Abstract
miRNAs are small RNA molecules binding to partially complementary sites in the 3′-UTR of target transcripts and repressing their expression. miRNAs orchestrate multiple cellular functions and play critical roles in cell differentiation and cancer development. We analyzed miRNA profiles in B-cell subsets during peripheral B-cell differentiation as well as in diffuse large B-cell lymphoma (DLBCL) cells. Our results show temporal changes in the miRNA expression during B-cell differentiation with a highly unique miRNA profile in germinal center (GC) lymphocytes. We provide experimental evidence that these changes may be physiologically relevant by demonstrating that GC-enriched hsa-miR-125b down-regulates the expression of IRF4 and PRDM1/BLIMP1, and memory B cell–enriched hsa-miR-223 down-regulates the expression of LMO2. We further demonstrate that although an important component of the biology of a malignant cell is inherited from its nontransformed cellular progenitor—GC centroblasts—aberrant miRNA expression is acquired upon cell transformation. A 9-miRNA signature was identified that could precisely differentiate the 2 major subtypes of DLBCL. Finally, expression of some of the miRNAs in this signature is correlated with clinical outcome of uniformly treated DLBCL patients.
Introduction
MicroRNAs (miRNAs) represent a novel class of small functional, noncoding RNAs of 21 to 23 nucleotides. miRNAs initiate inhibition of translation or degradation of mRNAs by binding to partially complementary sites in the 3′ untranslated region (UTR) of the target mRNA and are emerging as key players in the posttranscriptional regulation of intracellular protein concentrations.1 miRNAs orchestrate various cellular functions and play critical roles in many biologic processes, including cell differentiation, apoptosis, proliferation, and cancer development.2-5 Expression profiling studies have detected specific miRNA expression “signatures” in a variety of human cancers, and miRNA coding sequences are frequently located at genomic regions associated with cell transformation and carcinogenesis.3
Expression of certain miRNAs is differentiation/maturation-stage specific, as demonstrated in several compartments of the mammalian hematopoietic precursors6 and during T-cell differentiation.7 Peripheral B-cell development and differentiation following immune stimulation are complex processes controlled by distinct programs of transcriptional control.8 In response to antigen encounter, uncommitted naive B cells are activated and undergo a complex maturational process yielding phenotypically distinct subpopulations that form highly organized germinal centers (GCs) in lymphoid organs. Within the GC, B cells undergo a high rate of proliferation and affinity maturation, are selected by antigen, switch toward mature isotypes, and finally differentiate into either memory or plasma cells. This maturation process is characterized by tightly regulated suppression or increased expression of specific genes, resulting in distinctive gene expression signatures at specific differentiation stages.9 It is possible that spatio-temporal regulation of miRNA expression also occurs in B-lymphocyte lineage during the immune response. A systematic understanding of the roles of miRNAs in this process is incomplete, as few direct studies of changes of miRNA expression over the course of peripheral B-cell differentiation have been conducted. Dynamic regulation of distinct miRNAs within specific B-cell ontogeny stages might influence the maturation process, whereas deregulations of this process might result in block of differentiation and/or malignant transformation.
We performed genome-wide expression profiling with miRNA arrays in purified normal peripheral B-cell subpopulations (centroblasts, naive and memory B cells) along with T cells. We demonstrate distinct changes in the expression of specific miRNAs and paralog families at various stages of B-cell development. We observed a specific differential expression “signature” of miRNAs in GC lymphocytes (centroblasts), although the differences between naive (pre-GC) and memory (post-GC) B cells were less remarkable, similar to previous mRNA expression patterns in these B-cell developmental stages.9 Enrichment or depletion of specific miRNAs in GC cells can be correlated with corresponding reduction or increase in expression of proteins which mRNA transcripts harbor seed matches to these miRNAs. These findings suggest potential functional importance of temporal regulation of miRNA expression during B-cell differentiation. Indeed, miRNA transfection experiments and 3′-UTR reporter assays demonstrated that GC-enriched hsa-miR-125b down-regulates the expression of IRF4 and PRDM1/BLIMP1—key transcription factors whose expression is repressed in centroblasts but is necessary for differentiation into memory and plasma cells.10-12 In contrast, GC-depleted but memory B cell–enriched hsa-miR-223 down-regulates the expression of LMO2—a transcriptional factor specifically expressed in GC lymphocytes.13 We further used microarrays to characterize miRNA expression profiles in GC B-cell (GCB)–like and activated B-cell (ABC)–like diffuse large B-cell lymphomas (DLBCLs). These studies confirmed that although an important component of the biology of a malignant cell is inherited from its nontransformed cellular progenitor—GC centroblasts—aberrant miRNA expression is acquired upon cell transformation and may play an important role in lymphomagenesis. Interestingly, although GCB-like and ABC-like DLBCL differ in expression of hundreds of mRNAs, a 9-miRNA signature was identified that could perfectly differentiate the 2 major subtypes of DLBCL.
Methods
Cell subpopulations and cell lines
Lymphocyte subpopulations were enriched from human reactive tonsils as described in Document S1, available on the Blood website; see the Supplemental Materials link at the top of the online article. Informed consent was obtained in accordance with the Declaration of Helsinki and Institutional Review Board approval was obtained from all participating institutions (University of Miami and British Columbia Cancer Agency) for inclusion of anonymized data in this study.
Five ABC-like DLBCL cell lines (RIVA, Oci-Ly3, Oci-Ly10, HBL1, and U2932) and 3 GCB-like DLBCL cell lines (Oci-Ly7, Oci-Ly19, and SUDHL-6) were cultured in IMDM (Cellgro, Herndon, VA) with 20% human plasma, 1% penicillin/streptomycin/l-glutamine (Cellgro), and 0.2% beta mercaptoethanol (Invitrogen, Grand Island, NY). HeLa cells were cultured in Dulbecco modified Eagle medium with high glucose (Invitrogen) and 10% fetal bovine serum (Hyclone, Logan, UT) and 1% penicillin/streptomycin/l-glutamine (Cellgro).
