Abstract
Precise analysis of human CD34-negative (CD34−) hematopoietic stem cells (HSCs) has been hindered by the lack of a simple and reliable assay system of these rare cells. Here, we successfully identify human cord blood–derived CD34− severe combined immunodeficiency (SCID)– repopulating cells (SRCs) with extensive lymphoid and myeloid repopulating ability using the intra–bone marrow injection (IBMI) technique. Lineage-negative (Lin−) CD34− cells did not show SRC activity by conventional tail-vein injection, possibly due to their low levels of homing receptor expression and poor SDF-1/CXCR4– mediated homing abilities, while they clearly showed a high SRC activity by IBMI. They generated CD34+ progenies not only in the injected left tibia but also in other bones following migration. Moreover, they showed slower differentiating and reconstituting kinetics than CD34+cells in vivo. These in vivo–generated CD34+ cells showed a distinct SRC activity after secondary transplantation, clearly indicating the long-term human cell repopulating capacity of our identified CD34− SRCs in nonobese diabetic (NOD)/SCID mice. The unveiling of this novel class of primitive human CD34− SRCs by IBMI will provide a new concept of the hierarchy in the human HSC compartment and has important implications for clinical HSC transplantation as well as for basic research of HSC.
Introduction
The most primitive hematopoietic stem cells (HSCs) in mammals, including mice, rhesus monkeys, and humans, have long been believed to be CD34 antigen (Ag)–positive (CD34+).1 In fact, bone marrow (BM) and peripheral blood stem cell (PBSC) transplantation studies indicate that a CD34+ subpopulation in the BM or PB can provide durable long-term donor-derived lymphohematopoietic reconstitution,2,3 although longer-term observations are necessary. Therefore, we used CD34 Ag to identify/purify immature hematopoietic stem/progenitor cells. However, Osawa et al challenged this long-standing dogma, and their studies have revealed that murine long-term lymphohematopoietic reconstituting HSCs are lineage marker negative (Lin−) c-kit+Sca-1+CD34-low/negative (CD34lo/−).4 From another point of view, Goodell et al have reported that a unique class of HSCs (side population [SP] cells) expressing low or undetectable levels of CD34 Ag exists in multiple species, including mice, rhesus monkeys, and humans, using the fluorescent DNA-binding dye, Hoechst 33342.5 They speculated that human SP cells have long-term repopulating ability, as do murine SP cells. Collectively, these studies imply the existence of a hitherto unidentified population of primitive human HSCs that lack the CD34 Ag expression.
One of the assay systems that can measure the repopulation and differentiation capacities of human HSCs is the SCID-repopulating cell (SRC) assay developed by Dick and his colleagues.6-8 Using this system, Bhatia et al first reported that SRCs were present in human BM- and cord blood (CB)–derived Lin−CD34− cells.9 Their multilineage reconstituting analyses of CD34-negative (CD34−) SRCs clearly demonstrated that the vast majority of CD45+ human cells in murine BMs were CD19+ B cells. Also, limiting dilution analysis indicated that there was one SRC in 125 000 Lin−CD34− cells. On the other hand, the frequency of CD34− SRCs increased to 1 in 38 000 cells after 4 days of short-term culture of these Lin−CD34− cells in the presence of a cocktail of cytokines or human umbilical vein endothelial cell–conditioned medium. They suggested that unidentified cells, termed “pre-SRCs,” present in the CD34− cell population, might acquire some homing molecules necessary for redistribution to nonobese diabetic/severe combined immunodeficiency (NOD/SCID) mouse BM after tail-vein injection (TVI).
The existence of long-term repopulating CD34− HSCs in human BM-derived Lin− cells also is supported by the reported data, in which the CD34− fraction of normal human BM contains cells capable of engraftment and differentiation into CD34+ progenitors as well as multiple lymphohematopoietic lineages using the human/sheep competitive engraft model.10 However, studies on human CD34− HSCs have been hindered by the lack of a positive marker, comparable to the Sca-1 in mice. In this study, we try to further characterize the CD34− SRCs present in the human CB and further unveil the unidentified pre-SRCs using the intra- BM injection (IBMI) technique.11 Our analysis of the proliferation and differentiation capacities of purified CB-derived Lin−CD34− cells, both in vivo and in vitro, demonstrate the existence of a distinct class of HSCs with extensive lymphoid and myeloid differentiation capacity as well as secondary repopulating ability in NOD/SCID mice. This novel class of CD34− SRCs detected by IBMI may correspond to the temporarily termed pre-SRCs.9
Materials and methods
Collection of CB samples and processing
CB samples were obtained from normal full-term deliveries with signed informed consent and approved by the Institutional Review Board of Kyoto Prefectural University of Medicine. The cells were processed within 24 hours of collection. Mononuclear cells (MNCs) were isolated using Ficoll-Paque (Amersham Biosciences AB, Uppsala, Sweden) density gradient centrifugation. MNCs were further enriched by negative depletion of 8 lineage-positive cells, including CD3, CD14, CD16, CD19, CD24, CD56, CD66b, and glycophorin A (GPA) using a StemSep device (StemCell Technologies, Vancouver, BC, Canada), as reported.12
Purification of Lin−CD34− cells
The above-mentioned semipurified cells (Figure 1A) were stained with 13 fluorescein isothiocyanate (FITC)–conjugated lineage-specific mAbs against CD2, CD16, CD24, GPA (all from DAKO, Kyoto, Japan), CD3, CD19 (both from eBioscience, San Diego, CA), CD4, CD10, CD20, CD41 (all from Beckman Coulter, Fullerton, CA), CD7, CD56 (both from Nichirei, Tokyo, Japan), CD14 (Becton Dickinson, San Jose, CA), phycoerythrin (PE)–conjugated anti–CD34 mAb (Becton Dickinson), and PC5-conjugated anti–CD45 mAb (Beckman Coulter). Availability of these lineage-specific mAbs used for cell sorting was confirmed beforehand. Then 13 lineage-positive cells remaining in the immunomagnetically separated cells were further gated out (Figure 1B). These Lin− cells were sorted into CD34high, CD34low, and CD34− cells (Figure 1D) using a FACSVantage (Becton Dickinson) as reported.12 13Approximately 20% to 40% of the CD34− cell fraction in the immunomagnetically separated cells was recovered in the sorted Lin−CD34− cell fraction (R5 gate in Figure 1D).
