Abstract
Two unrelated patients with the same Arg2150His mutation in the factor VIII (FVIII) C1 domain, a residual FVIII activity of 0.09 IU/mL, and inhibitor titres of 300 and 6 Bethesda Units, respectively, were studied. Further analysis of patient LE, with the highest inhibitor titer, showed that (1) plasma or polyclonal IgG antibodies prepared from LE plasma inhibited the activity of allogeneic (wild-type) but not of self FVIII; (2) the presence of von Willebrand factor (vWF) increased by over 10-fold the inhibitory activity on wild-type FVIII; (3) the kinetics of FVIII inhibition followed a type II pattern, but in contrast to previously described type II inhibitors, LE IgG was potentiated by the presence of vWF instead of being in competition with it; (4) polyclonal LE IgG recognized the FVIII light chain in enzyme-linked immunosorbent assay and the recombinant A3-C1 domains in an immunoprecipitation assay, indicating that at least part of LE antibodies reacted with the FVIII domain encompassing the mutation site; and (5) LE IgG inhibited FVIII activity by decreasing the rate of FVIIIa release from vWF, but LE IgG recognized an epitope distinct from ESH8, a murine monoclonal antibody exhibiting the same property. We conclude that the present inhibitors are unique in that they clearly distinguish wild-type from self, mutated FVIII. The inhibition of wild-type FVIII by LE antibody is enhanced by vWF and is associated with an antibody-dependent reduced rate of FVIIIa release from vWF.
THE INCIDENCE OF inhibitory antibodies in patients with hemophilia A is still a matter of controversy, with reported incidences varying from 5% to 52%, depending to some extent on the underlying factor VIII (FVIII) gene defect. Thus, in severe hemophilia (FVIII activity < 0.01 IU/mL) a higher risk is associated with mutation types such as large deletions, nonsense mutations, and gene inversion than with missense mutations.1
Moderate/mild hemophilia (FVIII activity ≥ 0.02 IU/mL), which is most often caused by a missense mutation, is also traditionally considered to carry a low risk of inhibitor development. However, more recent data describe an incidence of inhibitor up to the level found in severe hemophilia with a similar type of gene defect.2 It is possible that the location at which the mutation occurs influences the likelihood that inhibitors will develop. As an example, mutations in the carboxy-terminal end of the C1 domain and the immediately adjacent region of C2 are more frequently associated with inhibitors.2 The reason for such an increased incidence of inhibitors is, however, not known.
Antibodies inhibiting allogeneic (wild-type) but not self FVIII are exceptional. A single case report described a patient with moderate hemophilia A associated with a mutation in the FVIII A2 domain and in whom significant FVIII activity coexisted with a low titer of inhibitor.3 Anti-FVIII antibodies were shown to be directed, at least in part, toward the wild-type region corresponding to the mutated site of the heavy chain.
Observations such as these are of outstanding interest because they are likely to shed light on the mechanisms by which tolerance to FVIII is established and maintained, and vice-versa, by which tolerance to self is broken. In fact, the immune response to FVIII might represent a unique opportunity to study such mechanisms as it can be elicited in the context of alloimmunization and autoimmunization.4
We report here on two unrelated patients with mild hemophilia associated with a Arg2150His mutation in the C1 domain of FVIII. These patients maintained significant FVIII activity despite the development of high-titer anti-FVIII antibody. One of these patients was studied in more detail, and the data show that the findings were not due to the kinetics of FVIII inactivation but rather to epitope specificity of the inhibitor, so that wild-type but not the patient’s own variant FVIII was inhibited.
MATERIALS AND METHODS
Reagents and Buffers
Reagents obtained by generous gifts were: human recombinant FVIII (rFVIII) for laboratory use (specific activity 4,000 IU/mg) and multidonor pooled gammaglobulins (Gammagard), both from Hyland (Glendale, Ca); isolated rFVIII light or heavy chains from Dr Mirella Ezban (Novo Nordisk, Gentofte, Denmark); plasma-derived FVIII–von Willebrand factor (vWF) complex, purified by ion exchange chromatography (specific activity 160 IU/mg protein; 15:1 vWF to FVIII wt/wt ratio), and purified FVIII-depleted vWF (lot 951016; 4,800:1 vWF to FVIII wt/wt ratio) from the Belgian Red Cross (Brussels, Belgium); anti-FVIII mouse monoclonal antibody (MoAb) ESH8 from Dr Duncan Pepper (Edinburgh, UK). The following reagents were purchased: avidin-peroxidase and ortho-phenylenediamine (OPD) from Sigma Chemical Co (St Louis, MO); bovine serum albumin (BSA) from Calbiochem (La Jolla, CA); casein from Aldrich Chemicals (Milwaukee, WI); sulfo-NHS-LC-Biotin from Pierce (Rockford, IL); protein G-Sepharose beads from Pharmacia-Upjohn (Uppsala, Sweden); and Tween-20 from Technicon (Tarrytown, NY). The following buffers were used: glycine, 50 mmol/L, pH 9.2 (GBS); phosphate-buffered saline, 8 mmol/L, pH 7.4 (PBS); PBS containing 0.5% BSA (PBS-BSA); Tris (hydroxymethyl)-aminoethane, 10 mmol/L, pH 7.3 (Tris); Tris containing 0.5% casein (Tris-casein); Tris 20 mmol/L containing 150 mmol/L NaCl (TBS); TBS containing 0.1% Tween-20 (TBS-Tween).
