We studied the relationship between granulocyte JAK2 (V617F) mutation status, circulating CD34+ cells, and granulocyte activation in myeloproliferative disorders. Quantitative allele-specific polymerase chain reaction (PCR) showed significant differences between various disorders with respect to either the proportion of positive patients (53%-100%) or that of mutant alleles, which overall ranged from 1% to 100%. In polycythemia vera, JAK2 (V617F) was detected in 23 of 25 subjects at diagnosis and in 16 of 16 patients whose disease had evolved into myelofibrosis; median percentages of mutant alleles in these subgroups were significantly different (32% versus 95%, P < .001). Circulating CD34+ cell counts were variably elevated and associated with disease category and JAK2 (V617F) mutation status. Most patients had granulocyte activation patterns similar to those induced by administration of granulocyte colony-stimulating factor. A JAK2 (V617F) gene dosage effect on both CD34+ cell counts and granulocyte activation was clearly demonstrated in polycythemia vera, where abnormal patterns were mainly found in patients carrying more than 50% mutant alleles. These observations suggest that JAK2 (V617F) may constitutively activate granulocytes and by this means mobilize CD34+ cells. This exemplifies a novel paradigm in which a somatic gain-of-function mutation is initially responsible for clonal expansion of hematopoietic cells and later for their abnormal trafficking via an activated cell progeny.
Introduction
Philadelphia-negative (Ph-) chronic myeloproliferative disorders include polycythemia vera (PV), essential thrombocythemia (ET), and chronic idiopathic myelofibrosis (CIMF).1 Diagnostic criteria for these conditions were been redefined a few years ago by the World Health Organization (WHO) classification,2 which considers bone marrow biopsy as an essential procedure for diagnosis of ET and CIMF and as a complementary procedure for diagnosis of PV. According to the WHO criteria, CIMF can be subdivided into a prefibrotic stage (p-CIMF) and a fibrotic stage (f-CIMF); from a clinical standpoint, the p-CIMF mimics ET.3
A gain-of-function mutation of the Janus kinase 2 (JAK2) gene has been recently reported in myeloproliferative disorders.4-8 The currently available data indicate that JAK2 (V617F) participates in the pathogenesis of these conditions.6 Although the mutation's precise place in the hierarchical order of events remains to be established, gain of function and loss of control appear to be the essential features of the excessive myeloproliferation associated with JAK2 (V617F).9
Abnormal trafficking of CD34+ cells with increased counts in the peripheral blood is found not only in CIMF but also in advanced stages of PV and ET.10-12 It has been recently demonstrated that bone marrow-repopulating cells and more differentiated progenitor cells are constitutively mobilized into the peripheral blood in CIMF and that their differentiation program is abnormal.13 Additional studies have suggested that the marrow milieu of patients with CIMF is characterized by a proteolytic environment that contributes to CD34+ cell mobilization.14
Activation of signaling by the JAK2 (V617F) mutation is associated with altered gene expression in granulocytes from patients with myeloproliferative disorders.15 Interestingly, the same concerted alterations in gene expression are found after administration of granulocyte colony-stimulating factor (G-CSF) to healthy stem cell donors.15 In these latter individuals, G-CSF induces hematopoietic cell mobilization by disrupting the interaction between the chemokine stromal cell-derived factor 1 (SDF-1) and its receptor CXCR4 in the bone marrow, mostly via the proteolytic degradation of SDF-1 by neutrophil elastase.16,17 Thus, the stem cell mobilization induced by G-CSF is mediated, at least in part, by granulocyte activation.
Granulocytes from patients with myeloproliferative disorders were previously shown to be functionally activated, as indicated by increased values for leukocyte alkaline phosphatase (LAP) expression, granulocyte elastase content, and plasma elastase level.18 Similar increases in elastase content and release were reported in healthy donors after G-CSF administration.19 Taken together, these observations suggest that granulocyte activation might lead to abnormal trafficking of CD34+ cells in myeloproliferative disorders.
In this work, we studied the relationship between granulocyte JAK2 (V617F) mutation status, granulocyte activation, and constitutive mobilization of CD34+ cells into peripheral blood in patients with myeloproliferative disorders.
Patients, materials, and methods
Patients
We evaluated patients with myeloproliferative disorders followed at the Department of Hematology, IRCCS Policlinico S. Matteo and University of Pavia, Pavia, Italy. We studied healthy persons and patients with reactive conditions (secondary erythrocytosis, leukocytosis, or thrombocytosis) as controls. These investigations were approved by the local ethics committee (Comitato di Bioetica, IRCCS Policlinico San Matteo, Pavia, Italy); the procedures followed were in accordance with the Helsinki Declaration of 1975, as revised in 2000, and samples were obtained after subjects provided written informed consent.
The patient population included 2 case series. In the first part of this study, a series of 90 patients with myeloproliferative disorders were studied at the time of diagnosis or at time of re-evaluation for assessment of disease progression. The WHO diagnostic criteria2 were applied, and marrow fibrosis was graded semiquantitatively.20 Twenty-five patients had PV, 19 had ET, 12 had p-CIMF, 18 had f-CIMF, and 16 had post-PV myelofibrosis (MF). Granulocyte DNA was stored and later used for evaluation of JAK2 (V617F) mutation status, and flow cytometry enumeration of circulating CD34+ cells was routinely performed.