Characterization of purified CB-derived Lin−CD34− cells.
(A) The forward scatter/side scatter (FSC/SSC) profile of immunomagnetically separated cells. The R1 gate was set on the lymphocyte window. (B) Cell-surface expression of 13 lineage markers, including CD2, CD3, CD4, CD7, CD10, CD14, CD16, CD19, CD20, CD24, CD41, CD56, and GPA on cells residing in the R1 gate. Cells residing in the R2 gate were further subdivided into 3 fractions according to their expression levels of CD34 antigen. (C) Isotype control. (D) Cells residing in the R3, R4, and R5 gates were classified as Lin−CD34high, Lin−CD34low, and Lin−CD34− cells, respectively. The definitions of CD34high, CD34low, and CD34− fractions are as follows: the CD34highfraction contains cells expressing maximum phycoerythrin (PE) fluorescent intensity (FI) to 15% level of FI; the CD34lowfraction contains cells expressing 5% to 1% level of FI; and the CD34− fraction contains cells expressing less than 0.5% level of FI, respectively. (E-G) The expression patterns of CD34 antigen on CD45+ cells derived from the 7-day cocultures of CD34high (E), CD34low (F), and CD34− (G) cells with the murine stromal cell HESS-5 in the presence of a cocktail of cytokines.
Characterization of purified CB-derived Lin−CD34− cells.
(A) The forward scatter/side scatter (FSC/SSC) profile of immunomagnetically separated cells. The R1 gate was set on the lymphocyte window. (B) Cell-surface expression of 13 lineage markers, including CD2, CD3, CD4, CD7, CD10, CD14, CD16, CD19, CD20, CD24, CD41, CD56, and GPA on cells residing in the R1 gate. Cells residing in the R2 gate were further subdivided into 3 fractions according to their expression levels of CD34 antigen. (C) Isotype control. (D) Cells residing in the R3, R4, and R5 gates were classified as Lin−CD34high, Lin−CD34low, and Lin−CD34− cells, respectively. The definitions of CD34high, CD34low, and CD34− fractions are as follows: the CD34highfraction contains cells expressing maximum phycoerythrin (PE) fluorescent intensity (FI) to 15% level of FI; the CD34lowfraction contains cells expressing 5% to 1% level of FI; and the CD34− fraction contains cells expressing less than 0.5% level of FI, respectively. (E-G) The expression patterns of CD34 antigen on CD45+ cells derived from the 7-day cocultures of CD34high (E), CD34low (F), and CD34− (G) cells with the murine stromal cell HESS-5 in the presence of a cocktail of cytokines.
RT-PCR analysis for CD34 mRNA
Total RNA was isolated from sorted cells and cell lines (KG1 and Daudi for positive and negative controls, respectively) using RNeasy Mini Kit (QIAGEN GmbH, Hilden, Germany) and transcribed to complementary DNA with avian myeloblastosis virus (AMV) reverse transcriptase (Life Science, St Petersburg, FL). Oligonucleotide primers for human CD34 were synthesized: 5′-CTAGCCTTGCAACATCTCCC-3′ (sense), 5′-GAATAGCTCTGGTGGCTTGC-3′ (antisense), resulting in a PCR product of 409 bp. PCR amplification (35 cycles of 30 seconds at 94°C, 45 seconds at 57°C, and 60 seconds at 72°C) was conducted on a block thermal cycler (Perkin-Elmer, Norwalk, CT). Reverse transcription–polymerase chain reaction (RT-PCR) products from all samples were electrophoresed on a 2.0% agarose gel.
Analysis of expression pattern of CXCR4 and other adhesion molecules on Lin−CD34high, CD34low, and CD34− cells by flow cytometry
The immunomagnetically separated cells were stained with the above-mentioned FITC-conjugated 13 lineage-specific mAbs, allophycocyanin (APC)–conjugated anti–CD34 mAb (DAKO), PerCP-conjugated anti–CD45 mAb (Becton Dickinson), PE-conjugated anti–CD62L mAb (Beckman Coulter), and biotinylated mAbs for CXCR4 (Genzyme Techne, Minneapolis, MN), CD31 and CD49d (both from Ancell, Bayport, MN), and CD54 and CD106 (both from eBioscience). After washing, the cells were incubated with streptavidin-PE (Becton Dickinson). All flow cytometric analyses were done on a FACSCalibur (Becton Dickinson), as reported.12 13
Clonal cell culture and coculture with HESS-5 cells
Human colony-forming cells (CFCs) were assayed using our standard methylcellulose cultures as reported.12-14 Sorted Lin−CD34high, CD34low, CD34− cells were plated at 1 × 104 cells per 6-well plate onto pre-established irradiated HESS-515layers in StemPro-34 medium (Gibco Laboratories, Grand Island, NY) and a cocktail of recombinant human cytokines, including 300 ng/mL stem cell factor (SCF), 300 ng/mL flt3 ligand (FL), 300 ng/mL thrombopoietin (TPO), 10 ng/mL interleukin-3 (IL-3), 10 U/mL IL-6, and 10 ng/mL granulocyte (G)–colony stimulating factor (CSF), and 5% fetal calf serum (FCS, Hyclone Laboratories, Logan, UT).
IBMI of purified cells
Intra-BM injection (IBMI) was carried out as reported previously with modifications.11 Briefly, after sterilization of the skin around the left knee joint, the knee was flexed to 90 degrees, and the proximal side of the tibia was drawn to the anterior. A 27-gauge needle was inserted into the joint surface of the tibia through the patellar tendon and then inserted into the BM cavity. Using a Hamilton microsyringe, the specified number of donor cells per 10 μL of α-medium were carefully injected from the bone hole into the BM cavity.