Patient Histories
Patient LE, born in 1937, was diagnosed with mild hemophilia A at the age of 5 years when prolonged bleeding occurred following an ankle trauma. There was a family history of hemophilia: the maternal grandfather died of bleeding in his thirties. One brother bled to death after tonsillectomy at the age of 8 years and another brother (LM) has mild hemophilia A with an FVIII level of 0.09 IU/mL. As a child LE had regular hemarthroses in the right elbow resulting in hypotrophy of the right arm. In 1976, a total hip joint replacement was performed abroad because of recurrent hemarthroses. The procedure was covered by FVIII replacement therapy. Shortly thereafter, the patient was informed that hemophilia had become severe, but he only occasionally suffered from bleedings after trauma and did not require replacement therapy. In September 1995, a cerebral bleeding occurred associated with right facial paresis, from which the patient almost completely recovered. However, he received FVIII infusions on this occasion. By the end of 1995, the patient developed fever and pain in the right hip. Prosthesis infection and sepsis were diagnosed and the patient was transferred to our Centre. Removal of the hip prosthesis was deemed necessary to control infection and a preoperative workup was performed.
Patient MV, unrelated to LE, was born in 1987 and was diagnosed as a moderate hemophiliac at the age of 1 year, after having developed a large cephalhematoma. He had no family history of hemophilia. He has since required regular FVIII infusions, mainly for ankle bleedings.
Antibody Purification
An IgG fraction of LE inhibitor plasma was obtained by affinity chromatography on protein G Sepharose. The amount of IgG antibodies recovered by affinity purification was measured by specific enzyme-linked immunosorbent assay (ELISA) as described previously.5
FVIII Biotinylation
rFVIII was diluted at 100 μg/mL in 10 mmol/L HEPES, 0.15 mol/L NaCl pH 8.5, and incubated with 1 μg/mL sulfo-NHS-LC biotin (Pierce) for 30 minutes at room temperature (RT). Excess of biotin was then removed by dialysis against HEPES 20 mmol/L, NaCl 0.15 mol/L, CaCl210 mmol/L, pH 7.2. This labeling procedure did not significantly alter FVIII activity as evaluated in a FVIII chromogenic assay.
FVIII Antigen Assay
FVIII antigen levels were determined by a sandwich-type ELISA. Microtitration plates (EIA/RIA plates, Costar, Cambridge, MA) were coated by overnight incubation at 4°C with 200 μL of PBS containing 5 μg/mL of MoAbF15B12 (prepared in our laboratory) with specificity for the FVIII A2 domain. The plates were then washed with PBS-Tween and blocked by incubation with PBS containing 1% BSA and 0.02% Tween-20 for 1 hour at RT. Two hundred microliters of 10-fold diluted hemophilic patient plasma or normal plasma pool as a control were then added for a further incubation of 90 minutes at RT. The plates were then washed as above before addition of peroxidase-conjugated MoAbF26B7 (prepared in our laboratory) directed toward the FVIII acidic region of the light chain (amino-acid residues 1649-1689) and diluted in PBS at 2 μg/mL. After an incubation of 1 hour at RT and a wash, the binding of the peroxidase-conjugated MoAb was detected by addition of OPD dissolved in citrate phosphate buffer, pH 5, which contained 3% H2O2. Absorbance was read at 492 nm. Normal plasma pool dilutions were used to construct a reference curve, against which the values obtained with samples under investigation were determined. Results are expressed as percentages of normal FVIII antigen values.
vWF Antigen Assay
vWF antigen assay was performed using ELISA6 based on two murine monoclonal antibodies.
