteoclasts and -blasts with consecutive disturbances in bone and mineral metabolism (Vandyke K, Blood 2010). In children with CML impaired longitudinal growth while on IMA treatment has been described (Millot F, ASH 2009 Abstr. #863; Shima H, J Pediatr 2011). Preliminary data in adults with CML treated intermittently with IMA (one month “on”, one month “off”) showed no negative impact on maintaining a complete cytogenetic remission (Rosti G, ASH 2010 Abstr. #3412).
We hypothesized that i) in comparison to regular daily drug intake intermittent IMA treatment may cause less impairment on bone metabolism and ii) that the TKI bosutinib (BOSU, Pfizer) which does not inhibit PDGF-R might exert less bone damage. Therefore the impact of continuous and intermittent IMA and continuous BOSU treatment on the growing skeleton was investigated in juvenile rodents.
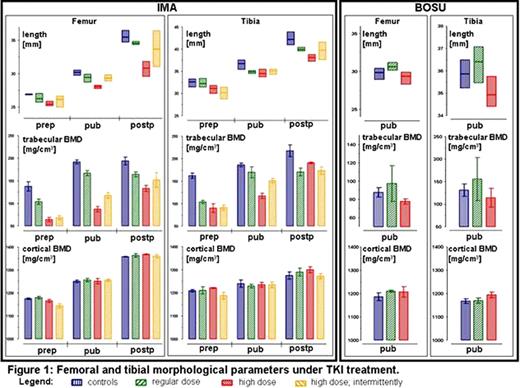
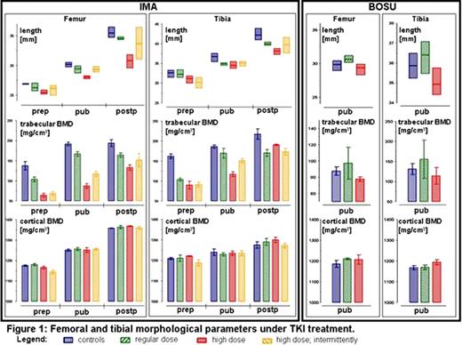
Prepubertal (prep) 4 weeks (w) old, male Wistar rats were exposed via the drinking water to IMA over a 10 w period and to BOSU by micro-osmotic pumps (ALZET®, Charles River) subcutaneously over 4 w. Compared to controls independent groups were offered regular (500 mg/l IMA; 2.5 mg/kg BOSU) and high (1000 mg/l IMA; 5 mg/kg BOSU) doses daily, while a another group obtained high dose IMA intermittently only every half week, respectively. Parameters of bone morphology (epiphyseal cartilage width, bone length, bone mass density (BMD)) were analyzed using pQCT (XCT Research SA+, Stratec Medizintechnik) at defined time points (prep; pubertal (pub); postpubertal; (postp)).
Compared to controls, animals from all IMA-groups showed significantly shortened femoral and tibial lengths and a decrease in trabecular, but not cortical BMD (Fig. 1A). The alterations caused by intermittent IMA treatment corresponded strictly to the cumulative drug intake. Thus, alterations in rats receiving high dose IMA intermittently were identical to animals receiving a regular dose daily. Interestingly, rats receiving a high dose daily revealed a shortened epiphyseal line of the femoral cartilage during the whole period of TKI treatment while this effect could not be observed in the tibia (Tab. 1). If the high dose was applied intermittently also minor effects on the epiphyseal cartilage were observed. All effects were more pronounced in prep animals. Effects with BOSU on bone length were less pronounced in the high dosage group and no alterations could be observed with regular dosing (Fig. 1B).
Width of the femoral and tibial epiphyseal cartilage [mm ± SD]
| age . | controls . | regular dose . | high dose . | high dose; intermittently . | |||||||||
|---|---|---|---|---|---|---|---|---|---|---|---|---|---|
| prep . | pub . | postp . | prep . | pub . | postp . | prep . | pub . | postp . | prep . | pub . | postp . | ||
| IMA | femur | 0.937 ± 0.075 | 1.038 ± 0.1109 | 0.820 ± 0.075 | 0.875 ± 0.05 | 1.033 ± 0.115 | 0.716 ± 0.029 | 0.850 ± 0.041 | 0.866 ± 0.076 | 0.883 ± 0.076 | 1.075 ± 0.064 | 0.983 ± 0.153 | 0.900 ± 0.086 |
| tibia | 0.762 ± 0.062 | 0.787 ± 0.075 | 0.600 ± 0.050 | 0.787 ± 0.094 | 0.900 ± 0.00 | 0.600 ± 0.00 | 0.725 ± 0.064 | 0.700 ± 0.05 | 0.583 ± 0.1155 | 0.675 ± 0.064 | 0.816 ± 0.057 | 0.600 ± 0.100 | |
| BOSU | femur | – | 1.075 ± 0.156 | – | – | 0.983 ± 0.126 | – | – | 0.983 ± 0.161 | – | – | – | – |
| tibia | – | 0.700 ± 0.071 | – | – | 0.733 ± 0.029 | – | – | 0.683 ± 0.029 | – | – | – | – | |
| age . | controls . | regular dose . | high dose . | high dose; intermittently . | |||||||||
|---|---|---|---|---|---|---|---|---|---|---|---|---|---|
| prep . | pub . | postp . | prep . | pub . | postp . | prep . | pub . | postp . | prep . | pub . | postp . | ||
| IMA | femur | 0.937 ± 0.075 | 1.038 ± 0.1109 | 0.820 ± 0.075 | 0.875 ± 0.05 | 1.033 ± 0.115 | 0.716 ± 0.029 | 0.850 ± 0.041 | 0.866 ± 0.076 | 0.883 ± 0.076 | 1.075 ± 0.064 | 0.983 ± 0.153 | 0.900 ± 0.086 |
| tibia | 0.762 ± 0.062 | 0.787 ± 0.075 | 0.600 ± 0.050 | 0.787 ± 0.094 | 0.900 ± 0.00 | 0.600 ± 0.00 | 0.725 ± 0.064 | 0.700 ± 0.05 | 0.583 ± 0.1155 | 0.675 ± 0.064 | 0.816 ± 0.057 | 0.600 ± 0.100 | |
| BOSU | femur | – | 1.075 ± 0.156 | – | – | 0.983 ± 0.126 | – | – | 0.983 ± 0.161 | – | – | – | – |
| tibia | – | 0.700 ± 0.071 | – | – | 0.733 ± 0.029 | – | – | 0.683 ± 0.029 | – | – | – | – | |
The rodent model presented is useful to study, predict, and mimic side effects of TKI treatment on bone metabolism. Impairments of the growing skeleton were comparable to the effects of IMA treatment as reported in children with CML. Preliminary data on BOSU exhibit minor bone side effects. As anticipated, intermittent IMA treatment revealed ∼50% less side effects on the growing bone than continuous drug exposure. However, whether this approach is also appropriate to sufficiently control CML in children has still to be proven in controlled clinical trials.
Suttorp:Novartis: Research Funding; Pfizer: Research Funding.
Supported by: DFG (SU122/3-1) & Peter-Escher Foundation.
Author notes
Asterisk with author names denotes non-ASH members.

This feature is available to Subscribers Only
Sign In or Create an Account Close Modal