RNA isolation and miRNA microarray profiling
Total RNA was extracted using the mirVana miRNA Isolation Kit (Ambion, Austin, TX). Dual-color hybridization microarray experiments for miRNA expression were performed using the LC Sciences array platform (Houston, TX) containing probes for all human miRNAs present in miRBase14,15 at the time of the experiment, as previously reported.16 Design and analysis of microarray experiments are detailed in Document S1. The data from both microarray experiments is available at the GEO database (http://www.ncbi.nlm.nih.gov/geo/),17 with accession numbers GSE12934 and GSE12933.
To confirm the array miRNA expression results, we assessed expression of selected miRNAs by TaqMan MicroRNA Assays and the 7900 HT Fast Real-Time Polymerase Chain Reaction (PCR) System (Applied Biosystems, Foster City, CA). The expression of RNU6B was used as internal control and 2−ΔCt values were used for expression analysis.
Search for miRNA target genes and analysis of miRNA clusters
Three prediction algorithms, PicTar18 (http://pictar.mdc-berlin.de/, New York University and Max Delbruck Centrum), miRanda19 (http://cbio.mskcc.org/mirnaviewer/, Memorial Sloan-Kettering Cancer Center), and TargetScan20-22 (http://www.targetscan.org/, Whitehead Institute for Biomedical Research), were used to find possible targets of the miRNAs involved in the GC reaction among proteins playing an important role in GC reaction and B-cell maturation (eg, IRF4, PRDM1, BCL2, LMO2). In addition, the PITA algorithm23 (http://genie.weizmann.ac.il/pubs/mir07/mir07_prediction.html, Segal Lab of Computational Biology; see parameters in Document S1) was used to confirm the accessibility of putative miRNA binding sites.
miRNA clusters were defined using the miRGen software24 (http://www.diana.pcbi.upenn.edu/cgi-bin/miRGen/v3/Cluster.cgi, University of Pennsylvania) as groups of miRNAs located in the same genomic region and not separated by a known gene or more than 5000 bp.
Transfection assays and Western blots
For luciferase reporter experiments, HeLa cells were transfected in triplicate with each 3′-UTR luciferase construct using SiPort NeoFX (Ambion) according to the manufacturer's instructions as summarized in Document S1. Each experiment was repeated at least 4 times (N = 12). Statistical comparison of luciferase results was performed by 2-tailed t test with Bonferroni correction and α = .05
VAL and RCK-8 DLBCL cell lines were transfected by Nucleofector II (Amaxa Biosystems) following the manufacturer's instructions as described in Document S1. Cells were collected 48 and 72 hours after transfection and protein levels were measured by Western blot. Whole-cell lysates of transfected VAL and RCK8 cells were blotted for LMO2 using a monoclonal antibody produced in our laboratory13 and for IRF4 and PRDM1 using the IRF4 (P713) antibody (Cell Signaling Technologies, Beverly, MA) and BLIMP1/PRDM1 antibody (Abcam, Cambridge, MA), respectively
Correlation of miRNA expression and patient outcome
A total of 106 specimens from DLBCL patients treated at the British Columbia Cancer Agency (79 patients) and University of Miami (27 patients) were studied. Total RNA was extracted from two 5-μm thick slices of formalin-fixed, paraffin-embedded sections as we have previously reported.25 Overall survival (OS) was defined as the time interval between the date of diagnoses to the date of death or last follow up. Progression-free survival (PFS) was defined as the time interval between the date of initial diagnosis and the date of disease progression, death from any cause, or last follow-up evaluation. OS and PFS of patients were estimated using the Kaplan-Meier product-limit method and compared by the log-rank test. P values less than .05 were considered statistically significant.
Results
miRNA expression in B-cell subpopulations
miRNA samples from the purified centroblasts and naive and memory B cells were labeled and hybridized to LC Sciences arrays representing the 470 miRNAs identified at the time of the experiment. To provide a control for comparison, we also profiled miRNA expression in T cells purified from tonsils. The 15 data sets corresponding to 4 samples each of the centroblasts and naive and memory B cells and 3 samples of T cells were analyzed by unsupervised hierarchical clustering. This algorithm perfectly segregated B-cell subpopulations and T cells based on global similarities in miRNA expression patterns (Figure 1A). Remarkably, the pattern of miRNA expression in centroblasts was clearly distinguishable from the other cell subpopulations, with specific increased expression of 51 miRNAs. Although naive and memory B cells could be distinguished based on their miRNA expression pattern, the observed differences were less striking compared with the GC lymphocytes. T-cell miRNA expression pattern could be distinguished from patterns observed in B-cell subpopulations; however, it showed closest resemblance to the miRNA expression pattern detected in memory B cells. Taken together, these findings demonstrate that each of the purified B-cell subpopulations displays a distinct miRNA expression profile that is consistent among different individuals.
Profiling of miRNA expression in tonsillar subpopulations of lymphocytes by microarray hybridization. (A) Unsupervised hierarchical clustering of tonsillar lymphocyte subpopulations using all miRNAs with no more than 50% missing values. (B) Hierarchical cluster of the same samples performed with the classifier of 39 miRNAs obtained after SAM and PAM analysis. Mean centered log ratios for each miRNA are represented. Missing values are in gray. CB indicates centroblast; MC, memory B cell; N, naive B cell; and T, T cell.
Profiling of miRNA expression in tonsillar subpopulations of lymphocytes by microarray hybridization. (A) Unsupervised hierarchical clustering of tonsillar lymphocyte subpopulations using all miRNAs with no more than 50% missing values. (B) Hierarchical cluster of the same samples performed with the classifier of 39 miRNAs obtained after SAM and PAM analysis. Mean centered log ratios for each miRNA are represented. Missing values are in gray. CB indicates centroblast; MC, memory B cell; N, naive B cell; and T, T cell.