SCID-repopulating cell (SRC) assay
An SRC assay was performed using the methods reported previously,7,8 with modifications. Five-week-old NOD/Shi-scid/scid (NOD/SCID) mice were obtained from the Central Institute for Experimental Animals (Kawasaki, Japan). The animal experiments were approved by the Animal Care Committee of Kyoto Prefectural University of Medicine. All mice were handled in sterile conditions and maintained in germ-free isolators located in the Central Laboratory Animal Facility. In this study, purified 5 × 104 CB-derived Lin−CD34high, Lin−CD34low, or Lin−CD34− cells were transplanted by TVI or IBMI into sublethally irradiated (250 cGy using a 137Cs-γ irradiator) 8- to 12-week-old mice. NOD/SCID mice receiving transplants of 5 × 104 Lin−CD34high cells showed equivalently high repopulation efficiencies compared with those for mice receiving transplants of more than 1 × 105Lin−CD34high cells by TVI or IBMI (data not shown). In some experiments, 5 × 103Lin−CD34high cells were transplanted by IBMI. The mice were killed 5 to 16 weeks after transplantation, and the BMs from the pairs of femurs, tibiae, and humeri of each mouse were flushed into α-medium containing 10% FCS. To assess the frequency of SRCs in the CB-derived Lin−CD34high and Lin−CD34− cells, NOD/SCID mice received transplants of various doses of Lin−CD34highcells (range, 300 to 1250 cells, n = 26) and Lin−CD34− cells (range, 5000 to 40 000 cells, n = 21) by IBMI. After 12 weeks, the rates of human CD45+ cells in the murine BMs were analyzed by flow cytometry. Mice were scored as positive if more than 0.1% of total murine BM cells were human CD45+. The frequencies of SRCs were calculated using Poisson statistics as reported.16
Analysis of human cell engraftment in NOD/SCID mice by flow cytometry
The repopulation of human hematopoietic cells in murine BMs was determined by detecting the number of cells positively stained with PC5-conjugated anti–human CD45 mAb (Beckman Coulter). The cells also were stained with PE-conjugated anti–human CD34 mAb (Becton Dickinson) and FITC-conjugated mAbs for human lineage–specific Ags, including CD14 (Becton Dickinson), CD19 (eBioscience), CD33 and CD41 (both from Beckman Coulter), and GPA (DAKO) for the detection of specific subsets of human hematopoietic cells. Briefly, BM cells were suspended in Ca2+- and Mg2+-free phosphate-buffered saline (PBS−) containing 2% FCS after lysis of red blood cells. The cells then were incubated with human immunoglobulin G (IgG), followed by staining with the above-mentioned mAbs. First, the R1 gate was set on the total BM cells (Figure 4). Human hematopoietic subsets, except for GPA, were quantified by gating on human CD45+ cells (Figure 4, R2 gate) and then assessing those stained with anti–human CD34 and various mAbs for lineage-specific Ags. GPA+ cells were quantified in whole BM cells (no gate) without lysis of red blood cells.
Transwell migration assay
To assess CXCR4-mediated transmigration of CD34+SRCs and IBMI-CD34− SRCs in vitro, a total of 1 × 105 immunomagnetically separated cells12 were allowed to migrate toward a gradient of SDF-1 as previously reported.17 18 Briefly, 125 ng/mL of rh SDF-1β (Genzyme/Techne, Cambridge, MA) was added to the lower chamber of a Costar 24-well transwell (Corning, NY) containing X-VIVO 20 (Biowhittaker, Walkersville, MD) supplemented with 0.5% BSA. The transwell inserts (5.0-μm pore size, Corning) were placed, and the above-mentioned cells were then inoculated into the upper chamber. After 4 hours of incubation at 37°C with 5% CO2, both migrating cells in the lower chamber and nonmigrating cells in the upper chamber were recovered. The Lin−CD34highand Lin−CD34− cells were then sorted from the migrating and nonmigrating fractions using a FACSVantage as described. The respective 5 × 103 migrating and nonmigrating Lin−CD34high cells and 5 × 104migrating and nonmigrating Lin−CD34− cells were transplanted by IBMI or TVI into irradiated recipient mice as described. After 12 weeks, the repopulation of human CD45+cells in murine BMs was determined by flow cytometry.
Secondary transplantation
For secondary transplantations, murine BM cells were obtained from the pairs of femurs, tibiae, and humeri of highly engrafted primary recipient mice 8 to 16 weeks after transplantation with 5 × 104 Lin−CD34high or 12 to 16 weeks after transplantation with 5 × 104Lin−CD34− cells by IBMI. The human cell repopulation rates in the primary recipients' BMs for CD34+ SRCs and IBMI-CD34− SRCs were 31% to 80% and 15% to 40%, respectively. Whole BM cells were stained with PE-conjugated anti–CD34 mAb (Becton Dickinson) and PC5-conjugated anti–CD45 mAb (Beckman Coulter). The human CD45+CD34+ and CD45+CD34− cells then were sorted using a FACSVantage (Becton Dickinson). These sorted CD34+ or CD34− cells were transplanted by IBMI into irradiated secondary recipient mice. Twelve weeks after transplantation, the presence of human CD45+ cells in the secondary recipients' BMs was analyzed by flow cytometry, as described for primary transplantation.
Statistical analysis
The significance of differences was determined using the Mann-Whitney U test.
Results
Characterization of purified CB-derived Lin−CD34− cells
We first depleted the lineage-positive cells from CB-derived mononuclear cells using an immunomagnetic system.12 These cells were further labeled with a mixture of 13 monoclonal antibodies (mAbs) (Figure 1B, R2 gate) and then were subdivided into 3 distinct populations based on their surface CD34 Ag expression (Figure 1D). We sorted these 3 fractions. The phenotypic purity of the sorted cells consistently exceeded 99% when checked using postsorting flow cytometric analysis.
Contamination of the Lin−CD34− cell fraction with CD34+ cells was ruled out by a semiquantitative RT-PCR (data not shown).
