Abstract
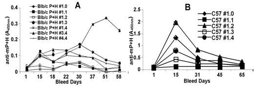
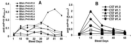
Heparin-Induced Thrombocytopenia (HIT) is a prothrombotic disorder caused by antibodies directed to complexes of platelet factor 4 (PF4) and heparin. Little is known about the immune basis of HIT, such as why serologic responses develop commonly in certain clinical settings or why immune responses may be transient in humans. To gain insight into the immune mechanisms governing PF4/heparin antibody production in vivo, we initiated studies in a recently developed murine immunization model of HIT, in which mice are injected with PF4/heparin antigen by retro-orbital injection daily for five days without adjuvant. PF4/heparin antibody development in mice is monitored weekly by a murine PF4/heparin (mP+H) ELISA. Immunizations of identical doses of PF4/heparin antigen in BALB/c and C57BL/6 (C57) mice resulted in marked strain-dependent differences in immune susceptibility, temporal kinetics and secondary recall. BALB/c mice showed more variable sensitization to mP+H injections (See Figure below) and manifested lower peak antibody levels (mean peak A450nm± SD: 0.153±0.1) than C57 mice (0.91±0.73). Time course of antibody formation was also strain-dependent. Peak antibody levels occurred ~ 45 days after start of immunization in BALB/c mice as compared to 15 days in C57 mice. Antigen rechallenge with one dose of antigen 65–85 days after primary sensitization revealed presence of variable immune recall in BALB/c mice (increased antibody levels in 3/7 mice) as compared to uniform recall in C57 mice (5/5 mice). We then initiated studies to investigate the immunoregulatory mechanisms underlying strain-dependent responses to mP+H antigen. Because isotype switching and expression of IgG subclasses is influenced by T helper (Th) cell subsets, we examined IgG subclasses in BALB/c and C57 mice as a surrogate marker of Th cytokine expression. C57 mice showed IgG2b>IgG1 anti-mP+H indicative of Th1 cytokine response, while BALB/c mice showed an IgG1>IgG2a response, a Th2 predominant response. Taken together, these findings of strain-dependent differences to mP+H indicate that variable expression of human HIT may be similarly governed by differences in peripheral immunoregulatory mechanisms.
Disclosure: No relevant conflicts of interest to declare.
Author notes
Corresponding author

This feature is available to Subscribers Only
Sign In or Create an Account Close Modal