To identify a miRNA classifier sufficient to separate individual B-cell subpopulations from each other and also from T cells, we performed a significance analysis of microarrays (SAM)26 using the miRNA probes with data in at least 50% of samples. This approach yielded 118 differentially expressed miRNAs with a false discovery rate (FDR) of 10%. We next applied prediction analysis of microarrays (PAM)27 and this yielded a cell of origin classifier based on 39 miRNAs with one misclassification error, as estimated by cross-validation. Hierarchical clustering of all the 15 cell subpopulation samples using these miRNAs resulted in heat map correctly separating the 4 lymphocyte subpopulations (Figure 1B). Twenty-one of the 39 miRNAs in this cell of origin classifier are specifically up-regulated in centroblasts. Notably, tremendous changes in miRNA expression upon B-cell maturation were observed for specific miRNAs. For example, the expressions of hsa-miR-18a and hsa-miR-28 were 15- and 10-fold higher, respectively, in centroblasts compared with memory B cells, whereas an opposite trend of markedly higher expression (10- to 20-fold) in memory B cells compared with centroblasts was observed for hsa-miR-101c, hsa-miR-150, and hsa-miR-29c. To confirm the LC array expression data, we selected 9 miRNAs from the classifier and measured their expression in cell subpopulation samples using TaqMan MicroRNA Assays. An excellent correlation with array data was observed (Figure S1).
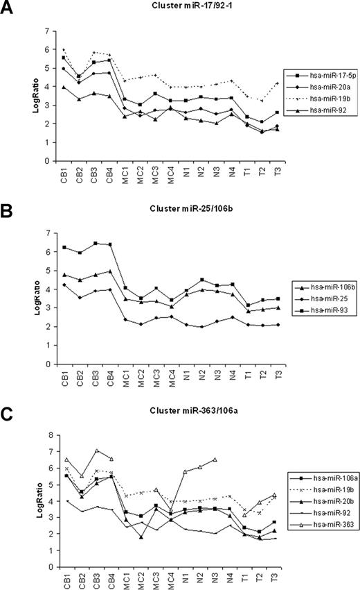
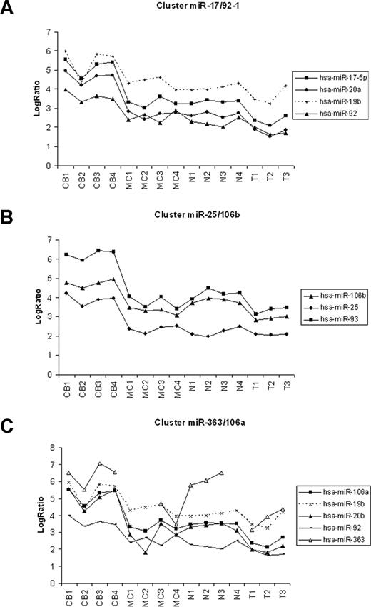
Some miRNAs are organized in clusters that are transcribed as a single pri-miRNA.28 miRNA members of the same cluster frequently exhibit similar patterns of expression. Among the 39 miRNAs comprising the cell of origin classifier, 25 miRNAs are transcribed from miRNA clusters (Table S4). This accounts for an enrichment in clusters compared with the whole data set of probes analyzed in the microarray (64.1% vs 45.5%, respectively). Furthermore, several miRNA paralog groups of clusters are represented in the cell of origin classifier. For example, miRNA paralog clusters miR-17/miR-92a-1, miR-363/miR-106a, and miR-25/miR-106b are all highly expressed in centroblasts and follow similar profiles of expression across the different lymphocyte subpopulations (Figure 2). Similarly, members of paralog clusters miR-16-1/miR-15a and miR-15b/miR-16-2, as well as the family of clusters of hsa-miR-181, are also up-regulated in centroblasts (Figure S2A,B). In contrast, miRNAs from paralog clusters miR-24-2/miR-23a and miR-23b/miR-24-1, and miR-29a/miR-29-b-1 and miR-29c/miR-29-b-2 are up-regulated in memory B cells compared with centroblasts (Figure S3A,B).
Paralog clusters miR17/92-1, miR25/106b, and miR363/106a are overexpressed in centroblasts. (A-C) Log ratio values are plotted. Only miRNAs that are the main processed product of the corresponding pre-miRNA and with no more than 3 missing values in the microarrays were included. Dashed lines are used to represent miRNAs not included in the 39 miRNA cell-of-origin classifiers.
Paralog clusters miR17/92-1, miR25/106b, and miR363/106a are overexpressed in centroblasts. (A-C) Log ratio values are plotted. Only miRNAs that are the main processed product of the corresponding pre-miRNA and with no more than 3 missing values in the microarrays were included. Dashed lines are used to represent miRNAs not included in the 39 miRNA cell-of-origin classifiers.
miRNA specifically expressed in cell subpopulations represses expression of genes with roles in B-cell differentiation
The temporal variation in the levels of miRNA expression at distinct ontogeny stages of B lymphocytes raised a hypothesis that miRNAs may control expression of key proteins regulating peripheral B-cell maturation during immune response. We focused initially on miRNAs whose targets are known to change expression during B-cell differentiation. miR-15a and miR-16 are known to down-regulate the expression of BCL2.29-31 As expected, we detected high expression of hsa-miR-15a and hsa-miR-16 in GC lymphocytes, which are known not to express Bcl2 protein. Luciferase reporter assays using the 3′-UTR of the BCL2 gene confirmed repression of expression by hsa-miR-15a and hsa-miR-15b (Figure S4). These findings may explain down-regulation of BCL2 expression in GC lymphocytes. We next explored novel targets of miRNAs comprising the cell of origin classifier, searching for putative binding sites in the 3′-UTR of genes with known roles in the GC reaction and differentiation to memory B cells. Using 3 different prediction algorithms we found that putative binding sites for hsa-miR-223, highly expressed in naive and memory B cells but not in centroblasts, are harbored in the 3′-UTR of LMO2—a gene that is expressed at higher levels in GC lymphocytes.13 In addition, hsa-miR-125b, highly up-regulated in GC lymphocytes, has putative binding motifs in the 3′-UTRs of IRF4 and PRDM1—transcription factors necessary for post-GC maturation of the B lymphocytes.10-12
To test regulation of these genes by the corresponding miRNAs, we transfected the precursor of hsa-miR-223 into VAL DLBCL cell line, which expresses the LMO2 protein, and the precursor of hsa-miR-125b into RCK-8 DLBCL cell line, which expresses the IRF4 and PRDM1 proteins. Western blotting of whole-cell lysates showed a decrease of native LMO2 in VAL cells transfected with hsa-miR-223 (Figure 3A), compared with control miRNA transfection with maximal decrease in LMO2 levels at 72 hours after transfection. hsa-miR-125b decreased expression levels of PRDM1 and IRF4 proteins at 48 hours after transfection (Figure 3B). Examination of effects of hsa-miR-223 precursor on LMO2 mRNA revealed a decrease in expression at 24, 48, and 72 hours after transfection (Figure 3C). hsa-miR-125b transfection had little effect on IRF4 mRNA levels, suggesting that the main regulation is at the protein translation level (Figure 3D). Unexpectedly, hsa-miR-125b precursor–induced down-regulation of PRDM1 protein was associated with increased mRNA levels of PRDM1 transcript in RCK8 cells at 24, 48, and 72 hours after transfection (Figure 3D). Similarly, high levels of PRDM1 mRNA were previously observed in ABC-like DLBCL tumors not expressing PRDM1 protein due to nonsense PRDM1 mutations.32 These observations may suggest up-regulation of PRDM1 mRNA in response to reduced expression of PRDM1 protein. Transfection efficacy in each experiment was confirmed by measurements of appropriate miRNAs by TaqMan MicroRNA Assays (Figure 3C,D right panels).