The colony-forming capacities of these 3 fractions were quite different. The Lin−CD34high fraction contained approximately 50% to 60% myeloid, 40% to 50% erythroid, and 2% to 10% mixed CFCs. However, the vast majority (more than 95%) of CFCs in the Lin−CD34low fraction were erythroid progenitors. The Lin−CD34− fraction showed almost no colony formation. To characterize these 3 fractions in more detail, we analyzed the expression patterns of CD38 and CD95 (Fas) by flow cytometry. Interestingly, the proportion of CD38−cells in the Lin−CD34low population was only 4.1%, which is significantly lower than that in the other 2 populations (16.9% for Lin−CD34high and 50.0% for Lin−CD34− cells). These results are consistent with the reported data8 16 that CD34+ SRCs were highly enriched in a Lin−CD34+CD38− cell population. Moreover, the expression rate of CD95 antigen on Lin−CD34low cells (19.5%) was much higher than that in the other 2 populations (2.6% for Lin−CD34high and 1.8% for Lin−CD34− cells). These results strongly indicate that the Lin−CD34low cell population contains more committed progenitors (mostly erythroid burst-forming cells).
Next, we tested the SRC activity of our 3 purified fractions of cells by conventional TVI. All 13 mice that received transplants of Lin−CD34high cells were engrafted with human cells. The level of human CD45+ cells in murine BMs was 3.0% to 70.8% (median, 26.2%). In contrast, neither the 9 mice that received transplants of Lin−CD34low cells nor the 10 mice that received transplants of Lin−CD34− cells were engrafted with human cells (Figure 2A-C, left columns).
Phenotypic and functional characterizations of these 3 fractions were further determined by the cocultures of these cells with the murine stromal cell line HESS-515 19 and in the presence of SCF, FL, TPO, IL-3, IL-6, and G-CSF. After a 7-day coculture of Lin−CD34high and Lin−CD34− cells with HESS-5, significant numbers of CD34+ cells were identified (Figure 1E,G). When 1 × 104 Lin−CD34high cells were cocultured with HESS-5 in the presence of a cocktail of cytokines for 7 days, approximately 3.9 × 106 human CD45+cells (390 folds) were recovered, and 30% of them were still CD34+ cells. In the case of the 1 × 104Lin−CD34− cells, approximately 1.7 × 105 human CD45+ cells (17 folds) were recovered, and 18% of them turned out to be CD34+. On the other hand, the flow cytometric pattern for Lin−CD34low cells (Figure 1F) was very different from the other 2 patterns observed for Lin−CD34high and Lin−CD34− cells. Namely, 1 × 104 Lin−CD34low cells yielded 1 × 106 human CD45+ cells (100 folds). However, only 1.6% of them were CD34+after the coculture. We then transplanted these 3 fractions of cells recovered from the cocultures into respective 5 NOD/SCID mice using TVI. The levels of human cell engraftment were respectively 31% to 81% (median, 34.0%) for cultured Lin−CD34high cells and 0.3% to 12% (median, 5.7%) for cultured Lin−CD34− cells. These results indicate that the cultured Lin−CD34−cell fraction contained the SRCs, which could not home into the BM niche by TVI before the coculture. However, none of the 5 mice that received transplants of cultured Lin−CD34lowcells were engrafted with human cells.
These results clearly imply that the Lin−CD34− population is a distinct population and differs from both Lin−CD34high and Lin−CD34low cells, not only in terms of CD34, CD38, and CD95 expression, but also in terms of the proliferation kinetics, colony-forming ability, and SRC activity.
SRC activity of CB-derived Lin−CD34high, CD34low, or CD34− cells using the intra–bone marrow injection
Lapidot and his colleagues clearly demonstrated that the chemokine stromal cell–derived factor-1 (SDF-1) and its receptor CXCR4 play a pivotal role in the homing and repopulation of CD34+ SRCs in NOD/SCID mice.17,18 Very recently, it was reported that CXCR4, VLA-4, and VLA-5 played important roles in the homing of CD34+ SRCs by TVI as well as IBMI.20 Moreover, the homing of HSCs to the BM can be considered as a multistep process in which various adhesion molecules present both on HSCs and BM endothelial cells are involved.21-23 Accordingly, we analyzed the expression patterns of CXCR4 and other adhesion molecules on the surfaces of CB-derived Lin−CD34high, Lin−CD34low, or Lin−CD34− cells by flow cytometry. Significant numbers of CB-derived Lin−CD34highcells expressed CXCR4, CD31, CD49d, CD54, CD62L, and CD106. However, Lin−CD34− cells expressed lower levels of CXCR4, CD62L, and CD106 (data not shown). In addition, the low level of surface CXCR4 expression on CB-derived Lin−CD34−CD38− cells has been reported previously, as has their poor SDF-1–induced migration and undetectable homing potential in murine BM and spleen.18Therefore, we hypothesized that very primitive repopulating HSCs that lack the CD34 Ag expression may not home into the BM niche by TVI, since Lin−CD34− cells expressed the low levels of these homing receptors. Thus, we used the IBMI technique11 and tested the SRC activity of these 3 fractions of cells.
When Lin−CD34high cells were transplanted using IBMI, all 9 mice were repopulated, and the level of human cell engraftment was 12.8% to 80.0% (median, 64.8%) (Figure 2A, right column). Very interestingly, this repopulating rate was significantly higher than that by conventional TVI (P < .03). Next, we transplanted Lin−CD34− cells using IBMI. Surprisingly, all 7 mice were repopulated, and the level of human cell engraftment was 10.0% to 52.6% (median, 19.3%) (Figure 2C, right column). On the other hand, none of the 7 mice that received transplants of Lin−CD34low cells using IBMI were engrafted with human cells (Figure 2B, right column). These results clearly indicate that the CB-derived Lin−CD34− cell population contains SRCs detected only by IBMI, which we have called IBMI-CD34− SRCs.
Human CD45+ cell engraftment of NOD/SCID mice.
Each mouse that received a transplant of 5 × 104CB-derived Lin−CD34high (A), Lin−CD34low (B), and Lin−CD34− (C) cells was killed 12 weeks after transplantation. Open and closed circles represent the repopulation rates in total murine BMs by conventional TVI and by IBMI, respectively. Horizontal bars represent each median of the repopulation rates. The level of repopulation by Lin−CD34high cells by IBMI (median, 64.8%) is significantly (P < .03) higher than that (median, 26.2%) by TVI. All 7 mice that received transplants of Lin−CD34− cells by IBMI were engrafted, and the median human CD45+ cell rate is 19.3%, while none of the 10 mice that received transplants of Lin−CD34− cells by TVI were engrafted. In addition, none of the mice that received transplants of Lin−CD34low cells by TVI or IBMI were engrafted.