FVIII Genetic Analysis
Sequence determination of patient LE FVIII gene was performed by the MRC Hemostasis Research Group. Exons 23 to 26 and the adjacent intronic sequences were amplified by polymerase chain reaction (PCR) and single-strand conformation polymorphism (SSCP) analysis was performed as described by Michaelides et al.7 The PCR product, which showed aberrant mobility, was directly sequenced using the ABI PRISM Dye Terminator Sequencing Ready Reaction kit and Amplitaq DNA Polymerase FS according to the manufacturer’s instructions (Perkin-Elmer Applied Biosystems, Warrington, UK) and analyzed on an ABI Applied Biosystems 373A DNA automated sequencer (Perkin-Elmer). Mutation analysis for patient MV was performed by fluorescent chemical cleavage of mismatches (FluoCCM) as described.8 Briefly, total RNA was extracted from peripheral blood lymphocytes. RNA extraction was performed using a modified guanidinium thiocyanate method. One picomole of fluorescent isothiocyanate (FITC)-labeled reverse-transcription polymerase chain reaction (RT-PCR) products from a patient and a control individual were mixed, denatured, and allowed to reanneal overnight at 65°C to form heteroduplexes. Mismatches were labeled with hydroxylamine and osmium tetroxide, respectively, as follows: treatment with hydroxylamine (5 mol/L, pH 6) for 60 minutes at 37°C and with osmium tetroxide (0.4%) for 15 minutes at RT. Reactions were stopped by adding 200 μL of precipitation buffer (0.1 mmol/L Na2EDTA pH 8.0, 300 mmol/L Na-Acetate). After ethanol precipitation, pellets were resuspended in 1 mol/L piperidine for 30 minutes at 90°C for cleavage of modified mismatches (C and T). The products were sized on a 4% denaturing polyacrylamide gel on the automated A.L.F. DNA sequencer (Pharmacia Biotech) on the same day. Fluorescent signals were analyzed with the Fragment Manager software (Pharmacia Biotech, Roosendaal, The Netherlands). The thermo sequenase fluorescent-labeled primer cycle sequencing kit with 7-deaza-dGTP (Amersham, Buckinghamshire, CA) was used for cycle sequencing to identify the mutation.
FVIII Functional Assays
FVIII activity was measured in a one-stage assay9 adapted to an automated coagulometer ACL-810 (Instrumentation Laboratory [IL], Milan, Italy) using severe hemophilia A plasma and a micronized silica aPTT reagent (IL), or in a chromogenic assay according to the manufacturer’s instructions (Coatest, Kabi Vitrum, Brussels, Belgium). FVIII inhibitor levels were measured according to the Bethesda method,10 using blood collected in buffered trisodium citrate and predilution in FVIII-deficient plasma. Inhibitor plasmas were also tested in a modified Bethesda assay, in which normal pooled plasma was replaced by plasma of the hemophilic brother of LE (obtained after DDAVP administration), plasma-derived, or recombinant FVIII concentrates.
Immunoprecipitation Assays
These were performed as described.11 12 Briefly, duplicate samples of 50 μL inhibitor plasma diluted in Tris-buffered saline (TBS) containing 1% BSA were incubated with 10 μL125I-labeled A1, A2, or C2 domains, or with full-length FVIII light chain (0.75 nmol/L, final concentration each) for 15 to 24 hours at 4°C with agitation, followed by 3 hours at the same temperature after addition of 100 μL TBS-BSA and 50 μL of a suspension of protein G-Sepharose beads. Beads were washed three times with TBS-Tween and radioactivity associated with them was determined in a gamma counter (LKB, Fredsforsstigen, Sweden). Background radioactivity without antibody was 1% to 2% of total radioactivity added, and maximal binding by antibody was 60% to 70%. Results are expressed as immunoprecipitation units per milliliter, as follows : 1 − (Bound/Total Radioactivity − Background) × Plasma Dilution × 16.7.
Construction and expression of recombinant A3-C1 (amino acid residues 1690-2172) in Chinese hamster ovary (CHO) cells and metabolic radiolabeling with [35S] and immunoprecipitation of A3-C1 were performed as described.12 SDS-PAGE was performed on 12% polyacrylamide instead of 10%. As a positive control MoAbCLB-CAgA (amino acid residues 1801-1823 of mature A3 domain,13 kind gift of Dr Jan van Mourik, The Netherlands Red Cross CLB, Amsterdam, The Netherlands) was used.