Effects of hsa-miR-223 or hsa-miR-125b overexpression on protein and mRNA levels of genes with roles in B-cell maturation. (A) Effect of the overexpression of hsa-miR-223 on native LMO2 protein levels in VAL cell line at 72 hours after transfection, assessed by Western blot. (B) PRDM1 and IRF4 protein levels detected by Western blot in RCK8 48 hours after transfection of hsa-miR-125b precursor. GAPDH levels were used as loading control in all cases. Data were confirmed in duplicate experiments. Effects of the overexpression of hsa-miR-223 on the mRNA levels of LMO2 (C), or of the overexpression of hsa-miR-125b on mRNA levels of PRDM1 (D left upper panel) and IRF4 (D left lower panel), measured by real-time PCR using TaqMan Gene Expression Assays (Applied Biosystems) at 24, 48, and 72 hours after transfection. Values of triplicate wells are represented as fold expression with respect to the nontargeting control transfection. Overexpression of both miRNAs was confirmed by TaqMan MicroRNA Assays (C right panel and D right panel), expressed as fold increase regarding the control transfection. Error bars correspond to standard error of the mean in all graphs.
Effects of hsa-miR-223 or hsa-miR-125b overexpression on protein and mRNA levels of genes with roles in B-cell maturation. (A) Effect of the overexpression of hsa-miR-223 on native LMO2 protein levels in VAL cell line at 72 hours after transfection, assessed by Western blot. (B) PRDM1 and IRF4 protein levels detected by Western blot in RCK8 48 hours after transfection of hsa-miR-125b precursor. GAPDH levels were used as loading control in all cases. Data were confirmed in duplicate experiments. Effects of the overexpression of hsa-miR-223 on the mRNA levels of LMO2 (C), or of the overexpression of hsa-miR-125b on mRNA levels of PRDM1 (D left upper panel) and IRF4 (D left lower panel), measured by real-time PCR using TaqMan Gene Expression Assays (Applied Biosystems) at 24, 48, and 72 hours after transfection. Values of triplicate wells are represented as fold expression with respect to the nontargeting control transfection. Overexpression of both miRNAs was confirmed by TaqMan MicroRNA Assays (C right panel and D right panel), expressed as fold increase regarding the control transfection. Error bars correspond to standard error of the mean in all graphs.
It can be argued that hsa-miR-223 and hsa-miR-125b interact with other unknown targets, which in turn down-regulate levels of LMO2, IRF4, and PRDM1. To confirm direct effects, we fused 3′-UTR sequences of LMO2, IRF4, and PRDM1, each containing putative binding sites to the corresponding miRNAs, to a luciferase reporter gene. By cotransfecting the miRNA precursors with the corresponding constructs, we demonstrated that all the tested miRNAs significantly repressed luciferase activity compared with a nontargeting control (Figure 4). Taken together, these data support a direct effect of these miRNAs on their target transcripts and are in agreement with the results obtained for native proteins by Western blot in DLBCL cell lines.
The regulation of expression by hsa-miR-223 or hsa-miR-125b involves binding to specific sites in the 3′-UTRs of LMO2, PRDM1, or IRF4 transcripts. (A) Dual luciferase activity of reporter plasmids with the wild-type or mutated 3′-UTR of LMO2 fused to the luciferase gene upon hsa-miR-223 precursor cotransfection in HeLa cells. The same experiment performed for (B) PRDM1 or (C) IRF4 3′-UTR luciferase reporter plasmids after cotransfection with hsa-miR-125b precursor. ■ represents cotransfections with the corresponding miRNA precursor, and □, the cotransfection of the same reporter vector with the nontargeting control. Values are normalized to the value of each control, which is noted as 100%. Mutation of putative binding sites is expressed as MUT1 for the most 5′ site, MUT2 for the most 3′ site, and MUT1 + 2 for the combined mutation of both sites. Statistical comparisons by 2-tailed t test with Bonferroni correction between different constructs are represented as ↔. Statistical comparisons between the cotransfected miRNA and the nontargeting control for the same reporter vector are noted over the black bars. Significant differences with associated P values less than .05 are expressed as * and nonsignificant difference, as ns. Error bars correspond to the SEM.