Human CD45+ cell engraftment of NOD/SCID mice.
Each mouse that received a transplant of 5 × 104CB-derived Lin−CD34high (A), Lin−CD34low (B), and Lin−CD34− (C) cells was killed 12 weeks after transplantation. Open and closed circles represent the repopulation rates in total murine BMs by conventional TVI and by IBMI, respectively. Horizontal bars represent each median of the repopulation rates. The level of repopulation by Lin−CD34high cells by IBMI (median, 64.8%) is significantly (P < .03) higher than that (median, 26.2%) by TVI. All 7 mice that received transplants of Lin−CD34− cells by IBMI were engrafted, and the median human CD45+ cell rate is 19.3%, while none of the 10 mice that received transplants of Lin−CD34− cells by TVI were engrafted. In addition, none of the mice that received transplants of Lin−CD34low cells by TVI or IBMI were engrafted.
In the above-mentioned mice that received transplants either with Lin−CD34− or Lin−CD34high cells by IBMI, we separately analyzed the human cell repopulation in the injected left tibiae and the other bones, including right tibia and pairs of femur and humerus (Figure 3). In these representative mice that received transplants of CD34+ SRCs or IBMI-CD34− SRCs, the human CD45+ cells were clearly detected not only in the injected left tibia but also in the other bones. In addition, significant numbers of CD34+progenies were generated at both sites. These results indicate that IBMI-CD34− SRCs as well as CD34+ SRCs could migrate from the injected site to the other bones.
In vivo generation of human CD34+ cells.
In this study, Lin−CD34high or Lin−CD34− cells (5 × 104) were transplanted into the left tibia of NOD/SCID mice using the IBMI technique. After 12 weeks, the rates of CD45+ and CD34+ cells in the injected left tibiae and other bones (right tibia + 2 femurs + 2 humeri) were separately analyzed by flow cytometry. In these representative mice that received transplants of CD34+ SRCs and IBMI-CD34− SRCs, both showed the marked repopulation with human CD45+ cells. Importantly, both SRCs generated the significant numbers of CD34+ cells not only at the site of injection, but also at the destinations of migration. The numbers in the quadrants define percentages of these cells.
In vivo generation of human CD34+ cells.
In this study, Lin−CD34high or Lin−CD34− cells (5 × 104) were transplanted into the left tibia of NOD/SCID mice using the IBMI technique. After 12 weeks, the rates of CD45+ and CD34+ cells in the injected left tibiae and other bones (right tibia + 2 femurs + 2 humeri) were separately analyzed by flow cytometry. In these representative mice that received transplants of CD34+ SRCs and IBMI-CD34− SRCs, both showed the marked repopulation with human CD45+ cells. Importantly, both SRCs generated the significant numbers of CD34+ cells not only at the site of injection, but also at the destinations of migration. The numbers in the quadrants define percentages of these cells.
Comparison of differentiation potentials of CB-derived IBMI-CD34− SRCs and CD34+ SRCs
To further evaluate the functional differences between CD34− and CD34+ SRCs, we studied their multilineage reconstitution abilities using IBMI. In our SRC assay system, all NOD/SCID mice that received transplants either of 5 × 103 Lin−CD34high cells or 5 × 104 Lin−CD34− cells by IBMI showed signs of human cell engraftment. Limiting dilution analysis demonstrated that the frequencies of repopulating cells in CB-derived Lin−CD34high and Lin−CD34− cells were 1/1010 and 1/24 100, respectively. These results imply that 5 × 103Lin−CD34high cells or 5 × 104Lin−CD34− cells contain approximately 4 or 5 and 2 or 3 SRCs, respectively. Analysis of the 2 representative mice that received transplants either of Lin−CD34high cells (Figure 4, left column) or Lin−CD34− cells (Figure 4, right column) clearly indicate that both the CD34+ SRCs and IBMI-CD34− SRCs have an extensive differentiation potential to B-lymphoid, myeloid, monocytic, megakaryocytic, and erythroid lineages in vivo.
The multilineage reconstitution abilities of CD34+ SRCs and IBMI-CD34− SRCs.
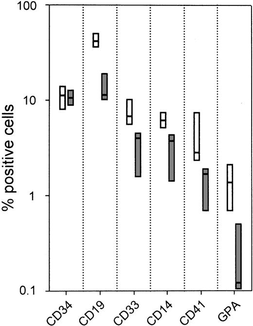
First, the R1 gate was set on the total murine BM cells obtained from these representative mice 12 weeks after the transplantation of 5 × 103 Lin−CD34high or 5 × 104 Lin−CD34− cells, and then human CD45+ cells were gated as R2. Expression of lineage markers, including CD19 (pan-B cell), CD33 (myeloid), CD14 (monocytic), and CD41 (megakaryocytic) on the R2-gated cells was analyzed by 3-color flow cytometry. Only the expression of GPA (erythroid) was analyzed on the whole BM cells (no gate). In this particular mouse that received a transplant of CD34+ SRCs (left column), 39.2% of total BM cells were human CD45+cells, which contained 11.0% of CD34+ cells, 50.1% of CD19+ cells, 5.7% of CD33+ cells, 5.3% of CD14+ cells, and 2.4% of CD41+ cells. In addition, 1.4% of whole murine BM cells were human GPA+cells. In another representative mouse that received a transplant of IBMI-CD34− SRCs (right column), 52.4% of total BM cells were human CD45+ cells, which contained 13.0% of CD34+ cells, 19.1% of CD19+ cells, 4.0% of CD33+ cells, 3.2% of CD14+ cells, and 1.9% of CD41+ cells. In addition, 0.5% of whole murine BM cells were human GPA+ cells.
The multilineage reconstitution abilities of CD34+ SRCs and IBMI-CD34− SRCs.