Based on findings of these investigations, the second part of the study was designed to further define the effect of the JAK2 (V617F) mutation on circulating CD34+ cell counts in PV and to evaluate granulocyte activation in myeloproliferative disorders by flow cytometry immunophenotyping. Overall, 15 healthy subjects, 6 healthy stem cell donors given G-CSF, 54 patients with reactive conditions, and 90 patients with myeloproliferative disorders (second case series) were recruited. Twenty patients of the second case series also belonged to the first one.
JAK2 mutational analysis
Granulocyte gDNA was isolated with the use of the Puregene Blood DNA isolation kit (Gentra Systems, Minneapolis, MN). A quantitative real-time polymerase chain reaction (qRT-PCR)-based allelic discrimination assay was used for the detection of the V617F mutation. For the allelic discrimination of the G2343T transversion, a single common forward primer (JAK2 F 5′-GGGTTTCCTCAGAACGTTGA-3′) and 2 reverse primers (JAK2 RW 5′-TTTACTTACTCTCGTCTCCACATAC-3′ and JAK2 RM 5′-TTTACTTACTCTCGTCTCCACATAA-3′) were designed based on the nucleotide difference at the 3′ terminal base (G or T). To prevent the amplification of the nonmatching primer, an additional nucleotide mismatch (G>T) located 3 bases from the 3′ termini of the allele-specific primers was incorporated.
PCR was performed on an ABI PRISM 5700 Sequence Detection System (Applied Biosystems, Foster City, CA) in 2 separate tubes for normal and mutated alleles. Eighty nanograms of gDNA was amplified in a 35-cycle PCR at an annealing temperature of 55°C. All reactions were carried out in a final volume of 25 μL containing 1 × SYBR PCR Master Mix (Applied Biosystems, Warrington, United Kingdom) and 300 nM of both forward and reverse primers.
PCR results were analyzed applying the ΔCt method, and for each sample the percentage of JAK2 (V617F) alleles was calculated. A cutoff of 1% or more of mutant alleles was chosen to define an individual as positive, that is, as a carrier of the JAK2 (V617F) mutation in circulating granulocytes.
Flow cytometry enumeration of circulating CD34+ cells
Circulating CD34+ cells were enumerated by flow cytometry using a single-platform assay as previously described,11 following the cell-gating guidelines recommended by the International Society for Hematotherapy and Graft Engineering (ISHAGE)21 and the subsequent modifications of the European Working Group of Clinical Cell Analysis (EWGCCA).22
Multiparametric 4-color flow cytometry acquisition was performed with a Coulter Epics XL flow cytometer (Beckman Coulter, Milan, Italy) equipped with a 15-nW argon laser (excitation at 488 nm). Daily instrument quality control, including fluorescence standardization, linearity assessment, and spectral compensation were performed to ensure identical operation from day to day.23
Flow cytometry analysis of circulating granulocytes
To investigate granulocyte activation in myeloproliferative disorders, we measured LAP,24,25 CD16,25 and CD15726 expression levels on circulating granulocytes.
Heparinized peripheral blood specimens were obtained from 9 healthy volunteers, 54 patients with reactive conditions, 90 patients with myeloproliferative disorders, and 6 healthy stem cell donors given G-CSF for peripheral stem cell mobilization. In these latter individuals, circulating granulocytes were studied 24 hours after the first dose of G-CSF.
Flow cytometry studies on circulating granulocytes were performed using a whole-blood lysis technique (NH4Cl) according to standard procedures.23 The monoclonal antibody panel used following the manufacturer's instructions was as follows: fluorescein isothiocyanate (FITC)-conjugated anti-CD16 (Coulter-Instrumentation Laboratory, Milan, Italy) and anti-LAP (PharMingen-Becton Dickinson, Milan Italy), phycoerythrin (PE)-conjugated anti-CD157 (PharMingen-Becton Dickinson) and PE-cyanine 5 (PC5)-conjugated anti-CD45 (Coulter-Instrumentation Laboratory). Isotype-matched negative controls were used in all assays. The CD45 marker was tested to allow a primary gating of peripheral blood granulocytes based on CD45 antigen expression and side scatter (SSC) laser light diffraction.27
At least 50 000 events were acquired for each sample in linear mode for side scatter and in log mode for fluorescent signals. Data (collected in list mode) were analyzed using the EXPO32 ADC software (Beckman Coulter). Immunophenotypic data were routinely expressed as mean fluorescence intensity (MFI) ratio, defined as the ratio between the mean fluorescence of the specific marker tested to the mean fluorescence of the negative control included in the assay.
Statistical analysis
Statistical analyses were performed using both Statistica (Statsoft, Tulsa, OK) and StatView (SAS Institute, Cary, NC). Both parametric (ANOVA, multivariate analysis) and nonparametric analysis (Kruskal-Wallis test, Mann-Whitney U test, Spearman Rank correlation) were used, as detailed in “Results.” Logarithmic transformation was performed to normalize the distribution of variables when required. Numerical variables were routinely summarized by their median and ranges. Plots were prepared using KaleidaGraph (Synergy Software, Reading, PA).