The regulation of expression by hsa-miR-223 or hsa-miR-125b involves binding to specific sites in the 3′-UTRs of LMO2, PRDM1, or IRF4 transcripts. (A) Dual luciferase activity of reporter plasmids with the wild-type or mutated 3′-UTR of LMO2 fused to the luciferase gene upon hsa-miR-223 precursor cotransfection in HeLa cells. The same experiment performed for (B) PRDM1 or (C) IRF4 3′-UTR luciferase reporter plasmids after cotransfection with hsa-miR-125b precursor. ■ represents cotransfections with the corresponding miRNA precursor, and □, the cotransfection of the same reporter vector with the nontargeting control. Values are normalized to the value of each control, which is noted as 100%. Mutation of putative binding sites is expressed as MUT1 for the most 5′ site, MUT2 for the most 3′ site, and MUT1 + 2 for the combined mutation of both sites. Statistical comparisons by 2-tailed t test with Bonferroni correction between different constructs are represented as ↔. Statistical comparisons between the cotransfected miRNA and the nontargeting control for the same reporter vector are noted over the black bars. Significant differences with associated P values less than .05 are expressed as * and nonsignificant difference, as ns. Error bars correspond to the SEM.
To further demonstrate the specificity of the interaction between the tested miRNAs and target mRNA sequences, we generated a panel of reporter constructs containing the LMO2, IRF4, and PRDM1 3′-UTRs with the corresponding miRNA putative binding sites mutated individually or in combination. The specific binding sites chosen for mutagenesis were selected based on analysis of accessibility of each putative miRNA binding site with the PITA algorithm.23 The following putative binding sites were selected for further studies (Table S3): in the 3′-UTR of LMO2, 2 binding sites for hsa-miR-223 (positions 106 and 192 in the cloned 3′-UTR, ddG equal to −4.73 and −1.97, respectively), and 2 putative binding sites for hsa-miR-125b in each of the 3′-UTRs of PRDM1 (positions 39 and 1471, with associated ddG equal to −10.63 and −1.39), and IRF4 (positions 538 and 2160, with ddG of −6.36 and −0.65).
Mutagenesis of each putative binding site showed that all of them contributed to the regulation of these transcripts, although not to the same degree (Figure 4). Cotransfection of the hsa-miR-223 precursor and the luciferase vector with the 3′-UTR of LMO2 into HeLa cells resulted in a reduction of luciferase activity to 51% plus or minus 4% compared with a nontargeting control miRNA precursor. Mutagenesis of the seed of the most 5′ putative binding site for hsa-miR-223 induced a slight recovery of luciferase activity to 66% plus or minus 3% (not statistically significant). Mutation of the second putative site for this miRNA increased luciferase activity to 82% plus or minus 2%, and the combined mutation of both sites produced an almost complete restoration of luciferase activity (90% ± 3%, not statistically different from the nontargeting control; Figure 4A).
Cotransfection of the PRDM1 or IRF4 luciferase constructs with the precursor of hsa-miR-125b diminished luciferase activity to 51% plus or minus 2% for PRDM1 and 50% plus or minus 2% for IRF4 compared with the control. Mutagenesis of the most 5′ site in both 3′-UTRs induced recovery in luciferase activity to 67% plus or minus 2% for PRDM1 and 84% plus or minus 4% for IRF4, whereas mutagenesis of the most 3′ site induced no change compared with the wild type (52% ± 3% for PRDM1 and 48% ± 2% for IRF4). Nevertheless, combination mutagenesis of both sites restored luciferase activity to 79% plus or minus 5% for PRDM1 and 91% plus or minus 5% for IRF4 (Figure 4B), suggesting a collaborative effect between the corresponding binding sites. In the case of the IRF4 double mutant there was almost complete abolishment of the regulation by hsa-miR-125b, whereas for PRDM1 double mutant there was a residual response to this miRNA, suggesting the possible existence of an additional functional binding site.
miRNA expression in DLBCL cell lines
Malignant lymphomas arise from normal B-cell counterparts at different ontogeny stages, and commonly continue to express gene signatures inherited from their nontransformed cellular progenitors.33 miRNAs have been previously implicated in carcinogenesis and lymphomagenesis.3,34 Consequently, we next analyzed miRNA expression profiles in DLBCL cell lines representing the GCB-like and ABC-like lymphomas originating from GC and possibly post-GC lymphocytes, respectively. miRNA samples from 5 ABC-like and 3 GCB-like DLBCL cell lines were labeled and hybridized to LC Sciences arrays representative of the 711 miRNAs known at the time of the experiment. To determine whether GCB-like and ABC-like cell lines could be distinguished based on their miRNA expression profiles, we performed an unsupervised hierarchical clustering analysis using the miRNA probes with data in at least 50% of samples (217 miRNAs). The clustering algorithm perfectly segregated GCB-like and ABC-like DLBCL cell lines based on global similarities in miRNA expression patterns (Figure 5A). To identify a miRNA signature sufficient to separate GCB-like and ABC-like DLBCLs, we performed a SAM analysis using these 217 miRNA probes. This approach identified 9 miRNAs (hsa-miR-146b-5p, hsa-miR-146a, hsa-miR-21, hsa-miR-155, hsa-miR-500, hsa-miR-222, hsa-miR-363, hsa-miR-574-3p, and hsa-miR-574-5p) differentially expressed between the DLBCL subtypes, at a FDR of 10% (Figure 5B). All of these 9 miRNAs were expressed at higher levels in the ABC-like DLBCL, with differences up to 267-fold (hsa-miR-363). Interestingly, only 2 (hsa-miR-146b-5p and hsa-miR-146a) of these 9 miRNAs were included in the cell of origin classifier constructed to differentiate distinct normal B-cell subpopulations (Figure 1B). This finding suggests that distinction between the GCB-like and ABC-like DLBCL subtypes is not based solely on distinct cellular origin but most probably also reflects different biology of these tumors.
miRNA expression profiling of DLBCL cell lines. (A) Unsupervised hierarchical clustering of DLBCL cell line samples using all miRNAs with no more than 50% missing values. (B) Hierarchical clustering of the same samples using only the 9 miRNAs with differential expression between the ABC and GCB DLBCL subtypes based on SAM analysis. (C) The 39 miRNA cell-of-origin classifiers shown in Figure 1B are used for hierarchical clustering of cell lines and normal tonsillar lymphocyte subpopulations. Mean centered log ratios for each miRNA are represented. Missing values are in gray. CB indicates centroblast; MC, memory B cell; N, naive B cell; T, T cells; GCB, germinal center–like DLBCL; and ABC, activated B cell–like DLBCL.
miRNA expression profiling of DLBCL cell lines. (A) Unsupervised hierarchical clustering of DLBCL cell line samples using all miRNAs with no more than 50% missing values. (B) Hierarchical clustering of the same samples using only the 9 miRNAs with differential expression between the ABC and GCB DLBCL subtypes based on SAM analysis. (C) The 39 miRNA cell-of-origin classifiers shown in Figure 1B are used for hierarchical clustering of cell lines and normal tonsillar lymphocyte subpopulations. Mean centered log ratios for each miRNA are represented. Missing values are in gray. CB indicates centroblast; MC, memory B cell; N, naive B cell; T, T cells; GCB, germinal center–like DLBCL; and ABC, activated B cell–like DLBCL.