Release of Thrombin-Cleaved FVIII From vWF
Polystyrene microtitration plates (Maxisorb, Nunc, Roskilde, Denmark) were coated by a 2-hour incubation at RT with 50 μL of an anti-human vWF MoAb (MoAb4H1D7, produced in our laboratory) diluted at 10 μg/mL in GBS. The plates were then washed 3 times with PBS-Tween and saturated for 30 minutes with 80 μL Tris-casein. Thirty microliters of a mixture of 10 μg/mL vWF and 1 μg/mL biotinylated rFVIII in Tris-casein was added to 30 μL of a human IgG sample adjusted to 2,000, 400, 80, or 16 μg/mL in the same buffer. Fifty microliters of this new mixture was added to the anti-vWF–coated plates for 2 hours at RT. The plates were washed as above before addition of 50 μL of thrombin diluted at 10 IU/mL in 9 g/L NaCl, 10 mmol/L CaCl2for an incubation of 2 minutes at 37°C. Thrombin was then inhibited at once by addition of 50 μL of 10 μg/mL hirudin diluted in 9 g/L NaCl, 10 mmol/L CaCl2. The plates were immediately washed as above before incubation with 50 μL avidin peroxidase diluted at 2 μg/mL in TBS-BSA 2.5%. Fifteen minutes later, after washing, OPD was added and absorbance read at 492 nm.
Inhibition Assay
Inhibition of the anti-FVIII antibody binding to insolubilized rFVIII by isolated rFVIII heavy and light chains was performed as described previously.14 Briefly, 50 μL of purified LE IgG at 18 mg/mL and 50 μL of rFVIII light or heavy chain at 10 μg/mL were mixed and incubated for 2 hours at 37°C. Fifty microliters was then taken and added to rFVIII-coated plates for a further 2-hour incubation at RT. After washing, residual bound human IgG was detected by addition of a peroxidase-labeled goat IgG specific to human IgG. Control experiments were prformed with mouse MoAbs specific to the FVIII light or heavy chain.
Competition Assay
To determine whether the epitopes recognized by LE IgG were located at, or close to, the region to which MoAbESH8 binds, a competition assay was performed. To this end, polystyrene microtitration plates (Maxisorb, Nunc) were coated for 2 hours at RT with 50 μL of MoAbESH8 diluted to 5 μg/mL in GBS. The plates were washed 3 times with TBS-Tween and then saturated for 30 minutes at RT with 80 μL Tris-casein. Thirty microliters of biotin-labeled rFVIII diluted at 1 μg/mL in Tris-casein (with or without vWF at 10 μg/mL) was mixed with 30 μL of a sample containing LE anti-FVIII IgG adjusted to 2 mg in the same buffer. In control experiments, rFVIII was mixed with MoAbESH8 at 40 μg/mL or with buffer. Fifty microliters of the mixture were added to the ESH8-coated plates for a 2-hour incubation at RT. The plates were washed as described above before addition of 50 μL avidin-peroxidase diluted at 1 μg/mL in TBS-BSA. After 30-minute incubation at RT and washing, OPD was added and absorbance was read at 492 nm. Control experiments included substitution of patient anti-FVIII antibodies by a preparation of 2 mg of multidonor pooled gammaglobulins.
RESULTS
Patient Description and Follow-Up
Patient LE.
At preoperative workup, LE showed a FVIII activity of 0.23 IU/mL. vWF antigen was 2.40 IU/mL and anti-FVIII antibody 305 Bethesda Units (BU)/mL. The relatively high FVIII and vWF levels were probably related to infection. rFVIII was infused at a dose of 67 U/kg body weight, which did not increase FVIII activity. However, after administration of desmopressin acetate (0.3 μg/kg), FVIII activity increased to 0.45 IU/mL. The hemophilic brother of the patient, LM, had a basal FVIII level of 0.09 IU/mL and a FVIII antigen level of 11%, with no measurable inhibitor. After infusion of desmopressin an increase of FVIII activity to 0.97 IU/mL was measured. During and after surgical removal of the infected hip prosthesis (Girdle stone procedure), patient LE was treated by continuous infusion15 of recombinant factor VIIa (Novo-Seven, generously supplied by Novo-Nordisk Belgium for compassionate use) to maintain a level of factor VII:c at about 10 U/mL for a period of 12 days. A collection of 800 mL of pus was drained without bleeding complications. The postoperative course was, however, complicated by septicemia and the formation of a large abscess in the right thigh with fistulization to the skin. Blood loss occurred through the fistula on several occasions that required blood replacement and DDAVP administration. Except for this, no bleeding or abnormal activation of coagulation (tested by evaluation of D-Dimer, platelet count and fibrinogen levels) was observed during the entire postoperative period. The fistula eventually closed after more than 1 year, and the patient is presently well. One year after surgery, the FVIII level, vWF antigen, and inhibitor level were 0.09 IU/mL, 1.0 IU/mL, and 25 BU/mL, respectively.
Patient MV.