Results
Quantitative assessment of granulocyte JAK2 (V617F) mutation status
These investigations were at first performed in a case series of 90 patients with myeloproliferative disorders whose clinical and hematologic data are summarized in Table 1. These patients were studied at the time of diagnosis, and nearly all patients with f-CIMF (17 of 18) had a low-risk Lille score.28 Most patients with post-PV MF had a relatively mild disease as well.
Demographic and hematologic characteristics of 90 patients with myeloproliferative disorders at the time of study
. | . | . | CIMF . | . | . | |
|---|---|---|---|---|---|---|
. | PV . | ET . | Prefibrotic . | Fibrotic . | Post-PV MF . | |
| No. patients | 25 | 19 | 12 | 18 | 16 | |
| Age, y, median (range) | 53 (27-79) | 56 (27-76) | 47 (18-71) | 49 (24-76) | 63 (45-77) | |
| No. men/no. women | 11/14 | 5/14 | 2/10 | 7/11 | 11/5 | |
| Hemoglobin level, g/L, median (range) | 173 (164-203) | 141 (120-165) | 140 (122-154) | 130 (98-152) | 126 (85-165) | |
| WBC count, × 109/L, median (range) | 9.2 (5.1-14.5) | 8.0 (5.1-12.5) | 10.8 (5.4-15.7) | 9.9 (5.3-13.9) | 15.1 (4.1-98.0) | |
| PLT count, × 109/L, median (range) | 642 (196-1170) | 789 (631-1197) | 773 (543-1053) | 842 (138-1810) | 309 (151-853) | |
| Splenomegaly, no. | 8 | 0 | 0 | 11 | 15 | |
. | . | . | CIMF . | . | . | |
|---|---|---|---|---|---|---|
. | PV . | ET . | Prefibrotic . | Fibrotic . | Post-PV MF . | |
| No. patients | 25 | 19 | 12 | 18 | 16 | |
| Age, y, median (range) | 53 (27-79) | 56 (27-76) | 47 (18-71) | 49 (24-76) | 63 (45-77) | |
| No. men/no. women | 11/14 | 5/14 | 2/10 | 7/11 | 11/5 | |
| Hemoglobin level, g/L, median (range) | 173 (164-203) | 141 (120-165) | 140 (122-154) | 130 (98-152) | 126 (85-165) | |
| WBC count, × 109/L, median (range) | 9.2 (5.1-14.5) | 8.0 (5.1-12.5) | 10.8 (5.4-15.7) | 9.9 (5.3-13.9) | 15.1 (4.1-98.0) | |
| PLT count, × 109/L, median (range) | 642 (196-1170) | 789 (631-1197) | 773 (543-1053) | 842 (138-1810) | 309 (151-853) | |
| Splenomegaly, no. | 8 | 0 | 0 | 11 | 15 | |
WBC indicates white blood cell; PLT, platelet.
Granulocyte JAK2 (V617F) mutation status was quantitatively assessed by allele-specific PCR. Substantial differences were observed between the different myeloproliferative disorders with respect to either the proportion of patients carrying the mutation or the percentage of mutant alleles in positive subjects. The JAK2 (V617F) mutation was detected in 23 (92%) of 25 patients with PV, in 10 (53%) of 19 with ET, in 7 (58%) of 12 with p-CIMF, in 10 (56%) of 18 with f-CIMF, and in 16 (100%) of 16 with post-PV MF.
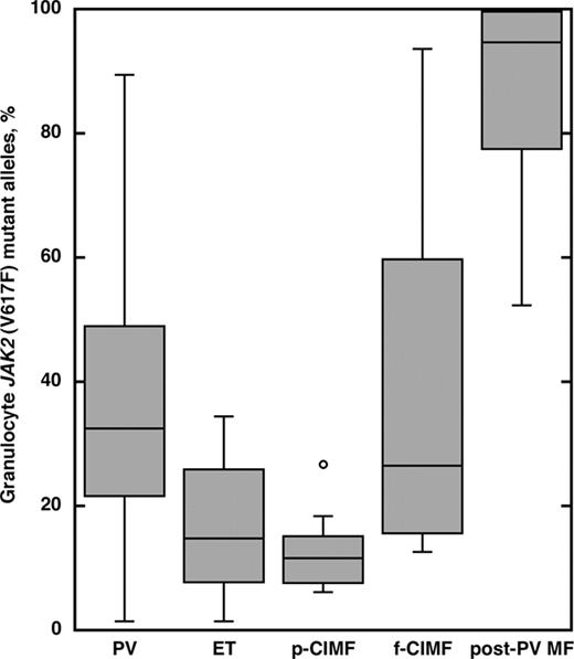
Within the 66 of 90 (73%) patients carrying JAK2 (V617F), the proportion of mutant alleles in circulating granulocytes ranged from 1% to 100% (Figure 1). The Kruskal-Wallis test showed significant differences in this proportion between the conditions studied (P < .001). Patients with PV had higher percentages of JAK2 mutant alleles than patients with ET (P = .01, Mann-Whitney U test) or patients with p-CIMF (P = .005). Patients with post-PV MF had the highest percentages of mutant alleles (median value, 94.6%; range, 52.3%-100%); their values were higher than those of either patients with PV (P < .001, Mann-Whitney U test) or f-CIMF (P = .001). On the other hand, patients with f-CIMF had higher values than those with p-CIMF (P = .001).