We next analyzed the similarities and differences in expression of miRNAs between normal lymphocyte subpopulations and GCB-like and ABC-like DLBCL cell lines. The 23 data sets corresponding to 4 samples each of the centroblasts and naive and memory B cells, 3 samples of T cells, and 8 samples of DLBCL cell lines were analyzed by unsupervised hierarchical clustering using the 39-miRNA cell of origin classifier. Again, the algorithm perfectly segregated individual normal B-cell subpopulations and T cells. In addition, all the cell lines clustered together on a separate dendrogram branch with almost perfect segregation of ABC-like and GCB-like cell lines (SUDHL-6 cell line was clustered in proximity to other GCB-like cell lines but on a dendrogram branch that also contained all the ABC-like cell lines). Interestingly, both the GCB-like and ABC-like cell lines clustered together with GC centroblasts on a major branch of the dendrogram, separated from memory B cells, suggesting closer similarity in miRNA expression to GC lymphocytes (Figure 5C). This finding suggests that based on miRNA profiling, GCB-like and ABC-like DLBCLs probably originate from distinct stages of GC lymphocytes. Of the 21 miRNAs in the cell of origin classifier that are highly expressed in GC centroblasts, only 11 were also highly expressed in DLBCL cell lines, whereas the other 10 were expressed at significantly lower levels compared with normal cellular counterpart. Previous studies reported down-regulation of miRNAs in tumors compared with normal tissues.35 To examine whether this phenomena is more general or is restricted only to GC-specific miRNAs, we performed a SAM analysis using 143 miRNAs with data in at least 6 (4 GC specimens and 8 cell lines) of 12 samples to identify miRNA distinctively expressed between DLBCL cell lines and centroblasts, from which these tumors most probably originate. A total of 82 miRNAs showed differential expression with FDR of 10% (Figure 6A). More than half of these miRNAs were up-regulated in cell lines. Among the 82 differentially expressed miRNAs, 28 belonged to the 39 miRNA comprising the cell of origin classifier and 2 (hsa-miR-21 and hsa-miR-574-3p) were included among the 9 miRNAs whose expression was markedly different between the ABC- and GCB-cell lines.
Cell lines versus normal centroblast miRNA expression comparison. (A) Hierarchical clustering of cell lines and their normal counterparts (centroblasts) using the 82 miRNAs with differential expression between these 2 groups based on SAM analysis. miRNAs comprising the 39 miRNA cell-of-origin classifiers are framed in red; miRNAs with differential expression between DLBCL subtypes are framed in green. (B) Classifier of 5 miRNAs obtained from the PAM algorithm to differentiate DLBCL cell lines from their normal counterparts. Mean centered log ratios for each miRNA are represented. Missing values are in gray. CB indicates centroblast; GCB, germinal center–like DLBCL; and ABC, activated B cell–like DLBCL.
Cell lines versus normal centroblast miRNA expression comparison. (A) Hierarchical clustering of cell lines and their normal counterparts (centroblasts) using the 82 miRNAs with differential expression between these 2 groups based on SAM analysis. miRNAs comprising the 39 miRNA cell-of-origin classifiers are framed in red; miRNAs with differential expression between DLBCL subtypes are framed in green. (B) Classifier of 5 miRNAs obtained from the PAM algorithm to differentiate DLBCL cell lines from their normal counterparts. Mean centered log ratios for each miRNA are represented. Missing values are in gray. CB indicates centroblast; GCB, germinal center–like DLBCL; and ABC, activated B cell–like DLBCL.
We next aimed to identify a classifier to differentiate centroblasts from DLBCL cells. To this end, we performed PAM analysis that yielded a 5-miRNA classifier that differentiated normal centroblasts from DLBCL tumors without a single misclassification error, as estimated by cross-validation (Figure 6B).
hsa-miR-222 expression correlates with outcome of DLBCL patients
Previous studies demonstrated that patients with GCB-like and ABC-like DLBCL treated with cyclophosphamide, doxorubicin, vincristine, and prednisone (CHOP) therapy demonstrate different survival.33,36 Moreover, expression of some, but not all, of the genes characteristic of GCB and ABC gene signatures could be correlated with outcome of DLBCL patients.37 Therefore, we correlated expression of several of the miRNAs differentially expressed between GCB-like and ABC-like cell lines (Figure 4B) to outcome of DLBCL patients. We examined expression of hsa-miR-222, hsa-miR-21, and hsa-miR-155 in 106 specimens of DLBCL patients treated with current standard therapy: rituximab-CHOP (R-CHOP). The patients were divided into cases with low and high expression based on the median expression of each miRNA in the analyzed cohort. High expression of hsa-miR-222, characteristically expressed in ABC-like cell lines, was associated with inferior overall survival (OS) and progression-free survival (PFS) (P = .04 and P = .03, respectively) (Figure 7). hsa-miR-222 expression also predicted OS and PFS when considered as a continuous variable (P < .001 and P < .001, respectively). We next examined whether the prognostic significance of the hsa-miR-222 expression was independent of the international prognostic index (IPI) score. A multivariate Cox regression analysis that included IPI scores and hsa-miR-222 expression (as a continuous variable) with OS or PFS as the dependent variables was performed. Both the IPI and the hsa-miR-222 expression were independent predictors of OS (P = .03 and P = .003, respectively) and PFS (P = .003 and P = .007, respectively). No correlations between expression of hsa-miR-21 or hsa-miR-155 and OS or PFS were observed.