In patient MV an inhibitor of 4 BU/mL was detected at a routine outpatient visit. FVIII activity was, however, unchanged from his basal level (0.04 IU/mL), with a FVIII antigen level of 5%. Cumulative exposure days before inhibitor detection were 102 with FVIII SD (Belgian Red Cross) and 82 with Recombinate (Baxter). FVIII recovery was decreased to 0.26 IU/IU FVIII administered per kg body weight. After infusion of desmopressin (0.3 μg/kg body weight) FVIII activity rose from 0.04 IU/mL to 0.57 IU/mL. The inhibitor level increased to 6 BU/mL 6 weeks after first detection and was still at 4 BU/mL with a FVIII activity of 0.04 IU/mL 5 months later, although the patient had not been further exposed to FVIII concentrates.
FVIII gene sequencing showed a missense mutation causing the substitution of arginine by histidine at amino acid position 2150 of the FVIII C1 domain in both patients. This mutation arose de novo in patient MV, because his mother did not carry the mutation.
LE Plasma Inhibits Wild-Type but not Arg2150His Mutated FVIII
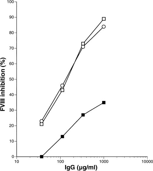
Figure 1 shows that comparable levels of FVIII inhibition were obtained when LE plasma was mixed with either normal pooled plasma, plasma-derived FVIII, or rFVIII. The latter two were prediluted in severe hemophilia A plasma for testing by a modified Bethesda assay. An inhibition of 90% of FVIII activity was achieved even when undiluted patient plasma was used (data not shown). By contrast, no inhibition of ‘autologous’ FVIII in plasma obtained from the mild hemophilic brother LM 30 minutes after DDAVP infusion (FVIII:c 0.97 IU/mL) was observed (Fig 1). However, the FVIII of LM was readily inactivated by mixing with plasma of a severe hemophilia A patient (BO) with high titer inhibitor (data not shown).16 Patient LE plasma did not inhibit the FVIII activity in patient MV plasma (result not shown).
Inhibition of FVIII activity evaluated in a modified Bethesda assay. Various dilutions of the plasma of patient LE were incubated with either normal plasma (•), plasma of patient’s brother (LM; ○), a plasma-derived FVIII concentrate (▴), or rFVIII diluted in the plasma of a severe hemophilia A patient (□). Residual FVIII activity is expressed as percent of control.
Inhibition of FVIII activity evaluated in a modified Bethesda assay. Various dilutions of the plasma of patient LE were incubated with either normal plasma (•), plasma of patient’s brother (LM; ○), a plasma-derived FVIII concentrate (▴), or rFVIII diluted in the plasma of a severe hemophilia A patient (□). Residual FVIII activity is expressed as percent of control.
LE Inhibitor Requires the Presence of vWF for Full Inhibitory Activity
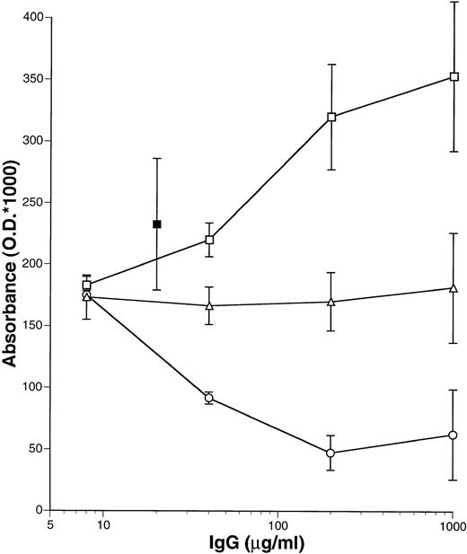
To get further insight into the mechanisms by which LE plasma inhibited wild-type but not self FVIII, we purified IgG as described in Materials and Methods. IgG inhibited both plasma-derived and rFVIII, prediluted in severe hemophilia plasma, but not self FVIII in a chromogenic assay, in a manner similar to what was observed using plasma. However, when purified IgG was mixed with rFVIII prediluted in buffer instead of FVIII-deficient plasma, only a limited inhibition was obtained. This suggested that a plasma factor, possibly vWF, was required for full expression of inhibitory activity. Therefore, we repeated the assay in the presence of purified vWF. As shown in Fig 2, addition of vWF (vWF:FVIII, 50/1, wt/wt ratio) increased by ±10-fold the inhibitory capacity of LE IgG on rFVIII activity, bringing it to the same level as that obtained using plasma-derived FVIII.
Inhibition of rFVIII activity by LE IgG in the presence or absence of vWF. Plasma-derived FVIII (containing vWF) (○), rFVIII alone (▪), or rFVIII complexed with vWF at a 1:50 wt:wt ratio (□) were incubated with various concentrations of patient LE IgG. The residual FVIII activity was measured in a chromogenic assay and expressed as percent inhibition of control.