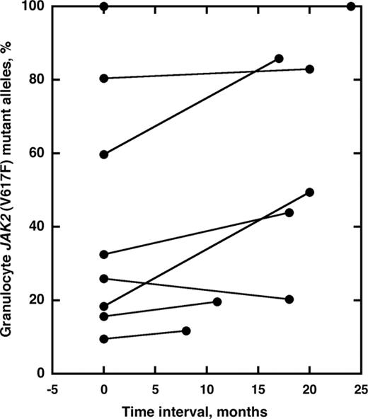
In 8 patients (1 PV, 1 ET, 1 p-CIMF, 3 f-CIMF, 2 post-PV MF), granulocyte JAK2 mutation status was studied sequentially at 2 time points during the clinical course. As shown in Figure 2, in 6 of 8 cases an increase in the number of cells harboring the JAK2 mutation was observed as the disease progressed. One patient with post-PV MF had 100% of mutant alleles on both time points, whereas the remaining patient with ET showed a decrease from 25.9% to 20.3%.
Percentage of JAK2 (V617F) mutant alleles in circulating granulocytes from patients with myeloproliferative disorders. The values obtained in different conditions are shown in a box plot where circles indicate outliers. The nonparametric Kruskal-Wallis test showed significant differences in the proportion of mutant alleles between the conditions studied (P < .001).
Percentage of JAK2 (V617F) mutant alleles in circulating granulocytes from patients with myeloproliferative disorders. The values obtained in different conditions are shown in a box plot where circles indicate outliers. The nonparametric Kruskal-Wallis test showed significant differences in the proportion of mutant alleles between the conditions studied (P < .001).
Circulating CD34+ cell counts and their relation to granulocyte JAK2 (V617F) mutation status
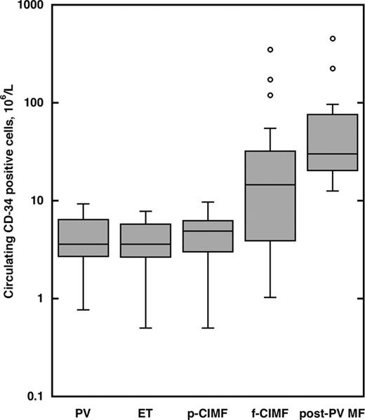
Peripheral blood CD34+ cell counts are reported in a box plot in Figure 3. All patients with PV, ET, and p-CIMF, and 6 of 18 with f-CIMF had circulating CD34+ cell counts lower than 10 × 106/L. Conversely, the remaining patients with f-CIMF (12 of 18) and all patients with post-PV MF (16 of 16) had counts greater than 10 × 106/L. The Kruskal-Wallis test showed significant differences in the absolute number of circulating CD34+ cells between the conditions studied (P < .001), but excluded any significant difference between PV, ET, and p-CIMF. In contrast, counts were significantly higher in patients with marrow fibrosis (p-CIMF, post-PV MF) than in those without fibrosis (PV, ET, and p-CIMF; P < .001, Mann-Whitney U test).
Focusing the analysis on patients carrying JAK2 (V617F), a significant relationship was found between the proportion of JAK2 mutant alleles and circulating CD34+ cell counts (Spearman rank correlation, r = .63, P < .001). This relationship was confirmed by multivariate analysis, which showed that disease category (P = .005) and percentage of mutant alleles (P < .02) were independently associated with circulating CD34+ cell counts. In particular, circulating CD34+ cells were higher in post-PV MF than in the remaining conditions, including f-CIMF (P = .005). When tested in multivariate analysis, marrow fibrosis (P = .001) and JAK2 (V617F) mutation status (P < .001) proved to have independent effects on CD34+ cell counts.
