Abstract
Acute graft-versus-host disease (aGVHD) is the primary limitation of allogeneic hematopoietic cell transplantation. Corticosteroids remain the standard initial therapy, yet only 25% to 41% of patients completely respond. This randomized, 4-arm, phase 2 trial was designed to identify the most promising agent(s) for initial therapy for aGVHD. Patients were randomized to receive methylprednisolone 2 mg/kg per day plus etanercept, mycophenolate mofetil (MMF), denileukin diftitox (denileukin), or pentostatin. Patients (n = 180) were randomized; their median age was 50 years (range, 7.5-70 years). Myeloablative conditioning represented 66% of transplants. Grafts were peripheral blood (61%), bone marrow (25%), or umbilical cord blood (14%); 53% were from unrelated donors. Patients who received MMF for prophylaxis (24%) were randomized to a non-MMF arm. At randomization, aGVHD was grade I to II (68%), III to IV (32%), and (53%) had visceral organ involvement. Day 28 complete response rates were etanercept 26%, MMF 60%, denileukin 53%, and pentostatin 38%. Corresponding 9-month overall survival was 47%, 64%, 49%, and 47%, respectively. Cumulative incidences of severe infections were as follows: etanercept 48%, MMF 44%, denileukin 62%, and pentostatin 57%. Efficacy and toxicity data suggest the use of MMF plus corticosteroids is the most promising regimen to compare against corticosteroids alone in a definitive phase 3 trial. This study is registered at http://www.clinicaltrials.gov as NCT00224874.
Introduction
Acute graft-versus-host disease (aGVHD) is a major cause of morbidity and mortality after allogeneic hematopoietic cell transplantation. Prophylaxis strategies have lowered the risk yet, 35% to 50% of patients still develop grade II to IV aGVHD.1-5 Corticosteroids have been the standard initial therapy for grades II to IV aGVHD, with published complete response (CR) rates ranging from 25% to 41%.6-8 Previous efforts to improve this rate through the addition of antithymocyte globulin, CD5-immunotoxins, or interleukin-2 antagonists have all been ineffective in either controlling GVHD symptoms or improving survival.1,9,10 Patients with steroid-refractory aGVHD receive a variety of second-line therapies, with response rates approximating 40%.11 However, the outcome for these patients is poor, with a mortality rate of approximately 70%.12 Therefore, the development of new strategies for effective intervention before the development of steroid-refractory disease remains a high priority.
In the past decade, numerous drugs were tested in single-center studies for the management of aGVHD. At the time of this protocol's development, 4 drugs appeared promising to be combined with corticosteroids for evaluation in a prospective, multicenter trial: etanercept, mycophenolate mofetil (MMF), denileukin diftitox (denileukin), and pentostatin.6,13-17 However, to conclude that the addition of a second drug offered benefit over steroids alone, a randomized phase 3 trial was needed. Because even a 2-arm phase 3 study requires a significant investment of patients and resources, identification of only the most promising agent(s) was important. Because of a lack of sufficient data to make this determination, the Blood and Marrow Transplant Clinical Trials Network (BMT CTN) performed this randomized, phase 2 study to evaluate these 4 agents, each in combination with corticosteroids, as initial therapy for aGVHD. The primary purpose was to identify the most promising agent(s) to further evaluate in a definitive phase 3 trial compared with therapy with steroids alone.
Methods
Patients
Patients 6 years of age or older who had undergone an allogeneic hematopoietic cell transplantation in which bone marrow, peripheral blood (PB), or umbilical cord blood (UCB) was used and had newly diagnosed aGVHD requiring systemic therapy were eligible for inclusion. Biopsy confirmation of GVHD was encouraged (but not required). Patients could not have received previous systemic immunosuppressive therapy for the treatment of aGVHD except for a maximum 48 hours of previous steroid therapy (≥1 mg/kg per day methylprednisolone). Patients with uncontrolled infections, absolute neutrophil counts (ANCs) less than 500 μL, or creatinine clearances of less than 30 mL/min/1.73 m2 were excluded. Also ineligible were patients who received a donor lymphocyte infusion, unless as part a of their originally planned transplant therapy (and not for persistent/recurrent disease), or patients whose clinical condition made deviation from the protocol-mandated therapy likely, including the suggested steroid taper schedule. Patients could not have received denileukin, pentostatin, or etanercept within 7 days or any investigational agents for GVHD within 30 days of enrollment. The protocol and informed consents were approved by the Protocol Review Committee and Data and Safety Monitoring Board of the NHLBI and the review boards of all participating institutions. All patients or their parents signed informed consents in accordance with the Declaration of Helsinki.