First, the R1 gate was set on the total murine BM cells obtained from these representative mice 12 weeks after the transplantation of 5 × 103 Lin−CD34high or 5 × 104 Lin−CD34− cells, and then human CD45+ cells were gated as R2. Expression of lineage markers, including CD19 (pan-B cell), CD33 (myeloid), CD14 (monocytic), and CD41 (megakaryocytic) on the R2-gated cells was analyzed by 3-color flow cytometry. Only the expression of GPA (erythroid) was analyzed on the whole BM cells (no gate). In this particular mouse that received a transplant of CD34+ SRCs (left column), 39.2% of total BM cells were human CD45+cells, which contained 11.0% of CD34+ cells, 50.1% of CD19+ cells, 5.7% of CD33+ cells, 5.3% of CD14+ cells, and 2.4% of CD41+ cells. In addition, 1.4% of whole murine BM cells were human GPA+cells. In another representative mouse that received a transplant of IBMI-CD34− SRCs (right column), 52.4% of total BM cells were human CD45+ cells, which contained 13.0% of CD34+ cells, 19.1% of CD19+ cells, 4.0% of CD33+ cells, 3.2% of CD14+ cells, and 1.9% of CD41+ cells. In addition, 0.5% of whole murine BM cells were human GPA+ cells.
Next, the percentages of lineage-positive cells expressing CD19, CD33, CD14, CD41, and GPA were compared (Figure5). These results demonstrated that CD34+ SRCs could supply more mature lymphohematopoietic cells at 12 weeks after transplantation than did IBMI-CD34− SRCs, which showed slow differentiation kinetics. However, the percentages of CD34+ cells were comparable in both SRCs (Figure 5). CD34+ SRCs transplanted by TVI showed almost comparable multilineage reconstitution potential (data not shown).
Comparison of the differentiation potential of IBMI-CD34− SRCs with that of CD34+SRCs.
The multilineage reconstitution abilities of IBMI-CD34−(gray columns) and CD34+ (open columns) SRCs using IBMI technique were compared. Each bar represents the median of positive rates obtained from 3 mice that received transplants of either 5 × 103 Lin−CD34high or 5 × 104 Lin−CD34− cells. In human CD45+ cells, the rate of CD34+ cells was almost comparable in both populations. On the other hand, the rates of CD19+, CD33+, CD14+, and CD41+ in human CD45+ cells and GPA+cells in whole BM cells were significantly (P < .05) higher in the mice that received transplants of CD34+ SRCs than in those that received IBMI-CD34− SRCs.
Comparison of the differentiation potential of IBMI-CD34− SRCs with that of CD34+SRCs.
The multilineage reconstitution abilities of IBMI-CD34−(gray columns) and CD34+ (open columns) SRCs using IBMI technique were compared. Each bar represents the median of positive rates obtained from 3 mice that received transplants of either 5 × 103 Lin−CD34high or 5 × 104 Lin−CD34− cells. In human CD45+ cells, the rate of CD34+ cells was almost comparable in both populations. On the other hand, the rates of CD19+, CD33+, CD14+, and CD41+ in human CD45+ cells and GPA+cells in whole BM cells were significantly (P < .05) higher in the mice that received transplants of CD34+ SRCs than in those that received IBMI-CD34− SRCs.
Kinetics of engraftment potential of CB-derived IBMI-CD34− SRCs: a comparison with CD34+SRCs
As a next approach to characterize the IBMI-CD34−SRCs with respect to repopulating potential, we analyzed the kinetics of engraftment following IBMI of purified Lin−CD34− cells and compared the repopulating pattern with that of Lin−CD34high cells (Figure 6). In this experiment, both mice that received transplants of Lin−CD34− and Lin−CD34high cells showed signs of human cell repopulation at 5 weeks after transplantation. At 8 weeks, the percentage of human CD45+ cells in mice that received transplants of Lin−CD34high cells markedly increased to 16.1% (median), which is significantly (P < .05) higher than at 5 weeks (median, 2.9%). At 12 weeks, the percentage of human CD45+ cells for CD34+ SRCs (median, 30.5%) was maintained at the same level. In contrast, that (median, 4%) for IBMI-CD34− SRCs at 8 weeks was comparable to the level of human cell repopulation at 5 weeks, while it significantly (P < .05) increased to 37.1% (median) at 12 weeks.
Kinetics of repopulation of NOD/SCID mice by IBMI-CD34− and CD34+ SRCs.
In this study, a group of 18 mice (8 weeks old) received transplants of 5 × 103 Lin−CD34high or 5 × 104 Lin−CD34− cells isolated from 6 CB samples. Groups of 3 mice were killed at 5, 8, and 12 weeks after transplantation. At each time point, BM cells obtained from pairs of femurs, tibiae, and humeri were analyzed by flow cytometry for their contents of human CD45+ cells. Open and gray columns represent the values of CD45+ cells derived from CD34+ SRCs and IBMI-CD34− SRCs, respectively. Horizontal bars represent the respective medians. Both CD34+ SRCs and IBMI-CD34− SRCs showed signs of engraftment at 5 weeks after transplantation. The human CD45+ cell rate for CD34+ SRCs significantly (P < .05) increased from 5 weeks to 8 weeks, while that for IBMI-CD34− SRCs significantly (P < .05) increased from 8 weeks to 12 weeks.
Kinetics of repopulation of NOD/SCID mice by IBMI-CD34− and CD34+ SRCs.
In this study, a group of 18 mice (8 weeks old) received transplants of 5 × 103 Lin−CD34high or 5 × 104 Lin−CD34− cells isolated from 6 CB samples. Groups of 3 mice were killed at 5, 8, and 12 weeks after transplantation. At each time point, BM cells obtained from pairs of femurs, tibiae, and humeri were analyzed by flow cytometry for their contents of human CD45+ cells. Open and gray columns represent the values of CD45+ cells derived from CD34+ SRCs and IBMI-CD34− SRCs, respectively. Horizontal bars represent the respective medians. Both CD34+ SRCs and IBMI-CD34− SRCs showed signs of engraftment at 5 weeks after transplantation. The human CD45+ cell rate for CD34+ SRCs significantly (P < .05) increased from 5 weeks to 8 weeks, while that for IBMI-CD34− SRCs significantly (P < .05) increased from 8 weeks to 12 weeks.
These results indicated that IBMI-CD34− SRCs show delayed or slow reconstitution kinetics when transplanted into NOD/SCID mice using IBMI and suggested that IBMI-CD34− SRCs are in a more profoundly dormant state than CD34+ SRCs.