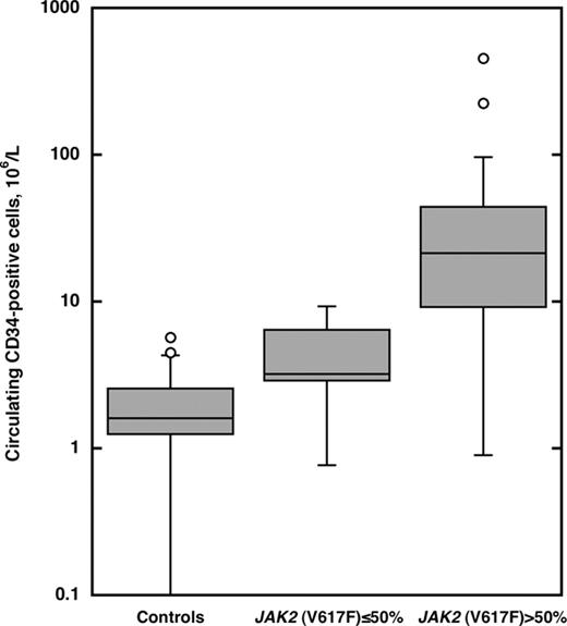
The relationship between granulocyte JAK2 (V617F) mutation status and circulating CD34+ cells was further analyzed in patients with PV at different stages of the disease. We compared CD34+ cell counts from 39 patients with PV or post-PV MF carrying JAK2 (V617F) alleles in their granulocytes with those of 15 healthy subjects and 20 individuals with secondary erythrocytosis who did not carry JAK2 (V617F). There were significant differences between these groups (P < .001, Kruskal-Wallis test). CD34+ cell counts were similar in healthy subjects (median value, 1.3 × 106/L) and individuals with secondary erythrocytosis (median value, 1.8 × 106/L; P = .08, Mann-Whitney U test). In contrast, patients carrying JAK2 (V617F) had higher circulating CD34+ cell counts than individuals without the mutation (median value, 7.2 versus 1.6 × 106/L, P < .001).
Sequential evaluation of JAK2 (V617F) mutant alleles in circulating granulocytes from 8 patients with myeloproliferative disorders. The first assessment was made at diagnosis and the second one later during the clinical course of the disease.
Sequential evaluation of JAK2 (V617F) mutant alleles in circulating granulocytes from 8 patients with myeloproliferative disorders. The first assessment was made at diagnosis and the second one later during the clinical course of the disease.
Circulating CD34+ cells in patients with myeloproliferative disorders. The cell counts obtained in different conditions are shown in a box plot where circles indicate outliers. The nonparametric Kruskal-Wallis test showed significant differences in circulating CD34+ cell counts among the conditions studied (P < .001).
Circulating CD34+ cells in patients with myeloproliferative disorders. The cell counts obtained in different conditions are shown in a box plot where circles indicate outliers. The nonparametric Kruskal-Wallis test showed significant differences in circulating CD34+ cell counts among the conditions studied (P < .001).
Based on previous analyses, we grouped healthy subjects and individuals with secondary erythrocytosis and subdivided the 39 PV patients carrying the mutation into 2 subgroups having less than or equal to 50% and more than 50% JAK2 (V617F) mutant alleles, respectively (Figure 4). The Kruskal-Wallis test demonstrated significant differences between these groups (P < .001). Patients carrying from 1% to 50% JAK2 mutant alleles had slightly but significantly higher CD34+ cell counts than control subjects without JAK2 (V617F; median value, 3.2 versus 1.6 × 106/L, P = .001). More importantly, patients with more than 50% JAK2 (V617F) alleles had markedly higher CD34+ cell counts than those with 50% or less mutant alleles (median value, 21.4 versus 3.2 × 106/L, P < .001).
Granulocyte activation as assessed by flow cytometry immunophenotyping and its relation to granulocyte JAK2 (V617F) mutation status
The main findings of this part of the study are summarized in Table 2.
Flow cytometry immunophenotyping of circulating granulocytes in patients and controls
Surface marker . | Healthy subjects . | Healthy stem cell donors given G-CSF . | Reactive conditions* . | Myeloproliferative disorders† . |
|---|---|---|---|---|
| No. | 9 | 6 | 54 | 90 |
| LAP, median (range) | 5.8 (4.6-7.0) | 24.5 (11.8-32.1) | 5.8 (2.9-11.2) | 11.3 (6.8-41.6) |
| CD157, median (range) | 2.3 (1.5-3.5) | 5.8 (4.2-7.6) | 3.2 (1.0-5.2) | 5.2 (3.2-9.4) |
| CD16, median (range) | 178.2 (153.2-242.1) | 76.1 (52.7-123.9) | 183.3 (137.8-285.8) | 135.6 (54.5-219.3) |
Surface marker . | Healthy subjects . | Healthy stem cell donors given G-CSF . | Reactive conditions* . | Myeloproliferative disorders† . |
|---|---|---|---|---|
| No. | 9 | 6 | 54 | 90 |
| LAP, median (range) | 5.8 (4.6-7.0) | 24.5 (11.8-32.1) | 5.8 (2.9-11.2) | 11.3 (6.8-41.6) |
| CD157, median (range) | 2.3 (1.5-3.5) | 5.8 (4.2-7.6) | 3.2 (1.0-5.2) | 5.2 (3.2-9.4) |
| CD16, median (range) | 178.2 (153.2-242.1) | 76.1 (52.7-123.9) | 183.3 (137.8-285.8) | 135.6 (54.5-219.3) |
Immunophenotypic data are expressed as MFI ratios.