Study design
The study was a multicenter, randomized, 4-arm phase 2 trial designed to evaluate the safety and efficacy of 4 agents in combination with corticosteroids. As a randomized phase 2, the trial was not powered or designed to allow direct comparisons across study arms. As such, a steroid-only control arm was not included. Instead, each arm was assessed for efficacy against historical data indicating an expected day 28 CR rate of 35% with steroids alone. Eligible patients who had not received MMF for GVHD prophylaxis within 7 days of enrollment were randomized to 1 of the 4 treatment arms consisting of MMF, etanercept, denileukin, or pentostatin, each in combination with methylprednisolone 2 mg/kg per day intravenously (or prednisone 2.5 mg/kg per day orally) in a 2:1:1:1 ratio, respectively. Patients who had received MMF for GVHD prophylaxis within 7 days of onset of GVHD were randomized to the 3 non-MMF arms in a 1:1:1 ratio.
Treatment of aGVHD
Study treatment was to begin within 48 hours of randomization. Dosing guidelines were as follows.
Etanercept.
Patients received a dose of 25 mg subcutaneously twice weekly for 4 weeks. Patients with a body surface area (BSA) of less than 0.6 m2 received a dose of 0.4 mg/kg twice weekly (maximum dose of 25 mg).
MMF.
Patients received a dose of 20 mg/kg twice daily orally or intravenously if BSA was greater than 1.5 m2 (maximum dose of 1 g twice daily), 750 mg intravenously/orally twice daily if BSA was 1.25 to 1.5 m2, or 600 mg/m2 orally twice daily for patients less than 1.5 m2 who required the oral suspension. Patients requiring dialysis had a reduction in the dose by 25% to 50%. Patients with gastrointestinal (GI) GVHD who could not tolerate greater than 500 mL of fluid per day received the intravenous formulation until oral therapy was tolerated. If GI toxicity attributed to MMF was suspected, the dose was reduced by 50% or discontinued if symptoms persisted and/or had grade 3 to 4 GI toxicity. GI toxicity that did not resolve within 48 to 72 hours after discontinuation was deemed unlikely to be related to MMF, and the drug was restarted. If the ANC decreased less than 1000 μL, the dose was reduced by 50% and was discontinued until neutrophil recovery if the ANC decreased to less than 500 μL. Patients in CR at day 28 continued on MMF until completion of the steroid taper, and then MMF was tapered during the course of 4 weeks.
Denileukin.
Patients received a dose of 9 μg/kg intravenously over 1 hour on days 1, 3, 5, 15, 17, and 19 of study. The drug was stopped for grade 4 toxicity and held for 4 days for grade 3 toxicity that improved.
Pentostatin.
Patients received a dose of 1.5 mg/m2 intravenously over the course of 15 to 30 minutes daily on days 1 to 3 and 15 to 17. The dose was reduced by 50% if the ANC decreased to less than 1000 μL and discontinued until recovery if the ANC decreased to less than 500 μL. The dose was reduced to 0.75 mg/m2 if the estimated creatinine clearance was between 30 and 50 mL/min and discontinued if less than 30 mL/min/1.73 m2.
Corticosteroid dosing.
Patients received methylprednisolone 2 mg/kg per day intravenously (or prednisone 2.5 mg/kg per day orally) divided in 2 to 3 daily doses for 7 days. Steroids could then be tapered as tolerated to no less than methylprednisolone 0.6 mg/kg per day (prednisone 0.75 mg/kg per day) at day 28. A suggested steroid taper schedule was provided; however, adherence was optional apart from days 7 and 28 stipulations. Patients whose GVHD was progressing after 7 days, had no response by 14 days, or were not in a CR at day 28 could receive secondary therapy but were still followed for study end points. Patients who achieved a day 28 CR and had a subsequent flare of aGVHD could receive the same or alternative agents at the treating physician's discretion or, alternatively, receive a temporary increase in the dose of steroids. Patients were maintained on therapeutic levels of calcineurin inhibitors and received standard supportive care, including transfusions and anti-infective prophylaxis per institutional practices. Drug-induced cytopenias were managed through the use of growth factors and discontinuation of concurrent myelosuppressive medications.
GVHD scoring and response assessment
aGVHD was scored by use of the consensus criteria.18 This information was reported weekly to the BMT CTN Data Coordinating Center along with biopsy results, differential diagnosis, and GVHD therapy through week 8 and at 3, 4, 6, and 9 months after study enrollment. CR required resolution of all signs and symptoms of GVHD in all organs without intervening salvage therapies. A partial response was an improvement of one stage in one or more organs without progression in any organ. Mixed response was considered an improvement in at least one organ with progression or newly developed GVHD in another organ(s). No response was defined as absence of improvement or deterioration within 14 days of therapy initiation. Progression was defined as worsening by one or more stages without improvement in any involved organ. Toxicity, infections, and GVHD flares (increase in symptoms or therapy for aGVHD after an initial response) were recorded through day 90. All toxicities were reported regardless of attribution to the study treatment. Adverse events (AEs) were evaluated according to National Cancer Institute Common Terminology Criteria for AEs, version 3.0.19 Evaluation for chronic GVHD was performed and reported at 3, 4, 6, and 9 months after study enrollment, as was discontinuation of all immunosuppression (including calcineurin inhibitors) by day 270. GVHD-free survival was calculated by the proportion of patients in each study arm who were alive at day 56, achieved a CR and who had not experienced a GVHD-flare, chronic GVHD, or need for additional therapy. A study endpoint committee, blinded to study drug assignment, reviewed all response and endpoint data.