Inhibition of rFVIII activity by LE IgG in the presence or absence of vWF. Plasma-derived FVIII (containing vWF) (○), rFVIII alone (▪), or rFVIII complexed with vWF at a 1:50 wt:wt ratio (□) were incubated with various concentrations of patient LE IgG. The residual FVIII activity was measured in a chromogenic assay and expressed as percent inhibition of control.
LE Antibodies Behave as Type II Inhibitors
Because LE inhibitor did not completely inactivate wild-type FVIII, we evaluated the kinetics of FVIII inactivation compared to that obtained with the plasma of a severe hemophilia A patient (BO) with a known type I inhibitor. To this end, both preparations were diluted to an inhibitory level of 10 BU/mL. After mixing with normal plasma and incubation at 37°C for various time intervals, residual FVIII activity was measured in the mixture. Figure 3 shows that inactivation of plasma FVIII activity by LE IgG was slow and incomplete, ie, properties characteristic of type II inhibitors, whereas a rapid and complete inactivation was obtained with BO IgG.
Kinetics of inhibition of FVIII activity by patient LE inhibitor. Total IgG of patient LE (•) diluted to an inhibitory activity of 10 BU/mL was incubated at 37°C with normal plasma as a source of FVIII. Residual FVIII activity was determined in a one-step coagulation test after various incubation times. As a comparison, 10 BU/mL of total IgG prepared from patient BO, a patient with severe hemophilia and a high titer inhibitor, was included (○).
Kinetics of inhibition of FVIII activity by patient LE inhibitor. Total IgG of patient LE (•) diluted to an inhibitory activity of 10 BU/mL was incubated at 37°C with normal plasma as a source of FVIII. Residual FVIII activity was determined in a one-step coagulation test after various incubation times. As a comparison, 10 BU/mL of total IgG prepared from patient BO, a patient with severe hemophilia and a high titer inhibitor, was included (○).
LE Inhibitor Reacts With the A3-C1 Domains of FVIII Light Chain
The enhancing effect of vWF on the inhibitory properties of LE IgG suggested that the corresponding epitope(s) could be located on the FVIII light chain.17 In an attempt to identify such an epitope on wild-type FVIII, we performed a sodium dodecyl sulfate-polyacrylamide gel electrophoresis (SDS-PAGE) with native or thrombin-digested FVIII, followed by immunoblotting with LE IgG. No binding of IgG was detected (data not shown), suggesting that the epitope(s) was conformational rather than linear and/or that an additional factor was required for efficient antibody binding. The binding of patient LE IgG to insolubilized rFVIII was inhibited by more than 90% when LE IgG were preincubated with the isolated FVIII light chain; no inhibition was found after preincubation with isolated heavy chain (results not shown). Next, an immunoprecipitation assay was performed by mixing LE plasma either with the entire light chain, with isolated A1, A2, or C2 domains. Significant precipitation was obtained when full-length light chain was used but not with single domains (Table 1). However, assays performed with the combined 35S-rA3-C1 domains were positive with both LE and MV plasmas (Fig 4), indicating that at least some of the anti-FVIII antibodies of LE and MV are directed toward A3-C1.
SDS-PAGE analysis of metabolically labeled rA3-C1 domains immunoprecipitated by LE and MV antibodies. The positive control was anti-A3 MoAb CLB-CAgA at saturating amounts (1 μg, lane 13), and the negative controls were 35S-rA3-C1 with an anti-A2 antibody (lane 14) and without antibody (lane 15). Lanes 1 through 6 contain twofold dilutions from 1:60 to 1:1,920 of LE plasma, and lanes 7 through 12 dilutions 1:2 to 1:64 of MV plasma.
SDS-PAGE analysis of metabolically labeled rA3-C1 domains immunoprecipitated by LE and MV antibodies. The positive control was anti-A3 MoAb CLB-CAgA at saturating amounts (1 μg, lane 13), and the negative controls were 35S-rA3-C1 with an anti-A2 antibody (lane 14) and without antibody (lane 15). Lanes 1 through 6 contain twofold dilutions from 1:60 to 1:1,920 of LE plasma, and lanes 7 through 12 dilutions 1:2 to 1:64 of MV plasma.