SDF-1/CXCR4–mediated migration ability of IBMI-CD34−SRCs and CD34+ SRCs
To assess migration ability toward a gradient of SDF-1 of IBMI-CD34− SRCs as well as CD34+ SRCs, we performed a transwell migration assay. Results are presented in Table1. As expected, migrating Lin−CD34high cells repopulated all 5 NOD/SCID mice both by TVI and IBMI. Interestingly, nonmigrating Lin−CD34high cells also showed distinct SRC activity only by IBMI. These results suggest that the CB-derived Lin−CD34high cell population contains at least 2 types of SRCs. Our identified nonmigrating IBMI-CD34+SRCs may represent the CD34+CXCR4− SRCs, recently reported by Kollet et al.24 These unique SRCs express intracellular CXCR4, which can be functionally expressed on the cell membrane to mediate SDF-1–induced homing and repopulation. In the case of Lin−CD34− cells, the migrating cells did not show any SRC activity by IBMI. Surprisingly, nonmigrating Lin−CD34− cells did repopulate all 3 mice by IBMI. These results demonstrate that the IBMI is much more sensitive than TVI for detecting both CD34− and CD34+SRCs, which have poor SDF-1/CXCR4–mediated migration ability.
SDF-1–induced migration ability of CD34+ and IBMI-CD34− SRCs
| Transplanted cells . | Transplantation route . | Incidence of engraftment . | Human CD45+ cells (%)* . |
|---|---|---|---|
| Lin−CD34high | |||
| Migrating | IBMI | 5/5 | 0.7-15.2 (5.5) |
| Migrating | TVI | 5/5 | 0.1-2.4 (0.3) |
| Nonmigrating | IBMI | 5/5 | 0.8-12.5 (2.5) |
| Nonmigrating | TVI | 1/5 | 0.1 |
| Lin−CD34− | |||
| Migrating | IBMI | 0/3 | 0 |
| Nonmigrating | IBMI | 3/3 | 0.5-3.5 (3.1) |
| Transplanted cells . | Transplantation route . | Incidence of engraftment . | Human CD45+ cells (%)* . |
|---|---|---|---|
| Lin−CD34high | |||
| Migrating | IBMI | 5/5 | 0.7-15.2 (5.5) |
| Migrating | TVI | 5/5 | 0.1-2.4 (0.3) |
| Nonmigrating | IBMI | 5/5 | 0.8-12.5 (2.5) |
| Nonmigrating | TVI | 1/5 | 0.1 |
| Lin−CD34− | |||
| Migrating | IBMI | 0/3 | 0 |
| Nonmigrating | IBMI | 3/3 | 0.5-3.5 (3.1) |
Immunomagnetically separated cells were allowed to migrate toward a gradient of SDF-1 as described in “Materials and methods.” After the transwell migration, both migrating and nonmigrating cells were recovered. These cells were sorted into Lin−CD34high and Lin−CD34− cells. Cells (5 × 103 Lin−CD34high and 5 × 104 Lin−CD34−) were then transplanted into NOD/SCID mice by IBMI or TVI, as indicated. After 12 weeks, repopulation of human CD45+ cells in murine BMs was analyzed.
Median values are presented in parentheses.
Secondary repopulating ability of IBMI-CD34− SRCs and CD34+ SRCs
To further evaluate the long-term repopulating potential of IBMI-CD34− as well as CD34+ SRCs, BM cells obtained from each primary recipient mice were assessed for their SRC activity by secondary transplantation. First, we transplanted Lin−CD34high cells to primary mice by IBMI. After 8 to 16 weeks, we serially transplanted sorted human CD45+CD34+ and CD45+CD34− cells obtained from primary recipient mouse BMs by IBMI. As presented in Table2, only CD34+ cells could repopulate approximately 70% (11 of 15) of secondary recipient mice. The human CD45+ cell rate in these mice was 0.1% to 11.0% (median, 4.7%). On the other hand, none of the secondary mice that received transplants of sorted CD34− cells were engrafted with human cells. These results indicate that human CD34+SRCs do not convert to CD34− SRCs for at least 16 weeks after transplantation.
Secondary repopulating ability of CD34+ and IBMI-CD34− SRCs
| Type and no. of cells transplanted into PR* . | % Human cells in PR† . | Sorted cells transplanted into SR . | Incidence of engraftment in SR . | % Human cells in SR‡ . |
|---|---|---|---|---|
| Lin−CD34high, 5 × 104 | 31.4-80.0 (72.1)2-153 | CD45+CD34+ | 11/15 | 0.1-11 (4.7)2-153 |
| CD45+CD34− | 0/15 | 0 | ||
| Lin−CD34−, 5 × 104 | 15.3-39.6 (23.4)2-153 | CD45+CD34+ | 4/5 | 0.1-0.9 (0.15)2-153 |
| CD45+CD34− | 0/5 | 0 |
| Type and no. of cells transplanted into PR* . | % Human cells in PR† . | Sorted cells transplanted into SR . | Incidence of engraftment in SR . | % Human cells in SR‡ . |
|---|---|---|---|---|
| Lin−CD34high, 5 × 104 | 31.4-80.0 (72.1)2-153 | CD45+CD34+ | 11/15 | 0.1-11 (4.7)2-153 |
| CD45+CD34− | 0/15 | 0 | ||
| Lin−CD34−, 5 × 104 | 15.3-39.6 (23.4)2-153 | CD45+CD34+ | 4/5 | 0.1-0.9 (0.15)2-153 |
| CD45+CD34− | 0/5 | 0 |
5 × 104 Lin−CD34highcells were estimated to contain 40 to 50 SRCs. In contrast, 5 × 104 Lin−CD34− cells contained only 2 or 3 SRCs.
Human cell repopulation of BMs in primary recipients (PR) was serially analyzed 8 to 16 weeks after transplantation with Lin−CD34high cells and 12 to 16 weeks after transplantation with Lin−CD34− cells.
Human cell repopulation of BMs in secondary recipients (SR) was analyzed 12 weeks after secondary transplantation.
Median values are presented in parentheses.