Twenty patients had secondary erythrocytosis, 6 had secondary leukocytosis, and 28 had secondary thrombocytosis
Twenty-eight patients had PV, 31 had ET, and 31 had MF
The Kruskal-Wallis test demonstrated significant differences in LAP expression among the 4 groups reported in Table 2 (P < .001). Compared with healthy subjects, patients with myeloproliferative disorders had increased LAP expression (P < .001, Mann-Whitney U test). LAP expression was also significantly higher in myeloproliferative disorders than in reactive conditions (P < .001). Similarly, LAP expression was significantly higher in healthy donors given G-CSF than in healthy subjects (P = .001) or patients with reactive conditions (P < .001). Finally, LAP expression was higher in healthy donors given G-CSF than in patients with myeloproliferative disorders (P = .018). An example of LAP expression in 3 representative subjects is reported in Figure 5.
Overall, 73 of the 90 patients with myeloproliferative disorders studied by flow cytometry were simultaneously evaluated also for granulocyte JAK2 mutation status, and 48 of 73 had 1% or more JAK2 (V617F) mutant alleles. A significant relationship was noted between percentage of mutant alleles and LAP expression (Spearman Rank correlation, r = .59, P < .001).
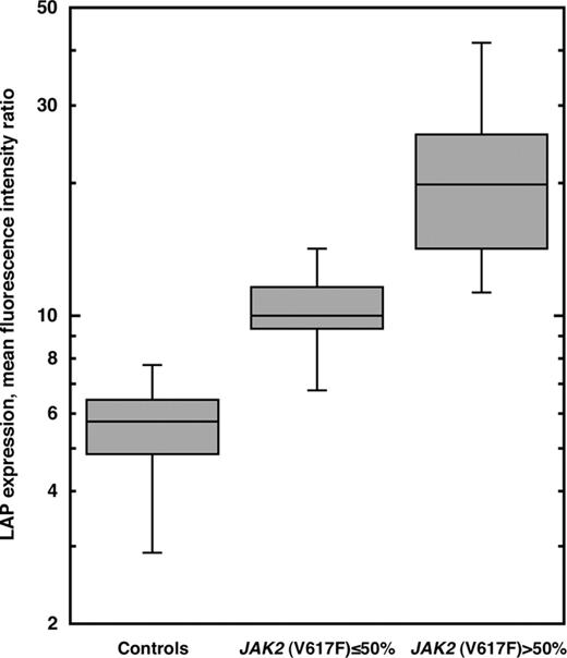
The relationship between granulocyte JAK2 (V617F) mutation status and LAP expression was then specifically analyzed in patients with PV at different stages of the disease. We subdivided the 21 patients with PV or post-PV MF into 2 subgroups having less than or equal to 50% and more than 50% JAK2 (V617F) mutant alleles, respectively, and compared these subgroups with controls (healthy subjects and individuals with secondary erythrocytosis) without the mutation. Significant differences were found between these groups (P < .001, Kruskal-Wallis test) and a mutant gene dosage effect was observed, as illustrated in Figure 6.
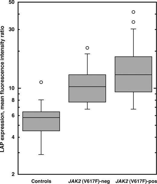
We next compared LAP expression values in controls, patients with myeloproliferative disorder who did not carry JAK2 (V617F), and those who carried the mutation (Figure 7). The Kruskal-Wallis test showed significant differences between these conditions (P < .001). Irrespective of JAK2 (V617F) mutation status, patients with myeloproliferative disorders had higher values for LAP expression than controls (P < .001, Mann-Whitney U test). In addition, patients carrying JAK2 (V617F) had higher LAP expression values than patients with myeloproliferative disorder showing fully wild-type JAK2 alleles (P < .05, Mann-Whitney U test).
Both patients with myeloproliferative disorders and healthy donors given G-CSF had lower granulocyte CD16 expression compared with either healthy subjects or individuals with reactive conditions (Table 2, Mann-Whitney U test, P < .01 in all instances). In contrast, CD157 expression was higher in myeloproliferative disorders than in controls (P < .001), and the same was true for healthy donors given G-CSF compared with healthy subjects (P = .006).
Circulating CD34+ cell counts in control subjects without JAK2 (V617F) mutant alleles and in patients with PV or post-PV MF carrying the mutation. Control subjects include 15 healthy individuals and 20 patients with secondary erythrocytosis who did not carry the JAK2 (V617F) mutation. The 39 patients with PV or post-PV MF are subdivided into 2 groups according to the percentage of JAK2 (V617F) mutant alleles in their granulocytes (≤ 50% versus > 50%). Cell counts are shown in a box plot where circles indicate outliers. The Kruskal-Wallis test showed significant differences between these groups (P < .001).
Circulating CD34+ cell counts in control subjects without JAK2 (V617F) mutant alleles and in patients with PV or post-PV MF carrying the mutation. Control subjects include 15 healthy individuals and 20 patients with secondary erythrocytosis who did not carry the JAK2 (V617F) mutation. The 39 patients with PV or post-PV MF are subdivided into 2 groups according to the percentage of JAK2 (V617F) mutant alleles in their granulocytes (≤ 50% versus > 50%). Cell counts are shown in a box plot where circles indicate outliers. The Kruskal-Wallis test showed significant differences between these groups (P < .001).
