Abstract
Abstract 4804
Smoking is known to promote vascular inflammation, in-vitro platelet aggregation and expression of endothelial adhesion molecules, processes that contribute to vasculopathy. Inflammation, abnormal platelet activation with thrombus formation and endothelial cell activation also play a role in vaso-occlusion in sickle cell disease (SCD). These overlapping pathobiological mechanisms suggest the possibility of a relationship between smoking and SCD vaso-occlusive pain. While small single center studies have suggested a link between environmental smoke exposure and hospitalization rate for acute chest syndrome and SCD pain (West et al 2003, Cohen et al 2010) there is a paucity of data derived from large multicenter studies about the interplay between smoking and pain phenotype in SCD.
To determine the relationship between patient self reported chronic pain and history of current or former cigarette smoking in the SCD subjects screened in the walk-PHaSST study.
Walk-PHaSST was a multi-center, placebo-controlled, double-blind 16-week trial designed to evaluate the safety and efficacy of sildenafil in patients with tricuspid regurgitant velocity [TRV] ≥2.7m/s and decreased exercise capacity as assessed by the six-minute walk distance (6MWD).
We analyzed the data from all subjects screened for the walk-PHaSST trial. In the screening trial, subjects were evaluated by medical history, physical examination, laboratory screening, echocardiography and 6MWD testing.
Univariate and stepwise multivariable logistic regression was used for this analysis. P value of <0.05 was considered statistically significant.
Of the 720 patients screened, medical history on pain and smoking was obtained in a total of 673 subjects. Of these, 483/673 subjects (72%) had HbSS disease and 137 (20.4%) had HbSC disease. Mean age was 36.6 years (median 36.1 years).
A total of 104 (15.5%) were current smokers and 114 (17.4%) reported having smoked in the past and 451 (67.1%) subjects reported no history of any life-time or current smoking. Subjects had smoked for a mean of 11.5 years (median 9 years, range 1–42 years). The mean pack years of smoking were 8.8 (median 5 years, range <1- 60 pack years).
In a multivariable logistic regression model, being a ‘current’ cigarette smoker was associated with an increased odds ratio (OR 3.0, 95% CI 1.8–4.9) (See Table 1) of reporting chronic SCD pain as compared to no smoking history when adjusted for 1) self reported acute pain, 2) age, 3) gender, 4) hematocrit 4) marijuana use, 5) SCD genotype and 6) current hydroxyurea treatment.
Additionally, in the multivariable model, being a ‘former’ cigarette smoker was associated with a smaller effect size (OR 2.2, 95% CI 1.4–3.5) of reporting chronic SCD pain as compared with no smoking history when adjusted for the above listed variables.
On examining by SCD genotypes, the effect size was similar for HbSS genotype (OR 2.79, 95% CI: 1.54–5.0) while the effect size was significantly higher for HbSC genotype (OR 5.6, 95% CI: 1.7–19.0).
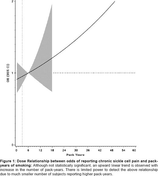
The increase in self reported pain with number of pack years adjusted for age was not statistically significant although an increase in reported pain was observed with increase in the number of pack years (See Figure 1).
These data suggest that being a current or former smoker is independently associated with ‘self reported chronic SCD pain’ after adjusting for potential confounding variables including age of the patient, gender, hematocrit, marijuana use and being on hydroxyurea treatment.
However, it is unclear whether smoking might worsen pain, represent a stress relieving behavior by patients to chronic pain or even provide a beneficial adaptation to chronic pain mediated by nicotine, carbon monoxide, nitric oxide, or other substances known to be present in tobacco smoke. These data provide a rationale for further mechanistic studies of the relationship between smoking and chronic pain in patients with SCD.
Odds Ratio Estimates: Multivariable Analysis
| Effect . | ODDS RATIO Point Estimate . | 95% Wald Confidence Limits . | |
|---|---|---|---|
| SMOKING Current smoker vs None | 3.0 | 1.8 | 5.0 |
| SMOKING Former smoker vs None | 2.2 | 1.4 | 3.5 |
| Age (per 10 yrs increment) | 1.3 | 1.1 | 1.5 |
| Gender: Female vs Male | 1.3 | 0.9 | 1.9 |
| Marijuana Use | 1.3 | 0.8 | 2.1 |
| SS vs Sß0 | 1.3 | 0.2 | 7.8 |
| SC vs Sß0 | 1.7 | 0.3 | 11.0 |
| Sß+ vs Sß0 | 2.5 | 0.3 | 18.3 |
| Hematocrit | 1.0 | 1.0 | 1.0 |
| Current Hydroxyurea Use | 0.8 | 0.5 | 1.1 |
| Effect . | ODDS RATIO Point Estimate . | 95% Wald Confidence Limits . | |
|---|---|---|---|
| SMOKING Current smoker vs None | 3.0 | 1.8 | 5.0 |
| SMOKING Former smoker vs None | 2.2 | 1.4 | 3.5 |
| Age (per 10 yrs increment) | 1.3 | 1.1 | 1.5 |
| Gender: Female vs Male | 1.3 | 0.9 | 1.9 |
| Marijuana Use | 1.3 | 0.8 | 2.1 |
| SS vs Sß0 | 1.3 | 0.2 | 7.8 |
| SC vs Sß0 | 1.7 | 0.3 | 11.0 |
| Sß+ vs Sß0 | 2.5 | 0.3 | 18.3 |
| Hematocrit | 1.0 | 1.0 | 1.0 |
| Current Hydroxyurea Use | 0.8 | 0.5 | 1.1 |
Hassell: Novartis: Research Funding. Barst: Pfizer: Consultancy, Research Funding. Rosenzweig: Pfizer: Research Funding. Badesch: Pfizer: Honoraria, Research Funding.
Author notes
Asterisk with author names denotes non-ASH members.

This feature is available to Subscribers Only
Sign In or Create an Account Close Modal