Statistical analysis
A 2-stage design was used with stopping rules for lack of efficacy and excess mortality assessed after the first 20 patients per arm.20 This was performed by computing the Bayesian posterior probability that the CR rate was greater than 35% by the use of a Beta (3.5, 6.5) prior distribution. This is equivalent to a prior distribution on the response rate with a mean of 35% and a weight of 10 patients. If the Bayesian posterior probability of efficacy for a particular arm was less than 20%, that arm would be closed to further accrual. A mortality limit of 25% at day 28 was deemed to be excessive compared with the anticipated historical rate of 10%. No study arm closed early.
At the end of the study, any arm with a Bayesian posterior probability of efficacy of greater than 90% would be considered a candidate for future study. This design had an approximately 75% marginal probability or power to detect a 15% improvement in the CR rate over the historical rate and more than 90% marginal power to detect a 20% improvement. In the event there were 2 or more effective treatments with 50% CR rates, the design had at least 80% power to correctly identify at least one of them as a good candidate while not incorrectly identifying any ineffective treatments.
Baseline characteristics considered included age, sex, donor type, graft source, human leukocyte antigen match/mismatch, GVHD grade at enrollment, skin versus visceral organ aGVHD, cytomegalovirus seropositivity, and day of onset of GVHD. Between-group comparisons of baseline characteristics were performed for continuous and categorical variables via Kruskal-Wallis and χ2 tests, respectively. In addition to estimation of the Bayesian posterior probabilities, estimates and 95% confidence intervals (CIs) were constructed for all end points, separately for each arm. Response assessment at days 28 and 56 and GVHD-free survival were described by the use of frequencies and proportions. Overall survival was estimated by use of the Kaplan-Meier method.21 Development of severe, life-threatening, or fatal infections; grade 3 to 5 toxicity; relapse; chronic GVHD; flare of aGVHD; and discontinuation of immunosuppression were each summarized by the use of cumulative incidence probabilities with death as a competing risk.22
Results
Patient characteristics
A total of 180 patients were enrolled on this study between August 2005 and March 2008 at 20 participating centers. Forty-six patients were randomized to etanercept, 45 to MMF, 47 to denileukin, and 42 to pentostatin. Median follow-up after randomization was 9 months (range, 5-12 months). Six patients (3 receiving MMF, 2 receiving denileukin, and 1 receiving pentostatin) did not receive the planned therapy as the result of a negative biopsy for GVHD (n = 2), withdrawal of consent (n = 2), seizure after randomization (n = 1), and an ANC less than 500 μL (n = 1). All 180 patients were included in the final analysis on an intent-to-treat basis. Sixty-six percent received myeloablative conditioning. The graft was PB in 61%, bone marrow in 25%, and UCB in 14% of patients; 53% had an unrelated donor. Forty-four (24%) patients had received MMF as GVHD prophylaxis. At enrollment, 68% of patients had grade I to II aGVHD and 32% had grade III to IV; 53% had visceral organ involvement. Treatment arms were balanced except UCB grafts were more common in the denileukin arm (26% vs 10%; P = .006), PB grafts were more common in the etanercept arm (78% vs 55%; P = .006), and patients on the MMF arm were younger (median age 42 vs 51 years; P = .01) and were more likely to receive myeloablative conditioning (82% vs 59%; P = .01; Table 1).
Patient characteristics
| Characteristic . | Treatment arm . | ||||
|---|---|---|---|---|---|
| Etanercept, n = 46 . | Mycophenolate, n = 45 . | Denileukin, n = 47 . | Pentostatin, n = 42 . | Total, n = 180 . | |
| Female sex | 16 (35) | 17 (38) | 19 (40) | 15 (36) | 67 (37) |
| Median age, y (range) | 50 (8-70) | 42 (13-63) | 51 (11-67) | 53 (24-68) | 50 (8-70) |