Discussion
In our report on the unique gain-of-function mutation of JAK2 in myeloproliferative disorders,6 we proposed a 2-step model of the molecular pathogenesis of these conditions. The occurrence of the mutation in a hematopoietic cell (first step) would result in its clonal expansion and consequently in a progeny of cells that are heterozygous for JAK2 (V617F). Whether the mutation occurs in a true stem cell29 or alternatively in a more differentiated hematopoietic progenitor with acquisition of self-renewal30,31 is currently unclear. The second step would consist of a mitotic recombination in a heterozygous hematopoietic cell that generates uniparental disomy and homozygosity for JAK2 (V617F) in one of the 2 daughter cells.6 The clonal expansion of this daughter cell gives rise to a mixed population, in which the proportion of homozygous cells gradually increases over time while that of heterozygous cells gradually decreases. At the end, homozygous cells fully dominate hematopoiesis (clonal dominance).32
In terms of JAK2 (V617F) mutant alleles, the first step is characterized by a progressive increase from 0% to 50%, whereas the second step involves a transition from 50% to 100%. Based on simple mathematical calculations, when mutant alleles are more than 75%, the majority of hematopoietic cells (> 50%) are by definition homozygous for JAK2 (V617F). Presumably, functional and clinical consequences of the mutation are directly related to the number of mutant alleles or the proportion of homozygous cells (or both). Thus, to study the pathophysiologic consequences of JAK2 (V617F) and to detect any mutant gene dosage effect, we used a quantitative PCR approach that provides information about what proportion of chromosomes in a given cell population (eg, granulocytes) carry the JAK2 mutation.
Quantitative assessment of JAK2 (V617F) mutation status has shown substantial heterogeneity in the proportion of chromosomes carrying the JAK2 mutation in circulating granulocytes (Figure 1). Overall, patients with fibrotic marrow had higher percentages of mutant alleles than individuals without fibrosis. Patients with PV whose disease had evolved into MF had a median percentage of JAK2 (V617F) alleles equal to 95%, indicating the vast majority of granulocytes are homozygous for the mutation in these individuals. By contrast, patients with PV at diagnosis had a median percentage of mutant alleles equal to 32%, suggesting a mixed population of heterozygous and normal cells. The sequential studies reported in Figure 2 indicate that the number of granulocytes harboring JAK2 (V617F) increases in most instances as the disease progresses.
Leukocyte alkaline phosphatase expression on circulating granulocytes from representative subjects. (A) Healthy subject. (B) Patient with PV carrying 98% of JAK2 (V617F) mutant alleles in circulating granulocytes. (C) Healthy stem cell donor given G-CSF 24 hours before.
Leukocyte alkaline phosphatase expression on circulating granulocytes from representative subjects. (A) Healthy subject. (B) Patient with PV carrying 98% of JAK2 (V617F) mutant alleles in circulating granulocytes. (C) Healthy stem cell donor given G-CSF 24 hours before.
The heterogeneity of JAK2 mutation status illustrated in Figure 1 may suggest that JAK2 (V617F) plays different pathophysiologic roles in the different myeloproliferative disorders. Our 2-step model6 might best apply to PV, where it can explain most of the clinical history of this condition, including evolution into myelofibrosis. Indeed, a high JAK2 (V617F) mutation detection rate has been recently reported in patients with MF and an antecedent history of PV.33 Other mutant genes, in contrast, likely operate in ET and CIMF, where JAK2 (V617F) might represent a mechanism of disease progression in a portion of patients. However, the possibility exists that JAK2 (V617F) may represent a late genetic event also in the pathogenesis of PV. In fact, 2 of the 25 PV patients studied by us had less than 10% mutant alleles, indicating that they carried the JAK2 mutation in less than 20% of their granulocytes.
Circulating CD34+ cells were previously found to be variably increased in patients with myeloproliferative disorder and fibrotic bone marrow,10-12 a finding that has been confirmed in this study (Figure 3). Of interest is the direct relationship observed between granulocyte JAK2 (V617F) mutation status and circulating CD34+ cells. This relationship was confirmed in multivariate analysis, where disease category and fibrosis were also found to be associated with CD34+ cell counts. Patients with PV carrying from 1% to 50% mutant alleles had CD34+ cell counts mostly in the normal range, but on average significantly higher than those of control subjects. As the mutant alleles exceed 50%, CD34+ cells tend to increase exponentially. A mutant gene dosage effect on CD34+ cell counts is obvious in Figure 4, and significant constitutive mobilization appears to be mainly triggered by the transition from heterozygosity to homozygosity for JAK2 (V617F).6
LAP expression on circulating granulocytes from control subjects without JAK2 (V617F) mutant alleles and from patients with PV or post-PV MF carrying the mutation. Control subjects include healthy individuals and patients with secondary erythrocytosis who did not carry the JAK2 (V617F) mutation. Twenty-one patients with PV or post-PV MF are subdivided into 2 groups according to the percentage of JAK2 (V617F) mutant alleles in their granulocytes (≤ 50% versus > 50%). LAP expression levels are shown in a box plot. The Kruskal-Wallis test showed significant differences between these groups (P < .001).