In the case of primary mice receiving transplants of Lin−CD34− cells by IBMI, all 5 mice were highly engrafted with human CD45+ cells (15% to 40%). Of note was that sorted CD34+ cells repopulated 80% (4 of 5) of the secondary recipient mice, and their human CD45+ cell rates were 0.1% to 0.9% (median, 0.15%). Interestingly, none of the sorted CD34− cells engrafted secondary recipients. These results clearly indicate that IBMI-CD34− SRCs have the capacity to generate CD34+ SRCs in vivo as well as long-term human cell repopulating capacity in NOD/SCID mice.
Discussion
A number of studies concerning murine and human CD34−primitive HSCs have suggested that the CD34lo/− cell population contains long-term lymphohematopoietic repopulating HSCs.4,5,9,10 19 However, precise analysis of human CD34− HSCs has been hindered by the lack of a simple and reliable assay system of these rare cells. In this study, we established a dependable assay system for CD34− SRCs using the IBMI technique.
As described, IBMI-CD34− SRCs cannot home into the BM niche by TVI. This is partly explained by their lower expression levels of homing receptors, including CXCR4. The transwell migration assay toward a gradient of SDF-1 clearly indicated that IBMI-CD34− SRCs have poor SDF-1/CXCR4–mediated migration and homing abilities. An analysis of the in vivo migration ability of HSCs (Figure 3) demonstrated that a significant proportion of IBMI-CD34− SRCs as well as CD34+ SRCs were redistributed from the injected left tibia to the other bones and proliferated at the migrated sites, where both SRCs generated significant numbers of CD34+ progenies. However, it remains unknown whether the IBMI-CD34− SRCs migrate to the other bones with the CD34− immunophenotype or after their conversion to the CD34+ state. Furthermore, the molecular mechanisms involved in this migratory (redistribution and homing) process are yet to be clarified.
Secondary transplantation studies of sorted CD45+CD34+ and CD45+CD34− cells obtained from primary recipient mice that received transplants either of IBMI-CD34− SRCs or CD34+ SRCs demonstrated that only CD34+ cells could repopulate secondary recipient mice. These results indicated that IBMI-CD34− SRCs generated CD34+ SRCs in vivo and are consistent with reported data that human CB-derived Lin−CD34−cells generated a large number of CD34+ stem cells in an ex vivo culture system using HESS-5 and various human cytokines.25 More importantly, the secondary transplantation studies demonstrated for the first time that CB-derived IBMI-CD34− SRCs have long-term (up to 28 weeks) human cell repopulating capacity in NOD/SCID mice.
In contrast to murine BM-derived HSCs,26 human CB-derived CD34+ SRCs did not convert to CD34− SRCs for at least 16 weeks after transplantation. However, it will require a longer period of observation (more than 1 year) to elucidate the possibility of reversion of CD34 antigen expressed on human CB-derived CD34+ HSCs, as suggested by Zanjani et al using human BM-derived HSCs.27 In addition, it was not clarified whether the CD34− cell population obtained from primary mice that received transplants of Lin−CD34−cells still contained CD34− HSCs, which cannot home into the BM niche in secondary recipients even by IBMI. Further studies will be required to clarify this important issue.
Very recently, Guenechea et al have clearly demonstrated that the human cell repopulation in NOD/SCID mice that received transplants of Lin− CB cells is generally oligoclonal, with extensive variability in the life span and proliferative capacity of individual SRCs.28 Analysis of unique retroviral integration sites of the SRCs revealed the existence of different clones of SRCs with variable self-renewal potential and short-term and long-term repopulating capacity. Therefore, it is important to clarify the functional heterogeneity of CD34+ and CD34−SRCs to understand the hierarchy of human HSCs.29
Functional studies, including analyses of multilineage reconstituting ability, the kinetics of engraftment, the productivity of CD34+ progenies, and secondary repopulating ability revealed that these IBMI-CD34− SRCs have HSC characteristics different from CD34+SRCs8,17,18 and also the previously reported CD34− SRCs.9 All these results imply that our identified IBMI-CD34− SRCs are a novel class of primitive repopulating HSCs that can be detected only by the sensitive IBMI technique.
The application of this IBMI technique may make it possible to discover other hitherto unidentified HSCs in various organs or to find new markers for HSCs. There is also the important question of whether the BM or mobilized PB contains an equivalent class of CD34−SRCs. Moreover, IBMI provides a more efficient engraftment of CD34+ SRCs, which can contribute to the early phase of BM reconstitution.10 In addition, our identified nonmigrating CD34+ SRCs can efficiently home into the BM niche by IBMI. Therefore, it seems to be imperative that these CD34− SRCs should be transplanted with migrating and nonmigrating CD34+ SRCs in clinical HSC transplantation using the IBMI technique.
The majority of cord blood stem cell transplantations (CBSCTs) have been carried out in children, due to limited numbers of HSCs in a single CB sample.30 Therefore, successfully engrafting adults on a routine basis using the IBMI technique would greatly expand the clinical applicability of CBSCT. We anticipate that the use of the IBMI technique will have a great impact on clinical transplantation in the near future.
The authors are grateful to Dr H. Asano of the School of Nursing, Kyoto Prefectural University of Medicine, for his critical advice on statistical analysis; and to Dr M. Kita of the Central Laboratory Animal Facility for his kind cooperation regarding animal care. Drs T. Abe, M. Nakao, and H. Fujiki of Kyoto Prefectural University of Medicine are also acknowledged for their encouragement. The authors also thank Kirin Brewery (Tokyo, Japan) for providing the various growth factors used in this study.
Prepublished online as Blood First Edition Paper, December 12, 2002; DOI 10.1182/blood-2002-09-2782.
Supported in part by a Grant-in-Aid for Scientific Research B from the Ministry of Education, Science and Culture of Japan.
The publication costs of this article were defrayed in part by page charge payment. Therefore, and solely to indicate this fact, this article is hereby marked “advertisement” in accordance with 18 U.S.C. section 1734.
References
Author notes
Yoshiaki Sonoda, the Department of Hygiene, Kyoto Prefectural University of Medicine, Kawaramachi-Hirokoji, Kamigyoku, Kyoto 602-8566, Japan; e-mail:sonoda@basic.kpu-m.ac.jp.






This feature is available to Subscribers Only
Sign In or Create an Account Close Modal