| Primary disease | |||||
| AML/MDS | 24 (52) | 21 (47) | 24 (51) | 20 (48) | 89 (50) |
| ALL | 6 (13) | 9 (20) | 4 (9) | 7 (17) | 26 (14) |
| CML | 2 (4) | 2 (4) | 1 (2) | 0 (0) | 5 (3) |
| Lymphoma | 5 (11) | 6 (13) | 8 (17) | 6 (14) | 25 (14) |
| Other | 9 (20) | 7 (16) | 10 (21) | 9 (21) | 35 (19) |
| Conditioning regimen | |||||
| Myeloablative | 29 (63) | 37 (82) | 25 (54) | 26 (63) | 117 (66) |
| Nonmyeloablative | 17 (37) | 8 (18) | 21 (46) | 15 (37) | 61 (34) |
| Donor status | |||||
| Related | 21 (47) | 24 (53) | 21 (46) | 17 (42) | 83 (47) |
| Unrelated | 24 (53) | 21 (47) | 25 (54) | 24 (58) | 94 (53) |
| Stem cell type | |||||
| Bone marrow | 5 (11) | 13 (29) | 15 (33) | 9 (22) | 42 (25) |
| Peripheral blood | 36 (78) | 29 (64) | 19 (41) | 27 (66) | 111 (61) |
| Umbilical cord blood | 5 (11) | 3 (7) | 12 (26) | 5 (12) | 25 (14) |
| MMF prophylaxis | |||||
| Yes | 14 (30) | 0 (0) | 16 (34) | 14 (33) | 44 (24) |
| No | 32 (70) | 45 (100) | 31 (66) | 28 (67) | 136 (76) |
| Median days from transplantation to randomization (range) | 30 (13-147) | 30 (13-87) | 35 (13-139) | 29 (12-97) | 30 (12-147) |
| Enrollment acute GVHD | |||||
| Grade 0 (range) | 1 (2) | 0 (0) | 0 (0) | 0 (0) | 1 (0.6) |
| Grade I (range) | 8 (17) | 3 (7) | 8 (17) | 4 (10) | 23 (13) |
| Grade II (range) | 25 (54) | 25 (56) | 23 (49) | 26 (62) | 99 (55) |
| Grade III (range) | 12 (26) | 16 (36) | 15 (32) | 11 (26) | 54 (30) |
| Grade IV (range) | 0 (0) | 1 (2) | 1 (2) | 1 (2) | 3 (2) |
| Organ involvement at randomization | |||||
| Skin | 36 (78) | 35 (78) | 35 (75) | 34 (81) | 140 (78) |
| GI tract, lower | 12 (26) | 18 (40) | 14 (30) | 17 (41) | 61 (34) |
| GI tract, upper | 10 (22) | 12 (27) | 14 (30) | 13 (31) | 49 (27) |
| Liver | 6 (13) | 7 (16) | 7 (15) | 5 (12) | 25 (14) |
| Characteristic . | Treatment arm . | ||||
|---|---|---|---|---|---|
| Etanercept, n = 46 . | Mycophenolate, n = 45 . | Denileukin, n = 47 . | Pentostatin, n = 42 . | Total, n = 180 . | |
| Female sex | 16 (35) | 17 (38) | 19 (40) | 15 (36) | 67 (37) |
| Median age, y (range) | 50 (8-70) | 42 (13-63) | 51 (11-67) | 53 (24-68) | 50 (8-70) |
| Primary disease | |||||
| AML/MDS | 24 (52) | 21 (47) | 24 (51) | 20 (48) | 89 (50) |
| ALL | 6 (13) | 9 (20) | 4 (9) | 7 (17) | 26 (14) |
| CML | 2 (4) | 2 (4) | 1 (2) | 0 (0) | 5 (3) |
| Lymphoma | 5 (11) | 6 (13) | 8 (17) | 6 (14) | 25 (14) |
| Other | 9 (20) | 7 (16) | 10 (21) | 9 (21) | 35 (19) |
| Conditioning regimen | |||||
| Myeloablative | 29 (63) | 37 (82) | 25 (54) | 26 (63) | 117 (66) |
| Nonmyeloablative | 17 (37) | 8 (18) | 21 (46) | 15 (37) | 61 (34) |
| Donor status | |||||
| Related | 21 (47) | 24 (53) | 21 (46) | 17 (42) | 83 (47) |
| Unrelated | 24 (53) | 21 (47) | 25 (54) | 24 (58) | 94 (53) |
| Stem cell type | |||||
| Bone marrow | 5 (11) | 13 (29) | 15 (33) | 9 (22) | 42 (25) |
| Peripheral blood | 36 (78) | 29 (64) | 19 (41) | 27 (66) | 111 (61) |
| Umbilical cord blood | 5 (11) | 3 (7) | 12 (26) | 5 (12) | 25 (14) |
| MMF prophylaxis | |||||
| Yes | 14 (30) | 0 (0) | 16 (34) | 14 (33) | 44 (24) |
| No | 32 (70) | 45 (100) | 31 (66) | 28 (67) | 136 (76) |
| Median days from transplantation to randomization (range) | 30 (13-147) | 30 (13-87) | 35 (13-139) | 29 (12-97) | 30 (12-147) |
| Enrollment acute GVHD | |||||
| Grade 0 (range) | 1 (2) | 0 (0) | 0 (0) | 0 (0) | 1 (0.6) |
| Grade I (range) | 8 (17) | 3 (7) | 8 (17) | 4 (10) | 23 (13) |
| Grade II (range) | 25 (54) | 25 (56) | 23 (49) | 26 (62) | 99 (55) |
| Grade III (range) | 12 (26) | 16 (36) | 15 (32) | 11 (26) | 54 (30) |
| Grade IV (range) | 0 (0) | 1 (2) | 1 (2) | 1 (2) | 3 (2) |
| Organ involvement at randomization | |||||
| Skin | 36 (78) | 35 (78) | 35 (75) | 34 (81) | 140 (78) |
| GI tract, lower | 12 (26) | 18 (40) | 14 (30) | 17 (41) | 61 (34) |
| GI tract, upper | 10 (22) | 12 (27) | 14 (30) | 13 (31) | 49 (27) |
| Liver | 6 (13) | 7 (16) | 7 (15) | 5 (12) | 25 (14) |
ALL indicates acute lymphoblastic leukemia; AML, acute myeloid leukemia; CLL, chronic lymphocytic leukemia; and MDS, myelodysplastic syndromes.