Expression of hsa-miR-222 predicts overall survival (OS) and progression-free survival (PFS) in patients with DLBCL treated with R-CHOP chemotherapy. (A,B) Kaplan-Meier curves for 106 uniformly treated DLBCL patients are plotted. The patients of the cohort were divided into cases with low and high expression based on the median expression of hsa-miR-222. Log-rank test P values are shown.
Expression of hsa-miR-222 predicts overall survival (OS) and progression-free survival (PFS) in patients with DLBCL treated with R-CHOP chemotherapy. (A,B) Kaplan-Meier curves for 106 uniformly treated DLBCL patients are plotted. The patients of the cohort were divided into cases with low and high expression based on the median expression of hsa-miR-222. Log-rank test P values are shown.
Discussion
miRNAs are involved in multiple steps of hematopoiesis,6,38 and a recent study showed temporal enrichments of specific miRNAs at distinct stages of T-lymphocyte development that were associated with depletion of mRNA transcripts containing seed matches for certain miRNAs.7 We have hypothesized that peripheral B-cell differentiation occurring during an immune response will be associated with spatio-temporal changes in miRNA expression that may have important roles in regulation of this process. We have attempted to systematically characterize changes occurring in miRNA expression during differentiation of naive B cells to centroblasts and memory B cells using specific arrays. Our results demonstrate that the expression of most miRNAs is differentiation-stage specific. Of note, the differentiation of naive B cells to centroblasts and of the latter to memory B cells is associated with radical changes of expression of multiple miRNAs, whereas naive and memory B cells exhibit marked similarity, but not identity, in the pattern of miRNA expression. Similar observations with regard to mRNA expression were previously reported in these B-cell subpopulations.9 Overall, these findings point to the unique changes occurring in both mRNA and miRNA expressions during the GC reaction. By taking advantage of the changes in miRNA expression occurring during B-cell differentiation, we constructed a “cell-of-origin classifier” consisting of 39 miRNAs that could perfectly differentiate between the distinct B-cell subpopulations. Remarkably, almost two-thirds of miRNAs constituting the “cell-of-origin classifier” belonged to several clusters, whose miRNA members demonstrated similar temporal changes during B-cell differentiation. Moreover, paralog groups of miRNA clusters also exhibited similar profiles of expression in distinct cell subpopulations, suggesting the presence of common regulatory networks controlling distinct paralogs.
The GC reaction is a process known to be tightly regulated by expression of several transcription factors, including but not limited to BCL6, PRDM1, IRF4, LMO2, E2A, and PAX5.8,13,39 BCL6 is considered a master regulator of the GC reaction and its repression is necessary for differentiation to memory and plasma cells.8,12 In contrast, IRF4 and PRDM1 are key factors for post–GC cell differentiation,10,11,40 and recent studies demonstrated that they can repress BCL6 expression,41,42 a necessary step for termination of the GC reaction. The mechanisms underlying up-regulation of IRF4 and PRDM1 that are leading to BCL6 repression and exit from the GC are unknown. In this study, we provide experimental evidence that hsa-miR-125b can simultaneously down-regulate expression of IRF4 and PRDM1/BLIMP1 and may play a key role in the GC reaction and post-GC differentiation. We demonstrated that hsa-miR-125b expression is higher in GC centroblasts than in memory B cells and is reciprocal to the expression of IRF4 and PRDM1. Furthermore, we showed that PRDM1 and IRF4 3′-UTRs contain complementary binding sites for hsa-miR-125b and that this miRNA can translationally repress expression of corresponding luciferase reporter vectors through specific interactions with its 3′UTR binding sites. Forced expression of hsa-miR-125b in RCK8 cells caused a reduction in IRF4 and PRDM1 protein levels. A recent study proposed that let-7a and miR-9 may also regulate expression of PRDM1 in Hodgkin lymphoma cells.43 Based on our data, expression of let-7a is also markedly higher in centroblasts compared with naive and memory B cells, but hsa-miR-9 is not expressed at all in our lymphocyte subpopulations. Let-7a may also contribute to the regulation of PRDM1 but not IRF4 expression during GC reaction, and may cooperate with hsa-miR-125b. Indeed, collaboration between let-7 family and miR-125a/b was previously proposed for the regulation of Mlin14 and lin-28 during mouse embryogenesis44 and C elegans development,45 respectively. In mammalian neuronal cell lines, expression of lin-28 RNA is down-regulated when expression of let-7 and mir-125a/b is up-regulated.46 The finding that let-7a regulates only PRDM1 whereas hsa-miR-125b can regulate both PRDM1 and IRF4 may have important implications in specific biologic and pathological processes. PRDM1 and IRF4 are normally coexpressed in GC lymphocytes committed to plasma cell differentiation and both factors are required for this process, suggesting simultaneous regulation, for example, by hsa-miR-125b. In contrast, expression of PRDM1 and IRF4 is commonly dissociated in Hodgkin lymphoma cells, which express high levels of let-7a that can suppress expression of PRDM143 but that do not express hsa-miR-125b, thus allowing IRF4 expression. Since deregulation of IRF4 and PRDM1 was implicated in the process of lymphomagenesis,32,41 it is possible that hsa-miR-125b may also play a role in this process.
We also provide experimental evidence that hsa-miR-223, whose expression is low in GC lymphocytes, high in naive and memory B cells, and reciprocal to the expression of LMO2, can down-regulate the expression of this transcriptional factor. LMO2, whose expression in peripheral B-cell lineage is almost exclusively restricted to GC lymphocytes, has clinical relevance in DLBCL, since its expression level is a powerful predictor of survival in DLBCL patients.13,47 However, its function in GC cells is unknown. It was previously found that the LMO2 gene is also of major importance in hematopoiesis; its deletion in mice is lethal because of loss of yolk-sac erythropoiesis, and studies in embryonic stem cells and chimeric mice have shown that LMO2 mRNA contributes to the development of all hematopoietic lineages.48 In addition, LMO2 was shown to play a central role in leukemic transformation: chromosomal translocations involving LMO2 occur at a frequency of 8% to 10% in T-cell acute lymphoblastic leukemia, and it appears to function synergistically with other transcription factors to induce oncogenic transformation.49-51 We have previously detected LMO2 expression also in acute myeloid leukemia cells and myeloid precursors.13 hsa-miR-223 is a miRNA that acts as main regulator of granulopoiesis52 and is able to restore granulocytic differentiation in leukemic blast cells,6 but is also involved in other stages of hematopoiesis and other malignancies, such as ovarian cancer.53 Our findings that hsa-miR-223 can down-regulate expression of LMO2 may thus have important biologic implications not only in B-lymphocyte differentiation, but also in other cell lineages.