LE IgG Decreases the Dissociation Rate of FVIIIa From vWF
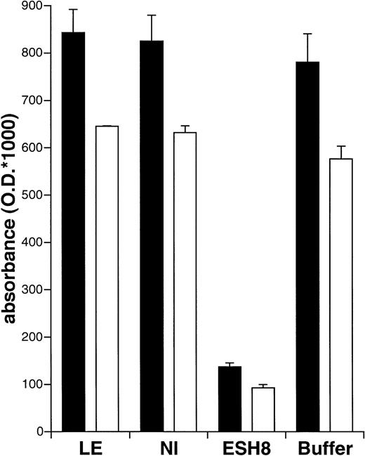
We next investigated whether the mechanism by which LE IgG inactivated FVIII was related to an antibody-dependent reduction in the dissociation from vWF. This was evaluated in an ELISA system. Thus, biotinylated FVIII-vWF complexes were mixed with different concentrations of either LE IgG, normal IgG, or MoAbESH8. The mixtures were then insolubilized on microtitration plates coated with an anti-vWF MoAb. FVIII was then activated by thrombin and the effect of antibodies on FVIIIa dissociation was measured by addition of avidin-peroxidase (Fig 5). The presence of normal IgG antibodies had no influence on the amount of residual FVIII bound to the plates. However, in the presence of LE IgG, a dose-related increase in residual FVIII was observed. MoAbESH8 showed the same effect, but polyclonal IgG of patient BO, known to displace FVIII from vWF,16 decreased in a dose-dependent manner the amount of residual bound FVIII. These findings suggested that at least part of the mechanism of action of LE IgG could be similar to that of MoAbESH8. In addition, we showed that LE IgG did not reduce the rate of FVIII activation by thrombin (data not shown). Therefore, we checked whether LE IgG recognized the same epitope as MoAbESH8, which had been mapped to residues 2248-2285 in the C2 domain.18 To this end, microtitration plates were coated with MoAbESH8 and then incubated with biotin-labeled rFVIII with or without vWF, and in the presence or not of antibodies. LE IgG did not inhibit rFVIII binding to ESH8, independently of the presence of vWF, while a significant inhibition was obtained with ESH8 (Fig 6). This indicated that LE IgG and MoAbESH8 did not recognize the same FVIII epitope.
Dissociation of rFVIIIa from vWF. Biotinylated rFVIII (0.5 μg/mL) complexed to vWF (5 μg/mL) and mixed with various concentrations of either LE IgG (□), MoAbESH8 (▪), IgG from a normal subject (▵), or IgG from a hemophilia patient (BO) which displaces FVIII from vWF (○). IgG at the indicated concentrations was added to microtitration plates coated with the anti-vWF MoAb4H1D7 for an incubation of 2 hours at RT. After washing, FVIII was activated by thrombin for 2 minutes at 37°C. FVIIIa bound to vWF was detected by the addition of avidine peroxidase. Controls included the detection of bound biotinylated FVIII in the absence of thrombin digestion (OD450 = 460 ± 47.7 SD) and of biotinylated rFVIII after thrombin digestion in the absence of antibody (OD450 = 160 ± 16.0 SD). The mean of triplicates with SD are indicated.
Dissociation of rFVIIIa from vWF. Biotinylated rFVIII (0.5 μg/mL) complexed to vWF (5 μg/mL) and mixed with various concentrations of either LE IgG (□), MoAbESH8 (▪), IgG from a normal subject (▵), or IgG from a hemophilia patient (BO) which displaces FVIII from vWF (○). IgG at the indicated concentrations was added to microtitration plates coated with the anti-vWF MoAb4H1D7 for an incubation of 2 hours at RT. After washing, FVIII was activated by thrombin for 2 minutes at 37°C. FVIIIa bound to vWF was detected by the addition of avidine peroxidase. Controls included the detection of bound biotinylated FVIII in the absence of thrombin digestion (OD450 = 460 ± 47.7 SD) and of biotinylated rFVIII after thrombin digestion in the absence of antibody (OD450 = 160 ± 16.0 SD). The mean of triplicates with SD are indicated.
Competition between LE antibodies and MoAbESH8 for binding on rFVIII. Microtiter plates were coated with 5 μg/mL MoAbESH8 before addition of biotinylated rFVIII (1 μg/mL) alone (▪) or complexed to vWF (□) for an incubation of 2 hours at RT. Incubations were made in the presence of either LE IgG (1,000 μg/mL), IgG from a normal donor (Nl) (1,000 μg/mL), or MoAbESH8 (5 μg/mL), or in the absence of antibody (buffer). The mean of triplicates with SD are indicated.
Competition between LE antibodies and MoAbESH8 for binding on rFVIII. Microtiter plates were coated with 5 μg/mL MoAbESH8 before addition of biotinylated rFVIII (1 μg/mL) alone (▪) or complexed to vWF (□) for an incubation of 2 hours at RT. Incubations were made in the presence of either LE IgG (1,000 μg/mL), IgG from a normal donor (Nl) (1,000 μg/mL), or MoAbESH8 (5 μg/mL), or in the absence of antibody (buffer). The mean of triplicates with SD are indicated.