Response
The cumulative incidence of CR by day 28 was greatest for patients randomized to MMF followed by denileukin, pentostatin, and etanercept (Figure 1A). Similarly, the proportion of patients remaining in CR at day 28 without intervening flare was greatest for the MMF arm (60%; 95% CI, 46%-74%), followed by denileukin (53%; 95% CI, 39%-68%), pentostatin (38%; 95% CI, 23%-53%), and etanercept (26%; 95% CI, 9%-43%; Table 2). Progression within the first 28 days also favored MMF, with just 1 of the 45 patients assigned to MMF progressing. This pattern was maintained for day 56 outcomes (Figure 1A; Table 2).
Long-term outcomes. (A) Cumulative incidence for CR by day 56 after randomization by treatment arm. (B) Overall survival at 9 months after randomization by treatment arm.
Long-term outcomes. (A) Cumulative incidence for CR by day 56 after randomization by treatment arm. (B) Overall survival at 9 months after randomization by treatment arm.
Response assessment at days 28 and 56 after randomization
| . | Treatment arm . | |||||||||||
|---|---|---|---|---|---|---|---|---|---|---|---|---|
| Etanercept, n = 46 . | Mycophenolate, n = 45 . | Denileukin, n = 47 . | Pentostatin, n = 42 . | |||||||||
| n . | % . | 95% CI . | n . | % . | 95% CI . | n . | % . | 95% CI . | n . | % . | 95% CI . | |
| Day 28 | ||||||||||||
| Complete response | ||||||||||||
| All organs | 12/46 | 26 | 9-43 | 27/45 | 60 | 46-74 | 25/47 | 53 | 39-68 | 16/42 | 38 | 23-53 |
| Skin | 12/36 | 33 | 21/35 | 60 | 17/35 | 49 | 14/34 | 41 | ||||
| Lower gastrointestinal tract | 4/12 | 33 | 12/18 | 67 | 5/14 | 36 | 7/17 | 4162 | ||||
| Upper gastrointestinal tract | 5/10 | 50 | 11/12 | 92 | 10/14 | 71 | 8/13 | 40 | ||||
| Liver | 2/6 | 33 | 5/7 | 71 | 3/7 | 43 | 2/5 | |||||
| Excluding patients who received MMF prophylaxis | 9/32 | 28 | 13-44 | 27/45 | 60 | 46-74 | 15/31 | 48 | 31-66 | 11/28 | 39 | 21-57 |
| Complete and partial response | 22/46 | 48 | 33-62 | 35/45 | 78 | 66-90 | 28/47 | 60 | 46-74 | 26/42 | 62 | 47-77 |
| GVHD progression | 7/46 | 15 | 5-25 | 1/45 | 2 | 0-7 | 3/47 | 6 | 0-13 | 4/42 | 10 | 0.6-18 |
| Day 56 | ||||||||||||
| Complete response | ||||||||||||
| All organs | 20/46 | 44 | 29-58 | 33/45 | 73 | 60-86 | 26 | 55 | 41-70 | 26/42 | 62 | 47-77 |
| Excluding patients who received MMF prophylaxis | 17/32 | 53 | 36-70 | 33/45 | 73 | 60-86 | 19/31 | 61 | 44-78 | 18/28 | 64 | 47-82 |
| Treatment failure | 11/46 | 24 | 12-36 | 4/45 | 9 | .6-17 | 12/47 | 26 | 13-38 | 12/42 | 29 | 15-42 |
| . | Treatment arm . | |||||||||||
|---|---|---|---|---|---|---|---|---|---|---|---|---|
| Etanercept, n = 46 . | Mycophenolate, n = 45 . | Denileukin, n = 47 . | Pentostatin, n = 42 . | |||||||||
| n . | % . | 95% CI . | n . | % . | 95% CI . | n . | % . | 95% CI . | n . | % . | 95% CI . | |
| Day 28 | ||||||||||||
| Complete response | ||||||||||||
| All organs | 12/46 | 26 | 9-43 | 27/45 | 60 | 46-74 | 25/47 | 53 | 39-68 | 16/42 | 38 | 23-53 |
| Skin | 12/36 | 33 | 21/35 | 60 | 17/35 | 49 | 14/34 | 41 | ||||
| Lower gastrointestinal tract | 4/12 | 33 | 12/18 | 67 | 5/14 | 36 | 7/17 | 4162 | ||||
| Upper gastrointestinal tract | 5/10 | 50 | 11/12 | 92 | 10/14 | 71 | 8/13 | 40 | ||||
| Liver | 2/6 | 33 | 5/7 | 71 | 3/7 | 43 | 2/5 | |||||
| Excluding patients who received MMF prophylaxis | 9/32 | 28 | 13-44 | 27/45 | 60 | 46-74 | 15/31 | 48 | 31-66 | 11/28 | 39 | 21-57 |
| Complete and partial response | 22/46 | 48 | 33-62 | 35/45 | 78 | 66-90 | 28/47 | 60 | 46-74 | 26/42 | 62 | 47-77 |
| GVHD progression | 7/46 | 15 | 5-25 | 1/45 | 2 | 0-7 | 3/47 | 6 | 0-13 | 4/42 | 10 | 0.6-18 |
| Day 56 | ||||||||||||
| Complete response | ||||||||||||
| All organs | 20/46 | 44 | 29-58 | 33/45 | 73 | 60-86 | 26 | 55 | 41-70 | 26/42 | 62 | 47-77 |
| Excluding patients who received MMF prophylaxis | 17/32 | 53 | 36-70 | 33/45 | 73 | 60-86 | 19/31 | 61 | 44-78 | 18/28 | 64 | 47-82 |
| Treatment failure | 11/46 | 24 | 12-36 | 4/45 | 9 | .6-17 | 12/47 | 26 | 13-38 | 12/42 | 29 | 15-42 |
Shown are the number and proportion of responders at days 28 and 56 of therapy in the 4 randomized cohorts and in a subset excluding those who had received MMF for GVHD prophylaxis within the 7 days before study enrollment. Treatment failure includes no response, progression, or addition of new therapy before day 56.