Although malignant transformation of cells is characterized by deregulated expression of multiple genes, an important component of the biology of a malignant cell is frequently inherited from its nontransformed cellular progenitor. DLBCL tumors can be subdivided based on mRNA expression into GCB-like DLBCL, expressing genes that are expressed in normal GC lymphocytes from which they originate, and ABC-like DLBCL, whose gene expression is similar to activated peripheral B lymphocytes and whose origin is presently unclear.33 Some investigators suggested that they originate from post–germinal center memory B cells,54 whereas others proposed that their origin is from late GC lymphocytes committed to plasma and/or memory cell differentiation pathway. Analysis of miRNA expression revealed that the miRNA expression pattern of GCB-like cell lines is indeed similar to GC lymphocytes. However, miRNA expression in ABC-like cell lines is also more similar to GC lymphocytes compared with memory cells, even though unsupervised analysis of miRNA expression allows differentiation between GCB-like and ABC-like tumors. These observations suggest that although GCB-like DLBCL most probably originates from early GC centroblasts, ABC-like DLBCLs most likely originate from late GC cells destined to differentiate to post-GC lymphocytes. Interestingly, expression of many miRNAs was consistently down-regulated in DLBCL cell lines compared with centroblasts. Previous studies suggested that the malignant transformation process is associated with decreased expression of multiple miRNAs.35 It is possible that many of the miRNAs with differential expression between DLBCL cells and their normal counterparts (GC lymphocytes) may contribute to the process of malignant transformation. Further studies to investigate their roles in this process are needed.
GCB-like and ABC-like DLBCLs are characterized by different outcome. Some, but not all the genes belonging to the GC signature and ABC signature were previously also associated with DLBCL outcome. In a recent study of miRNA expression in DLBCL, Roehle et al55 could not identify miRNAs that could easily differentiate between the GCB-like and non–GCB-like DLBCL subtypes. This observation differs from our findings and may be due to misclassification of DLBCL tumors by immunohistochemical method used by Roehle et al.55 The immunohistochemical classification reported by Hans et al and used in this paper harbors a 20% misclassification rate56 compared with gene expression profiling, which is regarded as the gold standard for definition of DLBCL subtype and was used in our DLBCL cell lines. In addition, Roehle et al55 analyzed only 157 miRNAs, thus most probably not including many of the miRNAs distinctively expressed between the DLBCL subtypes. Upon analysis of the expression of more than 700 miRNAs in well-defined GCB-like and ABC-like DLBCL cell lines, we have identified 9 miRNAs whose expression was most different between the DLBCL subtypes. Two of them (hsa-miR-155, hsa-miR-21) were previously found to be differentially expressed between ABC and GCB DLBCL subtypes,57,58 and hsa-miR-21 was reported to be associated with longer relapse-free survival in a small cohort of 35 not uniformly treated de novo DLBCL cases. To extend our finding to DLBCL patients, we measured expression of hsa-miR-21, hsa-miR-155, and hsa-miR-222 in 106 patients of DLBCL uniformly treated with R-CHOP therapy. Only higher expression of hsa-miR-222, more expressed in ABC-like DLBCL, correlated with shorter OS and PFS. Whether this correlation is due to specific function of hsa-miR-222 in DLBCL or is simply a reflection of the ABC-like subtype, is presently unclear and needs to be evaluated in additional studies. It is of note that hsa-miR-222 is transcribed in the same cluster and has the same seed sequence as hsa-miR-221, which was also reported to be highly expressed in ABC-like DLBCL.57 We found high correlation in expression of these 2 miRNAs in our cell lines as well as in tumor specimens (R2 equal to 0.89 and 0.84, respectively; not shown), suggesting the involvement of the whole cluster in ABC-like DLBCL biology. Similar to our findings in DLBCL, previous studies demonstrated correlation between expression of specific miRNAs and patients' outcome in chronic lymphocytic leukemia and acute myeloid leukemia.59,60 Evaluation of correlation between survival of DLBCL patients and expression of additional miRNAs is warranted.
The online version of this article contains a data supplement.
The publication costs of this article were defrayed in part by page charge payment. Therefore, and solely to indicate this fact, this article is hereby marked “advertisement” in accordance with 18 USC section 1734.
Acknowledgments
I.S.L. is supported by National Institutes of Health (NIH, Bethesda, MD) CA109335, NIH CA 122105, and NIH U56 CA112973 and Dwoskin Family Foundation (Miami, FL). The work of R.M. and E.C. was supported by a fellowship from Fundación Caja Madrid (Madrid, Spain) and a fellowship from Fundación Alonso Martín Escudero (Madrid, Spain), respectively. R.D.G. is supported by National Cancer Institute of Canada Terry Fox Program Project grant no. 016003.
National Institutes of Health
Authorship
Contribution: R.M., K.A.S., E.C., and X.J. performed experiments; R.M., K.A.S., E.C., X.J, R.T., and I.S.L analyzed the data; J.W.R. and R.D.G. contributed valuable tissues and clinical information; R.D.G. performed pathologic analysis of the specimens; I.S.L. conceptualized the idea of the study and provided funding for experiments; R.M., I.S.L., and R.T. contributed to writing; and all authors approved the paper.
Conflict-of-interest disclosure: The authors declare no competing financial interests.
Correspondence: Izidore S. Lossos, Sylvester Comprehensive Cancer Center, Department of Medicine, Division of Hematology-Oncology, University of Miami, 1475 NW 12th Ave (D8-4), Miami, FL 33136; e-mail: ilossos@med.miami.edu.