DISCUSSION
We describe here two unrelated patients with mild hemophilia A and a single missense mutation at amino acid position 2150 (Arg2150His) in the C1 domain of the FVIII light chain. They both presented with anti-FVIII antibodies coexisting with significant FVIII activity. LE inhibitor plasma was examined in more detail and was shown to neutralize wild-type but not self FVIII and to behave as a type II inhibitor, characterized by incomplete FVIII inactivation following more complex kinetics of inactivation than that of type I inhibitors. Moreover, the inhibitory activity was shown to be dependent on the presence of vWF, and immunoprecipitation was positive with the A3-C1 domains of the FVIII light chain.
That a functional distinction between wild-type and mutated FVIII can be brought about by anti-FVIII antibodies suggests that the Arg2150His mutation has somehow altered the structure of the FVIII molecule. The immunoprecipitation results indicate that the epitope(s) recognized by LE IgG is located in the A3-C1 domains of the FVIII light chain. This makes it likely that the epitope(s) is located at or close to the mutation site, although it cannot be excluded that the mutation induces a more distant conformational change in A3-C1.
Although LE IgG binds to A3-C1, it stabilizes the FVIII-vWF complex without significant reduction in thrombin cleavage rate (unpublished data, July 1998), a functional property that makes LE IgG very similar to MoAbESH8.17 However, the epitope recognized by MoAbESH8 has been mapped to residues 2248-2285 in the C2 domain,18 which is clearly distinct from the epitope(s) recognized by LE IgG.
LE IgG has the characteristic behavior of a type II inhibitor.19 Interestingly, however, the usual concept of the mechanism of action of type II inhibitors, as described by Gawryl and Hoyer,20 was based on the demonstration that some type II inhibitors competed with vWF for the binding to FVIII. Hence, FVIII complexed to vWF is partially protected from inactivation by type II inhibitors. This stands in contrast with the observations reported here that the inhibitory activity of LE antibodies with type II kinetics was increased in the presence of vWF. Therefore, these antibodies that depend on vWF to inhibit FVIII activity represent a variant of type II inhibitors.
The presence of an inhibitor in mild/moderate hemophilia is less frequent than in severe hemophilia A. Only two patients having the Arg2150His mutation have been shown so far to present with an inhibitor,21 among a total of 19 patients described in the HAMSTer database.22 Santagostino et al21 described two patients who initially developed inhibitors associated with a severe hemophilia phenotype (FVIII activity < 1%). After a prolonged period without exposure to exogenous FVIII, however, resting FVIII levels became measurable in conjunction with a relatively high inhibitor titer (28 BU). The investigators concluded that this was due to altered antibody kinetics, shifting from a type I to a type II inhibition profile. An alternative explanation would be that the initial immune response was directed toward both allogeneic and self FVIII, which later switched to a pattern of allogeneic reactivity only. Interestingly, patient LE was considered as severe hemophiliac at some time in the past, which would indicate that he initially also developed an immune response toward self FVIII, but ultimately became tolerant to FVIII, except to the epitope missing on his own mutated FVIII molecule.
Inhibitors distinguishing wild-type from self, mutated FVIII are even more exceptional. The inhibitor described by Thompson et al11 bound to the common A2 inhibitor epitope, outside the mutation site, but inhibited both wild-type and self FVIII. Fijnvandraat et al3 described a patient in whom low titers of inhibitor coexisted with significant FVIII activity, indicating that the inhibitor was mainly directed toward allogeneic FVIII. However, in contrast to the patients described in this report, high titers of that inhibitor were not associated with detectable FVIII activity, suggesting the coexistence of anti-FVIII antibodies to other epitopes of self FVIII.
Therefore, the patients described here remain unique in that a clear-cut distinction was made between wild-type and self, mutated FVIII which persisted even after readministration of high doses of FVIII concentrate.
Supported by research grant G.0292.98 of the Flemish Research Foundation. J.V. is the holder of the “Dr J. Choay Chair in Haemostasis Research.”
The publication costs of this article were defrayed in part by page charge payment. This article must therefore be hereby marked “advertisement” in accordance with 18 U.S.C. section 1734 solely to indicate this fact.
REFERENCES
Author notes
Address reprint requests to Kathelijne Peerlinck, MD, Center for Molecular and Vascular Biology, Katholieke Universiteit Leuven, Campus Gasthuisberg, O&N, Herestraat 49, B-3000 Leuven, Belgium; e-mail:kathelijne.peerlinck@med.kuleuven.ac.be.