To evaluate whether administration of MMF as GVHD prophylaxis influenced the response rate (and thus conferred an advantage to the MMF arm), response rates were examined in the 136 patients who had not received MMF as prophylaxis. Patients on the MMF arm still had the highest days 28, 56 CR, and overall response rates (Table 2).
Toxicity, infections, and relapse
Cumulative incidence of grade 3 to 5 toxicities at day 56 was lowest in patients randomized to pentostatin and comparable among the other arms. Severe or life-threatening AEs possibly related to the study drug were uncommon (n = 7). Two patients had seizures (both receiving MMF); 1 had dyspnea (MMF). Two patients had rash/Stevens-Johnson syndrome (denileukin; pentostatin); 1 had nonneutropenic fever (denileukin), and 1 had altered mental status (pentostatin). None of these events was fatal. The cumulative incidence of severe, life-threatening, or fatal infections at day 270 was lowest in the MMF arm, followed by etanercept, pentostatin, and denileukin (Table 3; Figure 2). Cumulative incidence of malignant disease relapse at 270 days after randomization was low and comparable across all 4 arms (Table 3).
Cumulative incidences of toxicities, infections, and relapse
| Cumulative incidence . | Treatment arm . | |||
|---|---|---|---|---|
| Etanercept, % (95% CI) . | Mycophenolate, % (95% CI) . | Denileukin, % (95% CI) . | Pentostatin, % (95% CI) . | |
| Day 56 grade 3-5 toxicity | 76 (64-89) | 80 (68-92) | 76 (64-89) | 67 (55-83) |
| Severe/life-threatening/fatal infections at day 270 | 47 (33-63) | 44 (30-59) | 62 (48-76) | 57 (42-72) |
| Relapse at day 180 | 15 (5-26) | 11 (2-21) | 15 (5-26) | 20 (7-33) |
| Cumulative incidence . | Treatment arm . | |||
|---|---|---|---|---|
| Etanercept, % (95% CI) . | Mycophenolate, % (95% CI) . | Denileukin, % (95% CI) . | Pentostatin, % (95% CI) . | |
| Day 56 grade 3-5 toxicity | 76 (64-89) | 80 (68-92) | 76 (64-89) | 67 (55-83) |
| Severe/life-threatening/fatal infections at day 270 | 47 (33-63) | 44 (30-59) | 62 (48-76) | 57 (42-72) |
| Relapse at day 180 | 15 (5-26) | 11 (2-21) | 15 (5-26) | 20 (7-33) |
Shown are the cumulative incidences (and 95% CIs) of toxicities, infections, and malignant disease relapse at the follow-up times shown. All grade 3 to 5 toxicities are shown regardless of reported attribution to study drug.
Cumulative incidence of severe/life-threatening/fatal infections after randomization by treatment arm.
Cumulative incidence of severe/life-threatening/fatal infections after randomization by treatment arm.
Survival and long-term outcomes
The proportion of patients with GVHD-free survival at day 56 was greatest among patients randomized to MMF (71%; 95% CI, 58%-84%), followed by pentostatin (55%; 95% CI, 40%-70%), denileukin (45%; 95% CI, 31%-59%), and etanercept (39%; 95% CI, 25%-53%; Table 4).