LAP expression on circulating granulocytes from control subjects without JAK2 (V617F) mutant alleles and from patients with PV or post-PV MF carrying the mutation. Control subjects include healthy individuals and patients with secondary erythrocytosis who did not carry the JAK2 (V617F) mutation. Twenty-one patients with PV or post-PV MF are subdivided into 2 groups according to the percentage of JAK2 (V617F) mutant alleles in their granulocytes (≤ 50% versus > 50%). LAP expression levels are shown in a box plot. The Kruskal-Wallis test showed significant differences between these groups (P < .001).
LAP expression on circulating granulocytes from control subjects, from patients with myeloproliferative disorders without JAK2 (V617F) mutant alleles, and from patients with myeloproliferative disorders carrying the mutation. Control subjects include healthy individuals and patients with reactive conditions. LAP expression levels are shown in a box plot where circles indicate outliers. The Kruskal-Wallis test showed significant differences between these groups (P < .001).
LAP expression on circulating granulocytes from control subjects, from patients with myeloproliferative disorders without JAK2 (V617F) mutant alleles, and from patients with myeloproliferative disorders carrying the mutation. Control subjects include healthy individuals and patients with reactive conditions. LAP expression levels are shown in a box plot where circles indicate outliers. The Kruskal-Wallis test showed significant differences between these groups (P < .001).
To evaluate granulocyte activation, we studied 3 surface markers by flow cytometry immunophenotyping. CD157 is a GPI-anchored molecule that coordinates neutrophil adhesion and migration; cell activation induces its overexpression and membrane compartmentalization.26 LAP is stored in intracellular secretory vesicles of circulating neutrophils.34 Following granulocyte activation these vesicles fuse into a tubular system communicating with the plasma membrane, thus exporting LAP to the cell surface. Low levels of granulocyte CD16 antigen expression are found in normal donors after exposure to G-CSF, a pattern that may reflect the release of immature neutrophils into the circulation.25
Findings reported in Table 2 and Figure 5 clearly indicate that patients with myeloproliferative disorders have patterns of granulocyte activation very similar to those of healthy stem cell donors given G-CSF. Most importantly, as shown in Figure 6, a mutant gene dosage effect was observed on granulocyte LAP expression, the highest expression levels being found in patients showing more than 50% JAK2 (V617F) mutant alleles. This suggests that, at least in PV and post-PV MF, granulocyte activation is mainly triggered by the transition from heterozygosity to homozygosity for JAK2 (V617F).6
Overall, findings of this study indicate that JAK2 (V617F) may constitutively activate granulocytes and by this means mobilize CD34+ cells. This exemplifies a novel paradigm in which a somatic gain-of-function mutation is initially responsible for clonal expansion of hematopoietic cells, and later for their abnormal trafficking via an activated cell progeny. This paradigm might best apply to PV, where the vast majority of patients carry the mutation and clonal dominance of cells that are homozygous for JAK2 (V617F) appears to be closely associated with constitutive mobilization of CD34+ cells. Although the effect of JAK2 (V617F) on marrow fibrosis is currently unknown, our findings indicate that transition form heterozygosity to homozygosity for JAK2 (V617F) likely represents an important step in the progression of PV to post-PV MF. Thus, sequential evaluation of the percentage of JAK2 mutant alleles and enumeration of circulating CD34+ cells appear potentially very useful for disease monitoring in PV.
In the present study, constitutive mobilization of hematopoietic cells and granulocyte activation were found in a significant portion of patients who did not carry the JAK2 (V617F) mutation. By comparing Figures 6 and 7, it is apparent that, on average, patients with myeloproliferative disorders with fully wild-type JAK2 alleles had LAP expression patterns similar to those of patients carrying 1% to 50% JAK2 (V617F) mutant alleles. This underscores that molecular mechanisms other than JAK2 (V617F) are responsible for the pathogenesis of myeloproliferative disorders such as ET and CIMF.6 However, the very fact that these mechanisms operate, at least in part, through the same pathways activated by JAK2 (V617F) may lead to the identification of the currently unknown genes whose mutations result in granulocyte activation and abnormal stem cell trafficking.
Prepublished online as Blood First Edition Paper, December 22, 2005; DOI 10.1182/blood-2005-09-3826.
Supported by grants from Associazione Italiana per la Ricerca sul Cancro (AIRC), Milan, Italy; Fondazione Cariplo, Milan, Italy; Fondazione Ferrata Storti, Pavia, Italy; and IRCCS Policlinico San Matteo, Pavia, Italy.
M.C. and F.P. conceived the study, acquired and analyzed the data, and wrote the paper; E.R., L.A., S.B., and M.L. acquired clinical data; D.P. performed JAK2 mutation analysis; M.D.P. and L.V. did flow cytometry studies; E.B. performed histologic investigations; and C.P. and L.M. did statistical analyses.
An Inside Blood analysis of this article appears at the front of this issue.
The publication costs of this article were defrayed in part by page charge payment. Therefore, and solely to indicate this fact, this article is hereby marked “advertisement” in accordance with 18 U.S.C. section 1734.
We are indebted to the patients for contributing to the study and to Radek Skoda and Robert Kralovics for helpful discussions on the topic of this work.







This feature is available to Subscribers Only
Sign In or Create an Account Close Modal