Survival, GVHD, and duration of immunosuppression
| Outcome . | Treatment arm . | |||
|---|---|---|---|---|
| Etanercept, % (95% CI) . | Mycophenolate, % (95% CI) . | Denileukin, % (95% CI) . | Pentostatin, % (95% CI) . | |
| Overall survival* | ||||
| All patients | 47 (32-61) | 64 (48-76) | 49 (34-62) | 47 (31-62) |
| Excluding patients receiving MMF prophylaxis | 56 (37-71) | 64 (48-76) | 49 (30-65) | 52 (32-69) |
| GVHD-free survival at day 56 | 39 (25-53) | 71 (58-84) | 45 (31-59) | 55 (40-70) |
| Cumulative incidence† | ||||
| aGVHD flare at day 90 | 35 (21-49) | 27 (14-40) | 35 (21-49) | 36 (21-50) |
| Discontinuation of all immunosuppression | 35 (21-49) | 38 (24-52) | 21 (10-33) | 24 (11-37) |
| Chronic GVHD | 22 (10-34) | 47 (29-64) | 34 (20-48) | 30 (15-45) |
| Outcome . | Treatment arm . | |||
|---|---|---|---|---|
| Etanercept, % (95% CI) . | Mycophenolate, % (95% CI) . | Denileukin, % (95% CI) . | Pentostatin, % (95% CI) . | |
| Overall survival* | ||||
| All patients | 47 (32-61) | 64 (48-76) | 49 (34-62) | 47 (31-62) |
| Excluding patients receiving MMF prophylaxis | 56 (37-71) | 64 (48-76) | 49 (30-65) | 52 (32-69) |
| GVHD-free survival at day 56 | 39 (25-53) | 71 (58-84) | 45 (31-59) | 55 (40-70) |
| Cumulative incidence† | ||||
| aGVHD flare at day 90 | 35 (21-49) | 27 (14-40) | 35 (21-49) | 36 (21-50) |
| Discontinuation of all immunosuppression | 35 (21-49) | 38 (24-52) | 21 (10-33) | 24 (11-37) |
| Chronic GVHD | 22 (10-34) | 47 (29-64) | 34 (20-48) | 30 (15-45) |
Kaplan-Meier estimates and 95% CIs for overall survival at 9 months after randomization.
Cumulative incidence and 95% CIs for aGVHD flares (after previous CR or partial response) at day 90 and discontinuation of all immunosuppression and chronic GVHD at 9 months after randomization.
The probability of overall survival at 9 months after randomization was greatest for patients randomized to MMF (64%; 95% CI, 48%-76%) followed by denileukin (49%; 95% CI, 34%-62%), etanercept (47%; 95% CI, 32%-61%), and pentostatin (47%; 95% CI, 31%-62%; Figure 1B; Table 4). When patients who received MMF as GVHD prophylaxis were excluded, the probability of survival at 9 months was similar in the denileukin arm but was greater in the etanercept (56% vs 47%) and pentostatin arms (52% vs 47%); however, the MMF arm still had the greatest survival probability (64%; Table 4).
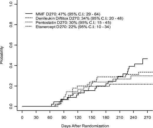
The cumulative incidence of GVHD flare at day 90 was lowest for the MMF arm (27%; 95% CI, 14%-40%) followed by denileukin and etanercept (35%; 95% CI, 21%-49% in both arms) and pentostatin 36% (95% CI, 21%-50%). Discontinuation of all immunosuppression at day 270 favored MMF and etanercept with 38% (95% CI, 24%-52%) and 35% (95% CI, 21%-49%) of patients, respectively, achieving this milestone. In comparison, only 21% (95% CI, 10%-33%) of patients administered denileukin and 24% (95% CI, 11%-37%) of patients administered pentostatin were able to discontinue all immunosuppression (Figure 3). Cumulative incidence of chronic GVHD at day 270 was greatest for patients on the MMF arm (47%; 95% CI, 29%-64%) followed by denileukin, pentostatin, and etanercept with 34% (95% CI, 20%-48%), 30% (95% CI, 15%-45%), and 22% (95% CI, 10%-34%), respectively (Table 4; Figure 4).
Cumulative incidence of discontinuation of all immunosuppression by day 270 after randomization.
Cumulative incidence of discontinuation of all immunosuppression by day 270 after randomization.
Cumulative incidence of chronic GVHD afterrandomization by treatment arm.
Discussion
The results from this trial are encouraging in that several of the arms resulted in CR rates greater than the historically rates for steroids alone. A notable exception, etanercept plus steroids, did not yield the same high day 28 CR rates as recently reported in a single institution phase 2 trial for patients with newly diagnosed GVHD.6 Etanercept is the only agent with published results available and cautious interpretation is warranted since there may have been differences in patient characteristics between the 2 trials.
Ultimately, only a randomized, double-blind, placebo-controlled trial will answer whether combination drug therapy translates into improved response and survival over steroids alone. Evaluating survival, not only response, is important. An improved CR rate that is offset by increased toxicity, infection, or malignancy relapse, as was true in previously published upfront studies with antithymocyte globulin and daclizumab, would be undesirable.1,9 The high cumulative incidence of grade 3 to 5 toxicities across the 4 arms was reported regardless of attribution to the study drug. Among patients with aGVHD, it is often difficult to assign attribution of toxicities. AEs that were both serious and unexpected (which were assigned with drug treatment attribution) were uncommon across all 4 arms.
This protocol mandated the initial steroid dose to be 2 mg/kg per day methylprednisolone because this is the generally accepted standard for patients with newly diagnosed grade 2 to 4 aGVHD. One randomized study23 showed no benefit from even greater initial steroid doses (10 mg/kg vs 2 mg/kg per day). To date, only 1 retrospective study showed similar efficacy of a lower starting dose, at least in clinically less severe aGVHD cases.24 Future studies are needed to determine whether some patients with aGVHD may do as well with an initial dose less than 2 mg/kg per day, especially in the context of a 2-drug, upfront strategy.
The combination of MMF and steroids appeared to be equally effective for skin, GI, and liver GVHD, which is consistent with published reports for MMF in steroid-refractory aGVHD.13,14 In this randomized phase 2 trial, a direct comparison of treatment arms through either univariate or multivariate analysis was not performed because the study was not powered or designed to allow for such comparisons. Therefore, this trial cannot conclude that the combination of MMF and steroids was superior to the other 3 arms with respect to day 28 CR rate. However, when one includes results for the important secondary end points, including treatment failures, survival, GVHD flares, and infections, MMF was clearly the most promising agent to study in a follow-up phase 3 trial. There was a greater incidence of chronic GVHD in the MMF arm, which was possibly attributable to greater numbers of patients at risk given the greater survival rate in that arm (Figure 4).
A selection bias favoring the MMF arm could have arisen resulting from the lack of patients receiving MMF prophylaxis on this arm, but closer analysis suggests that this is not the case. MMF is commonly used for GVHD prophylaxis for patients undergoing nonmyeloablative conditioning and UCB transplantations. As such, patients randomized to the MMF arm were somewhat younger and more frequently received ablative conditioning. Previous studies do not show age to be a predictor for response to aGVHD therapy, whereas ablative conditioning is reported to negatively impact response rates.7,12 In addition, there were more recipients of PB grafts randomized to etanercept and more UCB grafts randomized to denileukin. Although graft source may influence the development of aGVHD, their influence on response to therapy or outcome after the development of GVHD is unknown. The greater proportion of UCB patients in the denileukin arm could have contributed to the greater incidence of severe infections observed in this cohort. GVHD prophylaxis with MMF could leave patients less likely to respond (yielding more resistant GVHD). A subset analysis excluding patients who had received MMF as GVHD prophylaxis still favored the MMF arm for CR, overall response rates at days 28 and 56, as well as 9-month survival. Finally, the length of therapy was longer for patients assigned to MMF with treatment continued past day 28 of study. This factor would not influence the primary end point of the study (day 28 CR rate) but might favorably impact other long-term outcomes. In the event it did so, it did not result in increased infections, toxicity or relapse in comparison to the other arms.
In conclusion, this randomized phase 2 trial has identified MMF plus corticosteroids as the most promising combination for future investigation as initial aGVHD therapy. A multicenter, randomized phase 3 trial testing corticosteroids plus MMF versus corticosteroids plus placebo is under development through the BMT CTN and will open for enrollment in 2009.
Previously presented in part at the 50th Annual Meeting of the American Society of Hematology, San Francisco, CA, December 6-9, 2008.
The online version of this article contains a data supplement.
Acknowledgments
The authors recognize the following collaborators for their contribution to this trial: J. L. Ferrara, S. Giralt, G. B. Vogelsang, J. H. Antin, D. R. Couriel, N. Chao, D. L. Confer, R. Nash, R. Wu, N. Geller, A. Mendizabal, P. Lucarelli, R. J. Jones, E. Leifer, and the Blood and Marrow Transplant Clinical Trials Network investigators.
This work was supported in part by the National Heart, Lung, and Blood Institute and the National Cancer Institute along with contributions from Amgen, Roche, Eisai, and Hospira Pharmaceuticals.
A complete list of Blood and Marrow Transplant Clinical Trials Network participants is available on the Blood website (see the Supplemental Materials link at the top of the online article).
National Institutes of Health
Authorship
Contribution: A.M.A. performed research, analyzed and interpreted data, and wrote the paper; D.J.W. designed and performed research, analyzed and interpreted data, and wrote the paper; B.R.L. designed the research, performed statistical analysis, analyzed and interpreted the data, and wrote the paper; J.B.-M. performed research; S.C. collected the data; N.D. designed the research and performed statistical analysis; M.P. performed research; S.C.G. performed research; V.T.H. designed and performed research; B.H.-L. performed research; J.R.W. performed research; M.M.H. designed and performed the research, analyzed and interpreted the data, and wrote the paper; and J.E.L. performed research, analyzed and interpreted the data, and wrote the paper.
Conflict-of-interest disclosure: D.J.W. received research funding from Roche, Amgen, Ligand, Supergen, Easai, and Hospira. J.B.-M. received honoraria from Supergen. The remaining authors declare no competing financial interests.
Correspondence: Amin M. Alousi, 1515 Holcombe Blvd, Unit 423, Houston, TX 77030; e-mail: aalousi@mdanderson.org.



